Влияние механистической картины Мира на развитие теории электродинамики.

При построении теории электромагнитных явлений в истории физики впервые возникла интересная ситуация: эту теорию пытались построить на основе старой механистической картины Мира. Для построения теории электромагнитных явлений нужны были свои понятия и идеи. Должны были быть разработаны методы, опирающиеся на новую физическую картину Мира.

Действительно, начиная со второй половины XYII в.на протяжении более, чем ста лет имели место многочисленные попытки построить теорию электрических и магнитных явлений на основе механических представлений (Франклин, Кулон, Ампер, Био, Вебер и др.)

Так известно, что во второй половине XYIIIв. наряду с установлением важнейших опытных данных и количественных законов в области изучения электромагнитных явлений существовали механические гипотезы об особых невесомых жидкостях, подобных теплороду. При таких предположениях механическая схема объяснения явлений природы могла быть распространена и на электромагнитные явления, вследствие чего их специфика не могла быть в полной мере обнаружена, и возможности для построения подлинной теории электромагнетизма пропадали.

Господство общих механических представлений о природе мешало рассмотрению опытных фактов в области электромагнетизма в качестве предпосылок истинной теории этих явлений. Однако в области эмпирических обобщений, т.е. опытных обобщений этих фактов, несмотря на то, что механические идеи и здесь задерживали развитие правильного понимания явлений, все же намечался значительный прогресс. Появлению теории электромагнетизма  предшествовало  накопление большого числа эмпирических правил и законов, из которых наиболее важными, как известно, являются закон Кулона (1785г.), на основе которого Гаусс в 1839г. дал определение эмпирического понятия количества электричества; закон Ома (1826г.), фиксирующий наличие прямой пропорциональности между силой тока и разностью потенциалов; закон Био-Савара (1820г.), выражающий магнитное действие отдельно взятого элемента тока; закон Фарадея (1831г.), выражающий действие магнита (постоянного или созданного током) на ток.

При построении этих эмпирических законов немалую роль играли представления, связанные с механической картиной мира. Закон Кулона был построен согласно бездоказательной аналогии с законом тяготения Ньютона и в соответствии с дуалистической теорией электричества. По своей форме закон Кулона не может выразить в достаточной мере специфики электромагнетизма, поскольку он относится только к электростатике.

Закон Ома, относящийся к постоянным токам, также не выражает специфики электромагнитных явлений. При выводе своего закона Ом пользуется аналогией с потоком жидкости, текущим в некотором наклонном русле. Еще в большей степени влияние механической картины мира сказалось в формулировке и первоначальной трактовке закона Био-Савара. Этот закон в отличие от законов Кулона и Ома непосредственно выражает специфику электромагнитных явлений. Он построен на основе опыта Эрстеда, в котором впервые было установлено наличие в области электромагнетизма центральных сил, была обнаружена непосредственная связь между электрическими и магнитными явлениями.

Био, обобщая результаты опыта Эрстеда, руководствовался механическими представлениями о существовании электрических и магнитных жидкостей, чем исключалась возможность правильного понимания взаимосвязи электричества и магнетизма. Он использовал идею дальнодействия, вследствие чего предполагал,что действие провода с током на частицу северного или южного магнетизма должно убывать подобно силе тяготения обратно пропорционально квадрату расстояния.

Значительно более глубокое обобщение результатов опыта Эрстеда сделал Ампер. Он совершено устранил идею о существовании магнитных жидкостей, последовательно принимал каждый магнит за соленоид с током, но от идеи дальнодействия не отказался. Несмотря на глубину своей теории электродинамики (этот термин ввел Ампер) он не смог наметить правильного пути к понятию теории электромагнетизма. До тех пор, пока теория дальнодействия не была отброшена, закон Био-Савара не мог служить предпосылкой подлинной теории электромагнитных явлений. Но если руководствоваться идеей близкодействия, то при соответствующей трактовке закон Био-Савара становится одной из важнейших эмпирических предпосылок этой теории.

Исторически первой явной и непосредственной эмпирической предпосылкой теории электромагнитных явлений явился закон электромагнитной индукции Фарадея. Во-первых, этот закон более глубоко отражает взаимосвязь  электричества и магнетизма, чем закон Био-Савара и другие эмпирические законы. Так как электродвижущая сила индукции определяется не  самим магнитом, а относительным движением провода и магнита, или, по терминологии Максвелла,не самим магнитным полем, а его изменением во времени. Это обстоятельство потребовало новых понятий и новых идей. Во-вторых, понимание закона Фарадея не искажается ложными идеями об особых жидкостях, о дальнодействии, центральности действующих сил.

По мере развития волновой оптики, теории теплоты, теории упругости создавался математический аппарат теории электродинамики – аппарат дифференциальных уравнений в частных производных. Уравнения описывали распределение и распространение в пространстве какой-либо физической величины, будь то световое возмущение или потоки этих величин в пространстве. Эти уравнения были пригодны для описания явлений на основе принципа близкодействия.

