Физика /1.Теоретическая физика

К.п.н. Мищик С.А.

Государственный морской университет имени адмирала Ф.Ф.Ушакова ,

Россия

Системные электростатические задачи

прикладной физики морского флота

 

Системные электростатические задачи прикладной физики морского флота отражают целостно-системное моделирование основных элементов транспортных объектов. При этом возникает ориентация на единство базисных характеристик предметных и исполнительных условий относительно предмета содержания и способа его реализации. Рассматриваются: силовое взаимодействие электростатических зарядов, определение силовых и энергетических характеристик электростатических полей, определение потоков электростатических полей,  применение теоремы Остроградского-Гаусса  для расчёта электростических полей на морском флоте.

В процессе решения системных электростатических задач прикладной физики морского флота необходимо применять основные положения теории деятельности, системного анализа и теории формирования интеллекта.

Системный анализ предполагает выполнение последовательности системных аналитических действий: выделить объект анализа – электростатическую задачу прикладной физики морского флота (ЭЗПФМФ) как систему; установить порождающую среду ЭЗПФМФ; определить уровни анализа ЭЗПФМФ; представить целостные свойства ЭЗПФМФ относительно пространственных, и временных характеристик и их комбинаций; выделить структуру уровня анализа ЭЗПФМФ; установить структурные элементы уровня анализа ЭЗПФМФ; определить системообразующие связи данного уровня анализа ЭЗПФМФ; представить межуровневые связи анализа ЭЗПФМФ; выделить форму организации ЭЗПФМФ; установить системные свойства и поведение ЭЗПФМФ.

Задача 1

В судовом блоке электронной электростатической системы в форме квадрата в каждой вершине находится положительный заряд электрический заряд q = 2,33 нКл. Для стабилизации системы в центре квадрата помещен отрицательный заряд q0. Найти этот заряд, если на каждый заряд  q системы действует результирующая сила F равная нулю.

Ответ: q0 = - 2,23 нКл.

Задача 2

В судовом блоке электронной электростатической системы в вершинах правильного шестиугольника расположены три положительных и три отрицательных заряда. Найти напряженность Е электрического поля в центре шестиугольника при различных комбинациях в расположении этих зарядов. Каждый заряд q = l,5 нКл; сторона шестиугольника а = 3 см.  

Ответ: в зависимости от расположения зарядов: а) Е = 0; б) Е = 60 кВ/м; в) Е = 30 кВ/м.

Задача 3

В судовом блоке электронной электростатической системы автоматизированного управления два контакта в форме шариков одинаковых радиуса и массы подвешены на невесомых связях одинаковой длины так, что контактные  поверхности соприкасаются. Какой заряд q нужно сообщить контактным шарикам, чтобы сила натяжения связи автоматизированного управления  стала, равной Т = 98 мН? Расстояние от центра контактного шарика до точки подвеса = 10 см; масса каждого контактного шарика m = 5 г.

Ответ: q = l,l мкКл.

Задача 4

В судовом блоке электронной электростатической системы автоматизированного управления имеется заряженная плоскость и линейный проводник. Поверхностная плотность заряда на плоскости σ = 20 мкКл/м2. Линейная плотность заряда на линейном проводнике τ = 3 мкКл/м. С какой силой F электрическое поле заряженной плоскости в судовом блоке электронной электростатической системы автоматизированного управления действует на единицу длины заряженного проводника, помещенного в это поле?

Ответ: F = 3,4 Н/м.

Задача 5

В судовом блоке электронной электростатической системы автоматизированного управления имеется два датчика в виде линейных проводников, которые расположены на расстоянии r = 10 см друг от друга. Линейная плотность заряда на датчиках линейных проводников  τ1 = τ2 = 10 мкКл/м. Найти модуль и направление напряженности Е результирующего электрического поля в точке, находящейся на расстоянии а = 10 см от каждого линейного датчика.

Ответ:  Е = 3,12 МВ/м; поле направлено перпендикулярно к плоскости, проходящей через оба линейные датчики.

