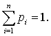
Предположим, что на некоторое событие x влияет N факторов с
некоторой степенью действия. Определим каждый фактор одним из возможных чисел l1, l2, ..., ln. Пусть значения
p1, … , pn определяют
влияния фактора с соответствующим числом l1, l2, ..., ln на событие x, и

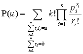
Вероятность того, что на событие х повлияли k факторов с
повторениями, при которых фактор l1 повлиял на событие х r1 раз, фактор l2 повлиял на событие х
r2 раз и так далее
фактор ln повлиял на событие х
rn раз, есть
, (1)
где значения
p1, … , pn определяют
вероятности (или частности) влияния фактора с соответствующим числом l1, l2, ..., ln на
событие х
Пусть значение
u представляет сумму чисел на k факторов повлияющих на событие х. Рассмотрим всевозможные значения сумм k чисел из возможных
вынутых из урны шаров.
Вероятность того, что сумма чисел на k повлияющих факторах с повторениями на событие x равна u, определяется по
формуле
. (2)
Очевидно, что на практике не известны элементы вектора p=(p1, …, pn).
Следовательно, формулы (1) и (2) не находят фактического
применения. В связи с этим возникает необходимость определения оценки вероятностей.
Как известно,
из курса теории вероятностей и математической статистики, хорошим приближением
к вероятностям p1, …, pn служат
статистические оценки, полученные из ряда фактических данных.
Допустим, имеем m сумм u1, ...,
u m k
факторов влияющих на событие х, то
есть ui, i=1 ,..., m, i –ая сумма k факторов влияющих на
событие х.
Для каждого i=1, ..., m определим Vi число разбиений ui на числа l1, …
, lm.
Векторы r1i=(r11i,…, rn1i), …, rVi=(r1Vi,…, rnVi), определяющие
эти разбиения, при vi=1,..., Vi, являются решениями следующей
системы уравнений
(3)
Пусть для каждого j=1,…, μ, где
существует вектор zj=(z1j,...,
zdj), определяемый
как
(4)
причем индексы в правой и левой части
связаны между собой взаимно однозначным соответствием, которое не единственно.
Теорема. Элементы множества

являются оценками для параметров
p=(p1,…,
pn)
распределения (2), которые при j=1, …, μ
определяются как
![]()
где
m≥1.
Рассмотрим задачу
определения наиболее подходящей оценки. Из решения системы уравнений (3) видно, что при i=1,…, m число ui разбивается
на числа l1,…,
ln Vi³1способами.
В случае, если Vi>1,
то не известно, каким вариантом vi=1,
…, Vi сложений
произведений чисел на соответствующих
значениях r1vi, … , rdvi получили
число ui. В
связи с этим имеем множество решений
основанных на
наблюдении, и множество несмещенных
оценок для вероятности распределения (2)
Определение 1. Решение
, основанное на наблюдении, является наиболее
подходящим из множества
, если
(7)
где при i=1,
… , k
элементы множества
являются оценками для вероятности P(U=u), распределения (2).
Определение 2. Оценка
для вероятности P(U=u) распределения (2)
является наиболее подходящей из всего множества оценок
, если
– наиболее подходящее решение, основанное на наблюдении.
Пример. На событие х могут повлиять факторы 1, 2, 4. На событие х повлияли 3 фактора. Требуется определить формулу построения
наиболее подходящей ценки для вероятности P(U=u) распределения (2)
по имеющей реализации выборки объема m=10 u =( u 1, ... , u10), где
u 1=3, u
2=6, u 3=3, u 4=12, u 5=10, u
6=10, u 7=7, u 8=3, u 9=7, u
10=3.
Из условия задачи видно, что k=3. Решая систему уравнений
(3) для каждого элемента вектора u =( u 1, ...
, u10),
получаем следующее

![]()
![]()
![]()

![]()
![]()
![]()
где l1=1,
l2=2,
l3=4,
определяются из условия. Следовательно, имеем
V1=1
и r11=(3,
0, 0), V2=2
и r12=(0,
3,0), r22=(2,
0,1), V3=1
и r13=(3,
0, 0),
V4=1
и r14=(0,
0, 3), V5=1
и r15=(0,
1,2), V6=1
и r16=(0,
1, 2), V7=2
и r16=(0,
3, 0), r16=(2,
0, 1), V8=1
и r18=(3,
0, 0), V9=1
и r19=(1,
1,1), V10=1
и r110=(3,
0, 0).
Из чего имеем

и векторы решений, основанные на
наблюдении,
z1=(13,
9,8), z2=(15,
6,9), z3=(15,6,
9),z4=(17,
3,10),
получаемые с использованием (4), где
элементы в правой и левой частях связаны между собой соотношением (5). При
вычислении оценок для вероятности проявления элементов реализации выборки
получаем с использованием полученных векторов решений, основанных на
наблюдении, решение z4, основанное на наблюдении x,
является наиболее подходящим решением из всего множества решений z={z1, z2, z3, z4}.
Литература
1. Дж. Риодан. Введение в комбинаторный анализ. Перевод с
англ. Л.Е. Садовского. М.: изд. Ин. лит. 1963 г. 287
с.
2.
Кремер Н.Ш. Теория вероятностей и
математическая статистика. Москва: Юнити. 2006 г., 571 с.
3. Савельев Л.Я. Комбинаторика и вероятность. М.: Наука. 1975.– 424с.
4.
Panaretos J., Xekalaki E. On generalized binomial and multinomial
distributions and their relation to generalized Poisson distributions. // Ann. Inst. Math. 1986.V.38.Part A. P. 223 – 231.
5.
Искакова А.С.
Определение наиболее подходящей несмещенной
оценки вероятности оправдываемости прогноза в метеорологии. // Сибирский журнал индустриальной математики.
2002 г.Том V, 1(9). С.79-84