В 1842 г. В. Томсон отметил математическую аналогию между задачей распределения электрического заряда на проводниках и задачей распределения теплоты в среде. Он подчеркнул, что эквипотенциальные поверхности соответствуют в данных задачах поверхностям равной температуры, а электрический заряд - источнику теплоты.

В 1846 г. Томсон установил наличие математической аналогии между задачей распределения электрического заряда и задачей распределения натяжений в упругой среде; между электромагнитными явлениями, механическими и тепловыми. Он высказал мысль, что эти аналогии, возможно, не являются формальными. В 1856 г. он писал, что объяснение всех явлений электромагнитного притяжения или отталкивания, или электромагнитной индукции можно видеть для простоты в инерции или давлении материи, которая является теплотой.

Обратимся теперь к исследованиям Максвелла. На взгляды Максвелла, относящиеся к электрическим и магнитным явлениям, решающее влияние оказали работы Фарадея и Томсона. Максвелл писал, что прежде чем начать изучение электричества, он решил не читать никаких математических работ по этому предмету до окончательного прочтения "Экспериментальных исследований в области электричества" Фарадея.

Изучив работы Фарадея, Максвелл понял, что для дальнейшего развития этих идей необходимо переложить их на строгий математический язык. Первым шагом в решении этой задачи и послужила работа Максвелла "О Фарадеевских силовых линиях".

Максвелл начал с основанного главным образом на интуиции того, что действие на расстоянии является неудовлетворительным в физике. В своей работе он указывал, как представления Фарадея о линиях сил поддерживало в нем это интуитивное чувство. Он использовал метод аналогий.

Метод аналогий, по Максвеллу, заключается в том, чтобы исследователь на каждом шагу основывался на ясных физических представлениях, заимствованных на какой-либо теории, и одновременно не связывал себя с этой теорией полностью. Возможность применения метода аналогий для развития теорий учёный видел в существовании аналогий между различными физическими явлениями.

Используя метод аналогий, Максвелл в данной работе интерпретирует основные положения электростатики с точки зрения представлений о силовых линиях. Он строит модель постоянного электрического поля. В качестве такой модели Максвелл рассматривает пространство, заполненное потоками некоторой жидкости. Это жидкость особого рода. Она несжимаемая, безынерционная и течет в сопротивляющейся среде, так что сопротивление среды её течению пропорционально скорости движения жидкости. Это жидкость воображаемая, подчеркивает Максвелл.

Всё пространство, заполненное текущей жидкостью, можно разбить на трубки тока и при этом выбрать их так, что через сечение каждой из них в любом месте за единицу времени будет протекать единица объема жидкости.

Эти трубки можно назвать единичными трубками. Далее, так как течение происходит в сопротивляющейся среде, не могут существовать замкнутые трубки тока, и, следовательно, каждая из них должна иметь начало(источник) и конец (сток). Такая модель наглядно представляет идею Фарадея о силовых линиях.

Если сравнить выражения:

            и                   (1)

где  – скорость жидкости; P – давление внутри неё; k – коэффициент  сопротивления среды, а также выражения:

            и                       (2)

где S – мощность источников или стоков, и сумма берется по всем источникам мощности Si, видно, что между ними (формулы (2) и (1)) существует аналогия, если только при этом привести в соответствие давление P и значение электрического потенциала, значение силы сопротивления среды движению жидкости  и напряженность электрического поля и величину заряда.

Таким образом, построенная Максвеллом модель электрического и магнитного поля дает возможность выразить представления Фарадея на математическом языке и представить известные закономерности из принципа близкодействия и конкретно на основании взглядов Фарадея.

Однако эта модель пока еще не может наглядно представить явление электромагнитной индукции. Для этого и подобных явлений Максвелл еще не придумал наглядную модель. Поэтому он ограничивается математической разработкой соответствующих представлений Фарадея. Здесь Максвелл пользуется рядом новых понятий – величин, которые являются функциями точек пространства. Это напряженность и индукция магнитного и электрических полей, поток напряженности, поток индукции этих полей, вектор-потенциал, а также плотность электрического тока. При этом поток магнитной индукции Максвелл рассматривает как число силовых магнитных линий, пронизывающих соответствующую площадку. Применяя эти величины, Максвелл формулирует ряд закономерностей электродинамики. Он получает формулу Стокса для циркуляции напряженности магнитного поля, а также формулу:

                                     (3)

Затем он выводит математическое выражение закона электромагнитной индукции:

                                (4)

где Ф – поток вектора магнитной индукции через соответствующий контур проводника.

Получается выражение этого закона через вектор-потенциал:

                                  (5)

где   – напряженность электрического поля; – вектор-потенциал. Величины  – функции точек пространства по Максвеллу с точки зрения принципа близкодействия.

