Бондарчук С. В., Минаев Б. Ф., Фесак А. Ю.
Черкасский национальный университет им. Б. Хмельницкого
Зависимость между электронным строением
ненасыщенных соединений и их активностью в реакции Меервейна
Известно,
что ненасыщенные соединения (НС), содержащие электроно-акцепторные группы в
молекуле являются более активными субстратами, в условиях реакции Меєрвейна, чем
те, которые содержат электронодонорные заместители [1]. Кроме того, потеря
стереоселективности реакции объясняется образованием катион-радикалов НС в
каталитическом цикле с возможностью свободного вращения вокруг С
С связи [2]. К тому же, формирование катион-радикального состояния НС
считается важным критерием протекания реакции Меервейна. Понятно, что в таком
случае должна существовать корреляция между энергией высшей занятой
молекулярной орбитали (ВЗМО) и выходом продукта реакции Меервейна.
Основываясь
на обширных экспериментальных данных [1, 3], нами были проведены квантовохимические
расчеты методом функционала плотности DFT/B3LYP/6-31G(d, p) различных НС, ранее изученных в реакции
Меервейна. Для расчетов использовали программный пакет Gaussian03 [4]. Расчеты
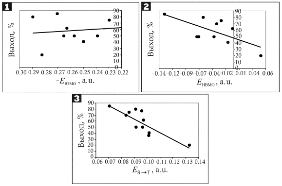
показывают, что зависимость между энергией ВЗМО олефинов, диенов и других НС и
выходом продукта реакции не наблюдается. В то же время, нами была установлена
подобная корреляция выходов с энергиями нижней вакантной молекулярной орбиталью
(НВМО) изученных НС, что возможно либо в случае образования анион-радикала, либо
при возбуждении НС в триплетное состояние.
В
качестве модельных соединений нами были выбраны 12 НС с различной структурой. Модельной
реакцией было принято взаимодействие данных НС с хлоридом п-нитрофенилдиазония (выходы продуктов реакций взяты из работы
[3]). Полученные зависимости изображены
на рисунке 1, расчетные данные собраны в таблице 1.

Рис. 1. Зависимость выходов
продуктов реакции Меервейна от энергий ВЗМО (1), НВМО (2) и
триплетного возбуждения (3) субстрата
В условиях реакции образование анион-радикалов
НС невозможно, поэтому вероятным остается вариант триплетного возбуждения субстрата.
Наши расчеты триплет-возбужденных молекул НС дают деформированную геометрию
ненасыщенного фрагмента с двугранным углом RR1С=СR2R3
равным 90° в случае олефинов (симметрия D2d в этилене). Для 1,3-бутадиена в
триплетном состоянии подобное искажение характерно лишь для одного из
ненасыщенных фрагментов. НС, имеющие циклическую природу, в триплетном
состоянии остаются недеформированными.
В то же время, расчеты катион-радикалов НС
указывают на почти плоское строение фрагмента RR1С=СR2R3
и для этилена угол НССН составляет 27.3°, что хорошо согласуется с
экспериментом [5]. Рассчитанный нами потенциальный барьер вращения вокруг связи
С
С составляет для этилена 0.57 эВ, а для
акриловой кислоты, которая является значительно более активной в реакции
Меервейна, он равен 1.12 эВ. Таким образом, исходя из катион-радикальной модели
становится непонятным, почему акриловая кислота более активна, чем этилен.
Проведенные нами TD DFT расчеты электронных спектров НС указывают на то, что
первым триплетным возбуждением является π→π* (или n→π*) переходы из ВЗМО (или близлежащей n-орбитали) на НВМО. Представления о триплетных возбуждениях НС в
ходе реакции Меервейна подтверждаются хорошей корреляцией выходов с энергией
триплетного возбуджения НС в адиабатическом приближении (рис. 1, 3).
Коэффициент достоверности аппроксимации R2 в данном случае равен
0.6709, что при учете различных условий проведения реакции и подходов к
определению выходов продуктов является надежным показателем.
