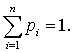
Предположим, что на некоторое событие x влияет N факторов с
некоторой степенью действия. Определим каждый фактор одним из возможных чисел
l1, l2, ..., ln.
Пусть значения
p1, … , pn
определяют влияния фактора с соответствующим числом
l1, l2, ..., ln
на событие x, и

Пусть значение
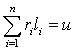
u представляет сумму чисел на k факторов повлияющих на событие х. То есть
. (1)
Последняя формулая явлется формулой разбиения числа u на части
l1, l2, ..., ln
числом разбиений n.
Рассмотрим всевозможные значения сумм k чисел из возможных
вынутых из урны шаров.
Пример
1. На
событие х могут повлиять факторы 5,
7, 11. На событие х повлияли 3
фактора. Тогда всевозможные суммы влияний факторов на событие х есть
,
,
,
,
,
,
,
,
..
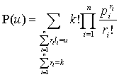
Теорема. Вероятность того, что
сумма чисел на k повлияющих факторах с повторениями на
событие x равна u, определяется по
формуле
.
Доказательство. Разумеется, что, если имеет место
разбиения u на l1,…, ld, то система уравнений

имеет один или более решений. Вероятность каждого разбиения
u на l1,…, ld, определяется теоремой 3. Таким
образом, пришли к доказательству теоремы.
Теорема доказана.
Пример 2. На событие х
могут повлиять факторы 1, 2, 4. Фактор 1 влияет на событие х с вероятностью 0,2, фактор 2 – с вероятностью 0,5 и фактор 4 – с
вероятностью 0,3. На событие х повлияли 3 фактора. Определим
вероятность, что сумма факторов влияющих на событие х примет значение 6.
Решение. Из условия задачи k=3. Сумма
чисел на факторах повлияющих на
событие х может принять значение 6,
когда будут влиять два фактора с числом 1 и один фактор с числом 4 или три
фактора с числом 2.
То есть u=6, если
![]()
или
.
Тогда по теореме
имеем
.
1. Дж. Риодан. Введение в комбинаторный анализ. Перевод с
англ. Л.Е. Садовского. М.: изд. Ин. лит. 1963 г. 287
с.
2.
Кремер Н.Ш. Теория вероятностей и
математическая статистика. Москва: Юнити. 2006 г., 571 с.
3. Савельев Л.Я. Комбинаторика и вероятность. М.: Наука. 1975.– 424с.
4.
Panaretos J., Xekalaki E. On generalized binomial and multinomial
distributions and their relation to generalized Poisson distributions. // Ann. Inst. Math. 1986.V.38.Part A. P. 223 – 231.
5.
Искакова А.С. Об одном классе многомерных дискретных распределений
вероятностей сумм прямоугольных матриц. // Известия МОН РК, НАН РК. 2001 г. № 5.
С.85–89.
6.
Искакова А.С.
Определение наиболее подходящей несмещенной
оценки вероятности оправдываемости прогноза в метеорологии. // Сибирский журнал индустриальной математики.
2002 г.Том V, 1(9). С.79-84