MATHEMATICS / 3. The probabilities theory and Mathematical Statistics

PhD Iskakova A., Shalkenov Zh.

L.N. Gumilev Eurasian National University, Astana, Kazakhstan

Unbiased estimation for one discrete distribution of the sum of random variables

Multivariate model, as a reflection of the current reality, are essential to the description of many phenomena and situations encountered in daily life. In recent years, we developed a considerable amount of probabilistic models.

Suppose that an urn contains balls and each ball in the urn marked some value Lα. Also assume that the number of possible Lα there is d.

Let the elements of the vector p = (p1, … , pd) determine the probability of retrieving the ball boxes with respective values L1, … , Ld, and  Produces a sequence of extraction of n balls from the urn with the return, and it is not known exactly which balls were removed from the box. We only know the value of u, which represents the sum of the values taken out of the urn balls. To study this situation requires the construction of a probability distribution u. Assume that Vu  is the number of possible combinations r1vuL1,…, rd vuLd, which together formed a u, where r1vu,…, rdvu determine the possible number of balls are removed, that bear the L1, … , Ld. In other words, the number of partitions Vu u on the part of L1, … , Ld. The probability that the random variable U takes the value u, there

                                      (1)

Theorem. A function that is defined in (1) is a probability distribution.

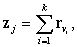
Let X = (X1, ..., Xk) represents a sample and x = (x1, ..., xk). Vectors r1i=(r11i,…,  rd1i), …, rVi=(r1Vi,…,  rdVi), defining these partitions, when vi=1,..., Vi, are solutions of the following system of equations

                                            (2)

Suppose that for each j = 1, ..., μ, where   there exists a vector zj=(z1j,..., zdj), defined as  and the indices in the right and left side of the linked-to-one correspondence, which is not unique.

Lemma. a) If any element of the implementation of the sample x =(x1, ... , xk) of the distribution (1) has more than one partition on a view of the portion, the solutions z1, … , zμ, based on observation, not implementations are sufficient statistics.

b) If all the elements of the implementation of the sample x =(x1, ... , xk) of the distribution (1) have no more than one partition on a view of the portion, the solution  z1, based on observation, and is the only implementation of a complete sufficient statistic.

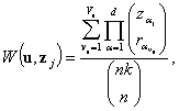
Theorem. The elements of  W(u, z)={W(u, z1), …, W(u, zμ)} is an unbiased estimate of the probability P (U = u) of the distribution (1) that for j = 1, ..., μ is defined as

                                         (3)

where Vu is the number of partitions of u on the part of  L1,…, Ld; for each partition r1vu,…, rdvu determine the possible number of balls are removed, that bear the L1, …, Ld; k≥1 and zαjrαvu,  when α = 1, ..., d, vu=1, …, Vu.

We have plenty of unbiased estimators (3) for the probability distribution (1). Consider the problem of determining the most suitable unbiased assessment. By solving the system of equations (2) we see that for i = 1, ..., k value xi is partitioned into L1,…, Ld Vi  1 ways. If  Vi > 1, it is unknown what version vi=1, …, Vi  additions of works by the corresponding value r1vi, … ,  rdvi got value xi. In this regard, we have many solutions based on observation, and a variety of unbiased estimates for the probability distribution (1).

Definition. Decision zg, based on observation, is the most appropriate of the plurality of  z = { z1, … , zm}, if

                              (4)

where, for  =1, ..., k elements of the set W(xi, z)={W(xi, z1), … , W(xi, zm)} is an unbiased estimate of the probability P (U = u) of (1 ) as defined in (3).

Definition. Unbiased estimation of  W (u, zg) for the probability P (U = u) distribution (1) is the most suitable from the entire set of unbiased estimators

W (u, z) = {W (u, z1), ..., W (u, zm)},

defined in (3), if zg - the most appropriate solution based on observation.

Theorem. The most suitable unbiased estimator  W (u, zg) for the probability P (U = u) model (1) is consistent, asymptotically normal and asymptotically efficient.

Thus, in this work we have the following main results.

1.     Proposed a new probability distribution generated urn scheme with balls labeled by numbers, in the case when observed only their sum.

2.     Obtain a set of unbiased estimates for the probability distribution of the proposed model and the variance of these estimates.

3.     Enter the new concept of the most appropriate assessment of a variety of unbiased estimators having asymptotic properties.

REFERENCES

1.     Voinov V.G, Nikulin M.S. Unbiased estimators and their applications M .: Nauka. 1989. - 440 p.

2.     Iskakova AS On a class of discrete multivariate distributions generated urn scheme with balls labeled rectangular matrices. // Bulletin KazSU Ser. Mat., Mech., informatics. 2000 ¹1 (94). S. 16-20.