К.ф-м.н. Симахина М.А.,
д.ф-м.н Закинян Р.Г.
ФГБУ «Камчатское управление по гидрометеорологии и
мониторингу окружающей среды», ФГАОУ «Северо-Кавказский федеральный
университет», Россия
Определение
количества и интенсивности осадков на примере двумерной влажноадиабатической
модели конвекции
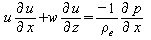
Движение воздушной частицы влажного окружающего облако воздуха описывается системой уравнений тепловой конвекции
, (1)

, (2)
. (3)
С учетом ввода функции тока получим
, (4)
где
(*) – уровень выравнивания плотностей поднимающейся воздушной
частицы и окружающего воздуха,
.
Градиент массовой доли водяного пара для
теплого периода года примем равным:
,
. Для этих значений параметров получим
, т.е. чуть выше, чем уровень выравнивания температур для
сухой атмосферы. Однако, из формулы (*) следует, что, если градиент массовой
доли водяного пара будет приближаться к критическому значению, равному
, то уровень выравнивания
плотностей будет стремиться к бесконечности, при этом произойдет так называемое
«взрывное» усиление конвекции.
Так как
, допускаем,
что
. Зная, что
,
К, получим
.
Для определения количества осадков,
которое может выпасть из данного облака, которое будет перемещаться с
горизонтальной скоростью, рассмотрим схематически движение конвективного облака
по потоку.
Из закона сохранения масс можно записать
, (5)
или
. (6)
где,
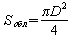
– площадь той части облака, из которой выпадают осадки, а
.
Тогда количество осадков, которое может выпасть из данного облака, найдем следующим образом
, (7)
где
(**)– размер области возникновения конвекции.
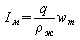
Максимальная водность, выпадающая из данного облака в виде осадков равна
, (8)
тогда
, (9)
где
– горизонтальная скорость потока, определяется по картам
барической топографии АТ-500.
Скорость падения капли примем равной максимальной скорости восходящего потока
. (10)
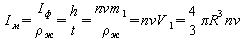
По определению интенсивность осадков равна
. (11)
В метеорологии под интенсивностью выпадения осадков понимают
, (12)
или
. (13)
Принимая во внимание (7), (8) выражение (13) для интенсивности выпадения осадков перепишем в виде
. (14)
Или с учетом формулы для размера области возникновения конвекции (**) окончательно уравнение для интенсивности выпадения осадков запишем в виде
. (15)
В таблице 1 приведен
пример расчета количества осадков и их интенсивности по формулам (9) и (14).
Таблица 1. Пример расчета количества осадков и их интенсивности выпадения по данным радиозондирования по Ставропольскому краю в июне 2009 г.
|
Дата |
Значение |
|
|
|
Явления |
|
|
Июнь 2009 г. |
||||||
|
Дни без осадков |
||||||
|
3 |
|
3 |
0,5 |
|
0,06 |
Не отмечались |
|
|
2700 |
|||||
|
|
800 |
|||||
|
|
|
|||||
|
D, км |
0,404 |
|||||
|
9 |
|
7 |
0,07 |
|
0,0006 |
Не отмечались |
|
|
3100 |
|||||
|
|
2600 |
|||||
|
|
|
|||||
|
D, км |
0,400 |
|||||
|
Дни с осадками |
||||||
|
10 |
|
4,5 |
5 |
30 |
9,4 |
Осадки по краю: 0,6-12 мм Мин. Воды 4 мм, |
|
|
10500 |
|||||
|
|
2300 |
|||||
|
|
|
|||||
|
D, км |
0,840 |
|||||
|
15 |
|
6 |
4,5 |
35 |
10,1 |
Осадки по краю: 1-80 мм Мин. Воды 37 мм, |
|
|
11100 |
|||||
|
|
2250 |
|||||
|
|
|
|||||
|
D, км |
0,870 |
|||||
|
Дни с градом и осадками |
||||||
|
4 |
|
5 |
4,7 |
45 |
14,8 |
Град местами по краю: 10 - 18 мм Осадки по краю: 0,0 - 6 мм |
|
|
12000 |
|||||
|
|
3000 |
|||||
|
|
|
|||||
|
D, км |
1,0 |
|||||
|
11 |
|
3 |
5 |
59 |
18 |
Град местами по краю: 10-15 мм Осадки по краю: 0,6-1 мм, Мин. Воды 0,6 мм |
|
|
11400 |
|||||
|
|
1900 |
|||||
|
|
|
|||||
|
D, км |
0,650 |
|||||
|
18 |
|
10 |
6 |
46 |
14,4 |
Град местами по краю: 3-7 мм, Осадки по краю: 0,0 мм -4 мм, Мин. Воды 0,0 мм |
|
|
11900 |
|||||
|
|
1600 |
|||||
|
|
|
|||||
|
D, км |
1,3 |
|||||
Таким образом, в работе
на основе влажноадиабатической модели конвекции атмосферы получены выражения
расчета количества и интенсивности выпадения осадков. Из полученных формул
видно, что количество осадков, а также их интенсивность зависят от значения
градиента массовой доли водяного пара. Показано, что при стремлении градиента
массовой доли водяного пара к критическому значению размер конвективной ячейки
стремится к бесконечности.
Литература:
1. Закинян Р.Г., Симахина М.А. Условия возникновения
конвекции в атмосфере. LAP Lambert Academic Publishing. Saarbrucken, 2012, 118 с.
2. Алексеев В.В., Гусев А.М. Свободная конвекция в
геофизических процессах. //Успехи физических наук.- 1983, Т. 141, Вып. 2.- С.
311 – 342.
3. Мазин И.П., Шметер С.М. Облака: строение и физика образования. – Л.: Гидрометеоиздат, 1983.- 280 с.