Математика/ 3. Теория вероятностей и математическая статистика

К.ф.-м.н. Искакова А.С., Сеилханов А.С., Дюсембаева Р.Т.

Евразийский национальный университет им. Л.Н. Гумилева, Казахстан

Школа- лицей №1 города Астаны

Об одном распределении вероятностей урновой схемы с шарами 

 

Предположим, что урна содержит N шары, и каждый шар в урне помечен одним из возможных чисел l1, l2, ..., ln. Пусть количество шаров в урне с числом l1 является m1, с числом l2 m2,  и так далее, с числом ln mn. Очевидно, что

.

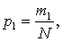
 Определим значения p1, … , pn как

 …, .

То есть значения p1, … , pn определяют вероятности (или частности) появления шара с соответствующим числом l1, l2, ..., ln. Так как

,

то

                                                        (1)

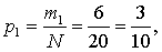
Пример.  Урна содержит 20 шаров, и каждый шар в урне помечен одним из возможных чисел 5, 7, 11, причем 6 шаров с числом 5, 10 шаров с числом 7 и 4 шара с числом 11.

Иными словами, N=20, l1=5, l2=7, l3=11, m1=6, m2=10, m3=4. Как видно,

.

Вероятность извлечения из урны шара с числом 5 есть

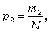
вероятность извлечения из урны шара с числом 7 есть

вероятность извлечения из урны шара с числом 11 есть

Проверим выполнение формулы  (1)

То есть выполнение формулы (1) справедливо.

Рассмотрим случай, когда производится последовательное извлечение  k шаров из урны с возвращением. Причем были извлечены  r1 шары с числом l1 ,  r2 шары с числом l2 ,  и так далее, r n шары с числом ln. Очевидно, что

.

Теорема 1. Количество всевозможных извлечений  k шаров из урны с N шарами с возвращением равна .

Теорема 2. Количество всевозможных извлечений  k шаров из урны с возвращением, при которых были извлечены  r1 шары с числом l1 ,  r2 шары с числом l2 ,  и так далее, r n шары с числом ln, есть

.

Теорема 3. Вероятность того,  что при последовательном извлечение  k шаров из урны с возвращением, были извлечены  r1 шары с числом l1 ,  r2 шары с числом l2 ,  и так далее, r n шары с числом ln, есть

,

где значения p1, … , pn определяют вероятности (или частности) появления шара с соответствующим числом l1, l2, ..., ln.

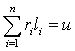
Пусть значение u представляет сумму чисел на k вынутых из урны шаров. То есть

.

Последняя формулая явлется формулой разбиения числа u на части   l1, l2, ..., ln числом разбиений n. Алгоритм определения разбиений представлен в приложении 2 в системе Matlab.

Рассмотрим всевозможные значения сумм k чисел из возможных вынутых из урны шаров.

         Теорема 4. Количество d всевозможных сумм k чисел из возможных вынутых из урны шаров с возвращением меньше количества всевозможных извлечений  k шаров из урны с N шарами с возвращением, то есть .

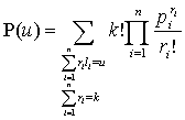
Теорема 5. Вероятность того,  что при последовательном извлечение  k шаров из урны с возвращением, сумма чисел на извлеченных шарах равна u, определяется по формуле

.

Пример 2.  Урна содержит 5 шаров, и каждый шар в урне помечен одним из возможных чисел 1,2, 4, причем 2 шара с числом 1, 1 шар с числом 2 и 2 шара с числом 4. Извлекли из урны с возвращением 3 шара. Какова вероятность, что сумма чисел на  извлеченных шарах примет значение 6?

Решение. Из условия задачи N=5, k=3. В этом примере l1=1, l2=2, l3=4. , m1=2, m2=1, m3=2. Вероятность извлечения из урны шара с числом 1 есть

вероятность извлечения из урны шара с числом 2 есть

вероятность извлечения из урны шара с числом 4 есть

Сумма  чисел на  извлеченных шарах примет значение 6 может принять, когда будут извлечены два шара с числом 1 и один шар с числом 4 или три шара с числом 2. То есть u=6, если  или . Тогда по теореме 5 имеем

.

 

Литература:

1.                 Дж. Риодан. Введение в комбинаторный анализ. Перевод с англ. Л.Е. Садовского. М.: изд. Ин. лит. 1963 г. 287 с.

2.                 Кремер Н.Ш. Теория вероятностей и математическая статистика. Москва: Юнити. 2006 г., 571 с.

3.                 Савельев Л.Я. Комбинаторика и вероятность. М.: Наука. 1975.–  424с.

4.                 Panaretos J., Xekalaki E. On generalized binomial and multinomial distributions and their relation to generalized Poisson distributions. // Ann. Inst. Math. 1986.V.38.Part A. P. 223 – 231.

5.                 Искакова А.С. Об одном классе многомерных дискретных распределений вероятностей сумм прямоугольных матриц. // Известия МОН РК, НАН РК. 2001 г. № 5. С.85–89.

7 Данилина Н.И., Дубровская Н.С., Кваша О.П., Смирнов Г.Л., Феклисов Г.И. Численные методы. Учебник для техникумов. - Москва: Высшая школа, 1976. - 368 с.