Д.т.н. Т.А.Краснова, к.т.н. И.В. Тимощук
Кемеровский
технологический институт пищевой промышленности, Россия
Кинетика адсорбции смесей
органических веществ из водных растворов
В поверхностных и подземных водах всегда содержатся
фенол и гумусовые вещества. В процессе подготовки воды при использовании в
качестве дезинфектантов хлорсодержащих соединений образуются побочные продукты:
хлорфенол и хлороформ, которые являются токсичными веществами. Для разработки
технологии очистки воды от данных органических соединений, необходимы данные по
равновесию, кинетике и динамике сорбционного процесса.
В данной работе приведены результаты исследований
кинетики адсорбции смесей фенола и хлороформа, хлорфенола и фенола, хлорфенола
и хлороформа из водных растворов активными углями (АУ) АГ-3, СКД-515, АГ-ОВ-1,
БАУ при постоянном перемешивании. Содержание и соотношение органических компонентов
в исследованиях выбрано с учетом реальных для р.Томи.
По экспериментальным
данным построены кривые зависимости
относительной величины адсорбции
от времени t контакта фаз при адсорбции органических
веществ углеродными сорбентами (рис.1-3), а так же экспериментальные g от t
и теоретические g от T кинетические
кривые. Зависимость
g (степень достижения адсорбционного равновесия g=аt/ар) от t
для всех
изученных углей линейно зависит от скорости протекания процесса в области g до 0,3-0,4, что позволяет сделать заключение о соответствии
гранул углеродных сорбентов квазигомогенной
модели.
По уравнению T = -ln(1-g) рассчитаны безразмерные кинетические параметры Т и построены зависимости Т от t
(рис.4-6) на основе сопоставления теоретической g от Т и экспериментальной g от t
кинетических кривых при одинаковых значениях g. Наличие линейного участка на кривой Т=f(t) свидетельствует о том, что процесс адсорбции
фенола, хлороформа, хлорфенола из водных растворов на различных активных углях лимитируется
внешним массопереносом в течение 60-1100 сек. Отклонение
от прямолинейной зависимости показывает, что со временем на скорость процесса
адсорбции все большее влияние оказывает внутренняя диффузия.

Рис.1.Кинетические
зависимости величины адсорбции фенола (а) и хлороформа (б) при их совместном
присутствии АУ: 1-СКД515, 2-АГ-ОВ-1, 3-АГ-3

Рис.2.Кинетические
зависимости величины адсорбции хлорфенола в присут-ствии фенола из водного раствора
АУ: 1-АГ-ОВ-1, 2-БАУ, 3-АГ-3, 4-СКД-515

Рис.3. Кинетические зависимости
величины адсорбции хлорфенола (а) и хлороформа (б) при их совместном
присутствии АУ:1-СКД515, 2-АГ-3

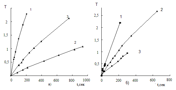
Рис.4.Зависимость
Т от t адсорбции фенола (а) и хлороформа (б) из водных растворов активными углями:
1-АГ-ОВ-1, 2- АГ-3, 3- СКД-5

Рис.5. Зависимость Т
от t адсорбции хлорфенола в присутствии фенола из водных
растворов активными углями: 1- АГ-3, 2-АГ-ОВ-1, 3-БАУ, 4 СКД-515

Рис.6. Зависимость Т
от t адсорбции хлорфенола (а) и хлороформа (б) из водных
растворов активными углями: 1-СКД-515, 2- АГ-3
При адсорбции смеси хлороформа и фенола внешний
массоперенос определяет скорость процесса адсорбции хлороформа в течение 90 с
на АГ-ОВ-1, 110 с на СКД-515 и АГ-3; при адсорбции фенола - в течение 180с на АГ-ОВ-1, 650 с на СКД-515, 1100 с на
АГ-3. При адсорбции смеси хлорфенола и фенола внешний
массоперенос определяет скорость процесса адсорбции хлорфенола в течение 60с на АГ-ОВ-1, 420с на БАУ, 240с - на СКД-515 и
АГ-3. При адсорбции смеси хлороформа и хлорфенола внешний массоперенос
определяет скорость процесса адсорбции хлороформа в течение 1100 с на АГ-3,
1000с на СКД-515; при адсорбции
хлорфенола - в течение 600 с на
АГ-3, 1050 с на СКД-515.
По
экспериментальным данным рассчитаны коэффициенты внешнего массопереноса
необходимые для инженерных расчетов адсорбционных колон (табл.1).
Таблица 1. Коэффициенты внешнего массопереноса
Вещество b п,
сек-1
|
БАУ
|
АГ-3 |
СКД-515 |
АГ-ОВ-1 |
|
Хлороформ (в присутствии фенола) |
- |
0,0015 |
0,0053 |
0,0031 |
|
Фенол (в присутствии хлороформа) |
- |
0,0012 |
0,0036 |
0,0048 |
|
Хлороформ(в присутствии хлорфенола) |
- |
0,019 |
0,017 |
- |
|
Хлорфенол (в присутствии хлороформа) |
- |
0,014 |
0,017 |
- |
|
Хлорфенол (в присутствии фенола) |
0,09506 |
0,01623 |
0,25481 |
0,04286 |
Близость величин коэффициентов внешнего
массопереноса между собой также свидетельствует о том, что процесс адсорбции на
всех исследуемых углях в начальный момент времени контролируется внешним массопереносом.
Это позволяет рекомендовать повышение скорости фильтрования при сохранении высокой
эффективности извлечения органических
веществ из воды.