MATHEMATICS / 3. The
probabilities theory and Mathematical Statistics
PhD Iskakova A., Shalkenov Zh.
L.N. Gumilev Eurasian National University, Astana, Kazakhstan
Construction
of the set of unbiased estimators for ine discrete distribution of sums of
random variables
Multivariate
model, as a reflection of the current reality, are essential to the description
of many phenomena and situations encountered in daily life. In recent years,
there were developed a considerable amount of probabilistic models.
Nevertheless, there are still many unresolved problems, when possible to
observe only the sum of the components, which can not be detected by
observation. To date, probabilistic models describing such situations were not
considered. Extremely relevant example of application of such a model is the
advertising industry, where it is necessary to link the distribution of
consumer interests with appropriate advertisements in various sources. Similar
problems are very common in meteorology and other fields. In this article we
present statistical evaluation of the distribution of the sum of random
values L1, … , Ld, where L1,
… , Ld are not
observable and observable only their sum. Thus, the results of the proposed
work can solve many of these problems.
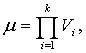
Suppose
that an urn contains balls and each ball in the urn marked some value Lα. Also assume that the
number of possible Lα
there is d.
Let
the elements of the vector p = (p1,
… , pd) determine the
probability of retrieving the ball boxes labeled respective values
of L1, … , Ld,
and 
Produces
a sequence of extraction of n balls
from the urn with the return, and it is not known exactly which balls were
removed from the box. We only know the value of u, which represents the sum of the values of the n taken out of the urn balls. To study
this situation requires the construction of a probability distribution u.
Assume
that Vu is the number of
possible combinations r1vuL1,…, rd vuLd,
which together formed u, where r1vu,…, rdvu determine the
possible number of balls are removed, that bear the L1, … , Ld.
In other words, in [1] that is, the number of partitions Vu u on the part of L1,
… , Ld.
The
probability that the random variable U
takes the value u, there
(1)
Theorem. A function that
is defined in (1) is a probability distribution.
Let
X = (X1, ..., Xk)
represents a sampling volume of distribution n (1) and x =(x1, ..., xk) is the observed value of X,
where the elements xi (i = 1,
..., k) represent the sum of the values of the n balls consistently taken out of the
urn with replacement. For each i = 1,
..., k we define the number of partitions of Vi õi
values at L1, …
,Ld. Vectors r1i=(r11i,…, rd1i), …, rVi=(r1Vi,…, rdVi), defining these
partitions, when vi=1,...,
Vi, are solutions of the following system of equations
(2)
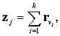
Suppose that for each j = 1,
..., μ, where
there exists a vector zj=(z1j,..., zdj),
defined as
and the indices in the right and left side of the linked-to-one
correspondence, which is not unique.
Lemma. a) If any element of the
implementation of the sample x =(x1, ... , xk) of the distribution (1)
has more than one partition on a view of the portion, the solutions z1, … , zμ, based
on observation, not implementations are sufficient statistics .
b) If all the elements of the
implementation of the sample x =(x1, ... , xk) of the distribution (1)
have no more than one partition on a view of the portion, the solution z1,
based on observation, and is the only implementation of a complete sufficient
statistic.
The
following theorem, presented in the paper [6-9], to determine the set of
unbiased estimates for the probability distribution of the test.
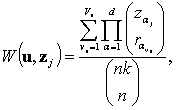
Theorem. The elements
of W(u, z)={W(u,
z1), …, W(u,
zμ)}
is an unbiased estimate of the probability P (U = u) of the
distribution (1) that for j = 1, ...,
μ is defined as
(3)
where Vu is the number of partitions of u
on the part of L1,…, Ld; for each partition r1vu,…, rdvu determine the possible number of balls are removed, that bear the L1, …, Ld; k≥1 and zαj≥rαvu, when α = 1, ..., d, vu=1, …, Vu.
REFERENCES
1. AA Borovkov Mathematical Statistics. Parameter estimation. Testing
hypotheses, M .: Nauka. 1984.- 472 p.
2. AA Borovkov Probability theory, M .: Nauka. 1986.-431 p.
3. Voinov VG, Nikulin, MS Unbiased estimators and their applications M .:
Nauka. 1989. - 440 p.
4. Iskakova AS On a class of discrete multivariate distributions generated
urn scheme with balls labeled rectangular matrices. // Bulletin KazSU Ser.
Mat., Mech., informatics. 2000 ¹1 (94). S. 16-20.
5. AS Iskakova Determine the most suitable unbiased estimate for a weather
forecast. // Siberian Journal of Industrial Mathematics. G.Tom 2002 V, 1 (9).
S.79-84.