Образование триплетных НС в условиях реакции
Меервейна может происходить за счет обменного взаимодействия парамагнитных
частиц (арильных радикалов или триплетных арильных катионов) с НС [6].
Описанные взаимодействия могут быть представлены в виде схемы 1. Формирование карбкатиона
III (схема 1) характерно для некатализируемого взаимодействия НС с
диазосоединениями, в то время как жирно-ароматические радикалы IV
образовываются в случае катализируемой реакции Меервейна. Реакции А и Б
Таблица 1. Некоторые расчетные
характеристики НС и соответствующие выходы продуктов реакции Меервейна
|
Ненасыщенное соединение |
-ΔH0S, a.u. |
-ΔH0T, a.u. |
–EВЗМО, a.u. синглет |
–EНВМО, a.u. синглет |
Выход, % |
|
п-Бензохинон |
381.4577 |
381.3871 |
0.2704 |
0.1301 |
85 |
|
1,1-Дифенилетилен |
540.7217 |
540.6381 |
0.2176 |
0.0317 |
70 |
|
1,3-Бутадиен |
156.0017 |
155.9158 |
0.2297 |
0.0235 |
75 |
|
Акрилонитрил |
170.8362 |
170.7451 |
0.2895 |
0.0570 |
80 |
|
Метилметакрилат |
345.7979 |
345.7067 |
0.2652 |
0.0371 |
50 |
|
Акролеин |
191.9180 |
191.8266 |
0.2571 |
0.0657 |
50 |
|
Винилбромид |
2649.6980 |
2649.6020 |
0.2548 |
0.0037 |
77 |
|
Кумарин |
497.0331 |
496.9366 |
0.2390 |
0.0694 |
49.9 |
|
Винилхлорид |
538.1902 |
538.0931 |
0.2629 |
0.0023 |
62 |
|
Малеинимид |
359.4355 |
359.3343 |
0.2739 |
0.1002 |
36 |
|
Винилацетат |
306.4799 |
306.3783 |
0.2498 |
0.0106 |
41 |
|
Ацетилен |
77.3296 |
77.1967 |
0.2824 |
0.0506 |
20 |

Схема 1. Обменное
взаимодействие парамагнитных триплетного арильного катиона (І) и арильного
радикала (ІІ) с этиленом
на схеме 1 известны и описаны в [7] и [2],
соответственно. В случае реакции триплетного арильного катиона І с триплетной молекулой
НС образованный аддукт имеет два неспаренных электрона с разноименными спинами,
один из которых локализован на крайнем атоме углерода алифатического фрагмента,
а другой – находится в бензольном ядре. Данный аддукт
являет собой двухтриплетный синглет. Образование же карбкатиона ІІІ происходит
за счет перехода электрона из алифатического фрагмента на бензольне ядро по
системе сверхсопряжения. При этом спины спариваются и образовывается устойчивый
синглетный карбкатион, что принимает участие в последующих превращениях.
Литература
[1] Russ. Chem. Rev. 1984, 53, 943–955.
[2] Obushak, M. D.; Lyakhovych, M. B.;
Ganushchak, M. I. Tetrahedron Lett. 1998,
39, 9567–9570.
[3] Домбровский, А. В. Реакции и методы исследования органических
соединений, 1962, кн. 11, с. 285–373.
[4] Frisch, M. J.; et al. Gaussian 03, Revision B.03, Gaussian Inc.,
Pittsburgh, PA, 2003.
[5] Köppel, H.; Domcke, W.; Cederbaum, L. S.; von
Niessen, W. J. Chem. Phys. 1978, 69, 4252–4263.
[6] Chiu, Y.-N. J.
Chem. Phys. 1972, 56, 4882–4898.
[7] Mella, M.; Coppo, P.; Guizzardi, B.; Fagnoni, M.;
Freccero, M.; Albini, A. J. Org. Chem. 2001, 66,
6344–6352.