Таким образом, Максвелл выполнил поставленную задачу. Он перевел идеи Фарадея на математический язык, интерпретировал известные законы электродинамики с точки зрения принципа близкодействия, использовав представления Фарадея о силовых линиях. В своей работе “О физическихсиловых линиях” ученый впервые приводит уравнения для электромагнитного поля. Он вновь пользуется методом аналогий и строит модель электромагнитного поля, т.е. модель, которая охватывает и электромагнитные явления, а не только представляет постоянное электрическое и магнитное поля. Максвелл опять рассматривает пространство, заполненное воображаемой жидкостью. В этой жидкости образуются вихревые трубки, различно расположенные в пространстве и имеющие различную скорость движения жидкости на поверхности этих вихрей.

В результате наличия таких вихревых трубок давление в жидкости в разных точках неодинаково и даже отличается в различных направлениях, т.е. среда обладает определенного рода анизотропией.

В качестве удобного способа сделать видимым элемент объема этой среды, вообразим ящик, пронизанный насквозь во всех направлениях иголками так, что ни одна из них не слишком близка к другой. Если теперь наполнить ящик вязкой жидкостью и заставить все иголки вращаться вокруг собственных осей, то вокруг каждой иголки возникнет вихревое движение. Это движение раз начавшись, будет сохраняться и при уничтожении вязкости. Дальше можно представить себе, что все эти иголки либо убираются, либо превращаются в жидкость.

В первом случае среда обладает пустотелыми вихрями с сердечниками, во втором – она имеет классические вихревые трубки. Жидкость, находящаяся вне вихревых сердечников или трубок, находится в циклическом не вращательном движении. Теперь трубки оказываются гибкими, и так как для них невозможно оставаться прямолинейными в таком окружении без внутренней опоры, то они приобретают вращательное движение, которое и сохраняется как свойство среды. В невозмущенном состоянии среда не обладает никакими преимущественными направлениями. Это состояние, которое предполагается устойчивым – называется нейтральным.

Предположим, что в этой жидкости в любой точке можно выбрать малый объем, содержащей вихревые трубки, такой, что внутри него направление осей этих трубок и скорости вращения жидкости примерно одинаковы. Такой элемент объема характеризуется направлением осей вихрей, скоростью жидкости v на их окружности, а также плотностью жидкости ρ. Среда, являясь анизотропной в отношении давления внутри нее, ведет себя подобно магнитному полю.

Если поставить в соответствие напряженности магнитного поля Н скорость жидкости на окружность вихрей V , а плотности жидкости магнитной проницаемости µ. Произведение же ρµ соответствует магнитной индукции

                           (6)

Это и показал Максвелл, применяя гидродинамические расчеты к среде, состоящей из вихрей, и рассматривая эти вихри как магнитные силовые линии. При этом он доказал, что плотность энергии вихрей соответствует плотности энергии магнитного поля.

                     (7)

Для того чтобы ввести в рассмотрение электрические и электромагнитные явления, Максвелл дополнил свою модель. Он полагал, что вихри, представляющие магнитные силовые линии, хотя и сплошь заполняют пространство, но так, что между соседними вихрями имеются слои вихрей, приводятся последними в движение подобно «холостым колесикам» между двумя большими колесами в каком либо механизме без скольжения и трения.

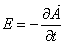
Придуманную модель Максвелл подвергает математическому анализу. Он получает уравнение электромагнитного поля. Если в каком-то элементе объёма изменяется скорость v вращения вихревых трубок, соответствующих по Максвеллу на протяженности магнитного поля Н, то на количество электрических частиц в единице объёма  действует сила, которая есть напряженность электрического поля. Расчет Максвелла показывает что

                                       (8)

Получив одно из основных уравнений электромагнитного поля, Максвелл преобразовал его, введя вектор потенциал А:

                                                                        (9)

Для получения второго основного уравнения нужно учесть, что образование вихревых трубок в воображаемой среде происходит не только в результате движения электрических частиц, но и под действием их смещения. Иными словами не только электрический ток возбуждает вокруг себя магнитное поле, оно возбуждается также и током смещения. Плотность тока частиц пропорциональна количеству электрических частиц, проходящих через единичную площадку за единицу времени, а значит, и скорости движения частиц. Это относится и к току смещения.

Следовательно, плотность тока смещения должна быть пропорциональна , где  – смещение электрических частиц из положения равновесия в случае диэлектрика.

Однако на частицы при их смещении действует упругая сила, поэтому должно быть пропорциональноЕ, т.е. силе, действующей на «единицу количества частиц», под действием которой происходит это смещение, т.е. напряженности электрического поля. Итак, плотность тока смещения определяется величиной    и

                                          (10)

Где k– коэффициент, постоянный для данной среды и определяемый ее свойствами, следовательно,  общая плотность тока, вызывающая магнитное поле:                                                                (11)

тогда имеет место   соотношение для напряженности магнитного поля

                                 (12)

или в современных обозначениях

                               (13)

Второе основное уравнение электромагнитного поля.

Таким образом, рассмотрение становления и развития теории электромагнитного поля позволяет наглядно показать студентам диалектически противоречивый характер процесса познания. На примере теории Максвелла можно подвести студентов к формулированию закона отрицания и его роли в развитии науки.