Математика/ 3. Теория вероятностей и математическая статистика
к.ф.-м.н. Искакова А.С., Сеилханов А.С., Дюсембаева Р.Т.
Евразийский
национальный университет им. Л.Н. Гумилева, Казахстан
Школа-лицей
№1 города Астаны, Казахстан
Построение вероятностной модели
событий зависимых от факторов
Многомерные вероятностные
модели, как отражение существующей реальности, оказываются совершенно
необходимыми для описания очень многих явлений и ситуаций, встречающихся в
повседневной жизни. В последние годы было разработано значительное количество
вероятностных моделей. Тем не менее остается много не решенных проблем, когда
пронаблюдать возможно только суммы компонентов, которые в результате наблюдений
невозможно выявить. До настоящего времени вероятностные модели, описывающие
подобные ситуации, не рассматривались. Исключительным актуальным примером
применения подобной модели является рекламная индустрия, когда необходимо
увязать распределение потребительских интересов с соответствующей рекламой в
различных источниках. Аналогичные проблемы очень часто встречаются в
метеорологии и в других областях. В этой работе представляются статистические
оценки распределения сумм случайных значений L1, … , Ld, когда L1, …
, Ld не наблюдаемы, а
наблюдаемы только их суммы. Тем самым результаты предложенной работы позволяют
решить многие из вышеперечисленных проблем.
Предположим, что на некоторое событие x влияет N факторов с некоторой степенью
действия. Определим каждый фактор одним из возможных чисел l1, l2, ..., ln. Пусть значения p1, … , pn определяют влияния фактора с соответствующим числом l1, l2, ..., ln на событие x, и

Пример 1. Пусть на событие х могут влиять факторы 1, 2 и 3. Если
фактор 1 влияет с вероятностью 0,3, фактор 2 – с вероятностью 0,5, тогда фактор
3 – вероятностью равного 1-0,3-0,5=0,2.Рассмотрим случай, когда на событие х могут влиять k факторов
с повторениями. Причем фактор l1 повлиял на событие х r1
раз, фактор l2 повлиял
на событие х r2 раз и так далее фактор ln повлиял на событие х rn
раз. Очевидно, что
.
Теорема 1. Количество всевозможных влияний k факторов с повторениями, при
которых фактор l1 повлиял на событие х r1
раз, фактор l2 повлиял
на событие х r2 раз и так далее фактор ln повлиял на событие х rn
раз, есть
.
Доказательство. Количество всевозможных k факторов
с повторениями, при которых фактор l1 повлиял на событие х r1
раз, фактор l2 повлиял
на событие х r2 раз и так далее фактор ln повлиял на событие х rn
раз есть полиномиальный коэффициент

(см [1] стр.12).
Теорема доказана.
Теорема 2. Вероятность того, что на событие х
повлияли k факторов
с повторениями, при которых фактор l1 повлиял на событие х r1
раз, фактор l2 повлиял
на событие х r2 раз и так далее фактор ln повлиял на событие х rn
раз, есть
,
где значения p1, … , pn определяют вероятности (или частности) влияния
фактора с соответствующим числом l1, l2, ..., ln на событие х.
Доказательство.
Вероятность того, что на событие х повлияли k факторов с повторениями, при
которых фактор l1 повлиял на событие х r1
раз, фактор l2 повлиял
на событие х r2 раз и так далее фактор ln повлиял на событие х rn
раз, есть полиномиальная вероятность (см [2] стр.84), которая представляется как
. (1)
Теорема доказана.
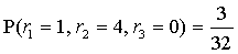
Пример 2. Пусть на событие х
могут влиять факторы 1, 2 и 3. Фактор 1 влияет с вероятностью 0,3, фактор 2 – с
вероятностью 0,5 и тогда фактор 3 – вероятностью 0,2. На событие х повлияли 5 факторов. Определим
вероятность, что на событие повлияли 1 раз фактор и 4 раза фактор 2.
Решение. Из примера 1
имеем, ![]()
![]()
Подставим эти
значения в формулу (1) при k=5,
и получаем
.
Ответ:
.
Литература:
1. Дж. Риодан. Введение в
комбинаторный анализ. Перевод с англ. Л.Е. Садовского. М.: изд. Ин. лит. 1963
г. 287 с.
2. Кремер Н.Ш. Теория
вероятностей и математическая статистика. Москва: Юнити. 2006 г., 571 с.
3. Савельев Л.Я.
Комбинаторика и вероятность. М.: Наука. 1975.–
424с.
4. Panaretos J., Xekalaki E. On generalized binomial and multinomial
distributions and their relation to generalized Poisson distributions. // Ann. Inst. Math.
1986.V.38.Part A. P. 223 – 231.
5.
Искакова
А.С. Об одном классе многомерных дискретных распределений
вероятностей сумм прямоугольных матриц.
// Известия МОН РК, НАН РК.
2001 г. № 5. С.85–89.
6.
Искакова
А.С. Определение наиболее подходящей несмещенной оценки вероятности оправдываемости прогноза в метеорологии. // Сибирский журнал
индустриальной математики. 2002 г.Том V, 1(9). С.79-84.
1