МАТЕМАТИКА/3.Теория вероятностей и математическая статистика

к.ф.-м.н. Искакова А. С., Шалкенов Ж.Е.

Евразийский национальный книверситет имени Л.Н. Гумилева, Астана, Казахстан

 Несмещенное оценивание вероятности распределения сумм случайных величин при не наблюдаемых элементах выборки с хорошими асимптотическими свойствами

 

Многомерные вероятностные модели, как отражение существующей реальности, оказываются совершенно необходимыми для описания очень многих явлений и ситуаций, встречающихся в повседневной жизни. В последние годы было разработано значительное количество вероятностных моделей.

Предположим, что урна содержит шары, и каждый шар в урне помечен некоторым значением Lα. Также допустим, что число возможных  Lα есть d.

Пусть элементы вектора p=(p1, … , pd) определяют вероятности извлечения из урны шара, помеченного соответственными значениями L1, … , Ld, причем Производится последовательное извлечение  n шаров из урны с возвращением, причем неизвестно, какие именно шары были вынуты из урны. Известно только значение u, которое представляет сумму значений на n вынутых из урны шаров. Для изучения данной ситуации требуется построение распределения вероятности u.

Допустим, что Vu представляет число возможных сочетаний r1vuL1,…, rd vuLd, которые в сумме образовали u, где r1vu,…, rdvu определяют возможное количество вынутых шаров, которые помечены соответствующими L1, … , Ld. Иначе говоря, из работы [1]  следует, что Vu есть число разбиений u на части L1,…, Ld. Из результатов работ [5-15] следует следующее утверждение. Вероятность, что случайная величина U примет значение u,  есть      

                                      (1)

Теорема. Функция, которая определяется в (1), является распределением вероятностей.

Пусть Х=(X1, ..., Xk) представляет выборку объема k из распределения (1) и х=(x1, ..., xk). Векторы r1i=(r11i,…,  rd1i), …, rVi=(r1Vi,…,  rdVi), определяющие эти разбиения, при vi=1,..., Vi, являются решениями следующей системы уравнений

                                            (2)

Пусть для каждого j=1,…, μ, где существует вектор zj=(z1j,..., zdj), определяемый как причем индексы в правой и левой части связаны между собой взаимно однозначным соответствием, которое не единственно.

Лемма. a) Если какой – то элемент реализации выборки х=(x1, ... , xk) из распределения (1) имеет более одного разбиения на представленные части, то решения  z1, … , zμ, основанные на наблюдении, не являются реализациями достаточных статистик.

b) Если все элементы реализации выборки  х=(x1, ... , xk) из распределения (1) имеют не более одного разбиения на представленные части, то решение  z1, основанное на наблюдении, является единственным и представляет реализацию полной достаточной статистики.

Следующая теорема, приводимая в работах [6-9], позволяет определить множество несмещенных оценок для вероятности исследуемого распределения.

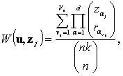
Теорема. Элементы  множества  W(u, z)={W(u, z1), …, W(u, zμ)} являются несмещенными оценками для вероятности P(U=u) распределения (1.1), которые при j=1, …, μ определяются как

                                         (3)

где Vu число разбиений  u на части L1,…, Ld; для каждого разбиения r1vu,…, rdvu определяют возможное количество вынутых шаров, которые помечены соответствующими  L1, …, Ld; k≥1 и zαjrαvu, при α=1, …, d, vu=1, …, Vu.

 Рассмотрим следующие следствия данной теоремы.

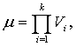
Имеем множество несмещенных оценок (3) для вероятности распределения (1). Рассмотрим задачу определения наиболее подходящей несмещенной оценки. Из решения системы  уравнений (2) видно, что при i=1,…, k величина  xi  разбивается на   L1,…, Ld Vi³1способами. В случае, если Vi>1, то не известно, каким вариантом vi=1, …, Vi сложений произведений  на соответствующих значениях  r1vi, … ,  rdvi  получили величину xi. В связи с этим, имеем множество решений   основанных на наблюдении, и  множество несмещенных оценок для вероятности распределения (1.1)  Для определения наиболее подходящего решения zg из множества z  и соответствующей оценки W(u, zg) из множества несмещенных оценок W(u, z) рассмотрим следующие определения, приводимые в работах [6-9].

Определение. Решение zg, основанное на наблюдении, является наиболее подходящим из множества  z={z1, … , zm}, если

                              (4)

где при i=1, … , k элементы множества  W(xi, z)={ W(xi, z1), … , W(xi, zm)} являются несмещенными оценками для вероятности  P(U=u) распределения (1), определенными в (3).

Определение. Несмещенная оценка W(u, zg) для вероятности  P(U=u) распределения (1) является наиболее подходящей из всего множества несмещенных оценок 

W(u, z)={ W(u, z1), … , W(u, zm)},

определяемых в (3), если zg – наиболее подходящее решение, основанное на наблюдении.

Следующее замечание, приводимое в работах [6-9], указывает на асимптотические свойства наиболее подходящих несмещенных оценок.

Теорема. Наиболее подходящая несмещенная оценка W(u, zg) для вероятности P(U=u) модели (1) является состоятельной, асимптотически нормальной и асимптотически эффективной.

Анализ проведенных  в настоящей работе исследований позволяет сформулировать следующие основные результаты.

1.          Предложено и изучено новое распределение вероятностей, порождаемых урновой схемой с шарами, помеченными  числами, в случае когда наблюдаемы только их суммы.

2.          Получено множество несмещенных оценок для распределения вероятностей предлагаемой модели и дисперсии этих оценок.

3.          Введено новое понятие наиболее подходящей оценки из множества несмещенных оценок, обладающих асимптотическими свойствами.

Список литературы

1.     Боровков А.А. Математическая статистика. Оценка параметров. Проверка гипотез.– М.: Наука. 1984.– 472 c.

2.     Боровков А.А. Теория вероятностей.- М.: Наука. 1986.–431 с.

3.     Воинов В.Г., Никулин М.С. Несмещенные оценки и их применения.– М.: Наука. 1989. – 440 с.

4.     Ивченко Г.И., Медведев Ю.И. Математическая статистика. – М.: Высшая школа. 1984. – 248 с.

5.     Искакова А.С. Об одном классе многомерных дискретных распределений, порождаемых урновой схемой с шарами, помеченными прямоугольными матрицами. // Вестник КазГУ, сер. матем., мех., информатика. 2000 г.  №1(94). С. 16-20.