Задача 6

В судовом блоке электронной электростатической системы автоматизированного управления имеется два датчика в виде двух параллельных одноименно заряженных протяженных плоскостей с поверхностной плотностью заряда σ  = 0,3 мКл/м2 . С какой силой Fs на единицу площади отталкиваются два датчика судового блока электронной электростатической системы автоматизированного управления ?

Ответ:  Fs = 5,l кН/м2.

Задача 7

В судовом блоке электронной электростатической системы автоматизированного управления имеется датчик в виде кольца из проволоки радиусом R = 10 см с отрицательным зарядом  q = - 5 нКл. Найти напряженности Е электрического поля на оси датчика кольца в точках, расположенных от центра датчика кольца на расстояниях L, равных 0, 5, 8, 10 и 15 см. Построить график E=f(L) в судовом блоке электронной электростатической системы автоматизированного управления. На каком расстоянии L от центра датчика кольца напряженность Е электрического поля будет иметь максимальное значение?

Ответ:  Е равны О, 1,60, 1,71, 1,60 и 1,15 кВ/м. L =  7,1 см от центра кольца.

Задача 8

В судовом блоке электронной электростатической системы автоматизированного управления имеется датчик в виде диска. Диаметр заряженного датчика диска D = 25 см. При каком предельном расстоянии а от датчика диска по нормали к его центру в судовом блоке электронной электростатической системы автоматизированного управления электрическое поле можно рассматривать как поле бесконечно протяженной плоскости?

Ответ:  a =1,2 см.

Задача 9

В судовом блоке электронной электростатической системы автоматизированного управления имеется датчик в виде шарика массой m =40 мг, имеющего положительный заряд q = l нКл. В процессе сканирования управляемого пространства датчик шарик движется со скоростью υ = 10 см/с. На какое расстояние r может приблизиться шарик к контрольной точке с положительным точечным зарядом  qo = 1,33 нКл?

Ответ:  r  = 6 см.

Задача 10

В судовом блоке электронной электростатической системы автоматизированного управления имеются датчики в виде двух шариков с зарядами q1 =6,66 нКл и q2 = 13,33 нКл, которые  находятся на расстоянии r1  =40 см. Какую работу А надо совершить в судовом блоке электронной электростатической системы автоматизированного управления, чтобы сблизить датчики шарики  до расстояния r2 =25 см?

Ответ:  А =1,2 мкДж.

 

Задача 11

В судовом блоке электронной электростатической системы автоматизированного управления найти потенциал φ точки поля, находящейся на расстоянии r = 10 см от центра заряженного датчика шара радиусом R = 1 см. Задачу решить, если: а) задана поверхностная плотность заряда на датчике шаре σ = 0,1 мкКл/м2; б) задан потенциал датчика шара  φо=300 В.

Ответ:  а) φ1 = 11,3 В; а) φ2 = 30 В.

 

Задача 12

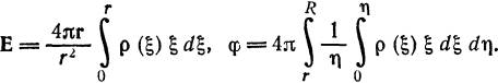
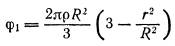
В судовом блоке электронной электростатической системы автоматизированного управления область пространства однородна и заполнена электрическим зарядом с объемной плотностью ρ. Найти напряженность Е и потенциал φ электрического поля в каждой точке пространства, если указанной заряженной областью является: а) шар радиуса R; б) бесконечный цилиндр радиуса R ; в) неограниченная пластина толщины 2L.

Ответ:  а) , . б) , ,

в) ,  .

 

Задача 13

В судовом блоке электронной электростатической системы автоматизированного управления объемная плотность заряда датчика цилиндра имеет осевую симметрию и равна  ρ = ρ(f). Определить напряженность Е и потенциал φ электрического поля внутри датчика цилиндра. При калибровке φ принять, что потенциал равен нулю на поверхности датчика цилиндра.

Ответ:    .

 

Литература:

 

Алексеев А.И. Сборник задач по классической электродинамике.  М.: 1977. – С.320