Матисіна З.А., Єліна О.В., Боцьва Н.П., Ярочевська
А.В.
В умовах збільшення використання людством енергії та на фоні погіршення
екологічного становища планети актуальним є пошук альтернативних та екологічно
чистих джерел енергії. Одним з таких джерел може бути водень, горіння якого не
супроводжується виділенням екологічно небезпечних продуктів.
Відомо, що обратимим сорбентом гідрогену, який можна використати для потреб
водневої енергетики, може бути фулерит Ф = С60 [1,2].
Дана робота має на меті визначення температурної залежності розчинності
ґратчастого гідрогену у фулериті С60 з урахуванням розподілу
атомів гідрогену по міжвузлях різних типів.
У звичайних умовах фулерит С60 має гранецентровану кубічну (ГЦК) кристалічну ґратку, елементарна комірка якої містить 4 вузли з фулереновими молекулами та 4 октаедричних (О), 8 тетрагональних (θ), 32 тригональних (Q) і 36 бігональних (D) міжвузлій, у яких, за припущенням, можуть розміщуватись атоми ґратчастого гідрогену (Рис 1) [3].
|
|
|
|
a |
б |
Рис. 1. Елементарна комірка ГЦК ґратки гідрофулериту С60НХ
|
|
– позиції фулеренових молекул у вузлах та атомів гідрогену в |
|
октаедричних
і бігональних (а), та тетрагональних і тригональних (б) міжвузлях ґратки |
|
При цьому кількість молекул фулерену у найближчому оточенні гідрогену становить для різних типів міжвузлій відповідно 6 для О, 4 для θ, 3 для Q та 2 для D. Відстані між найближчими парами фулерен-гідроген (FН) мають такі значення (у нанометрах):
,
де а = 1,417 нм – параметр
ґратки [3].
При розташуванні атомів гідрогену у всіх міжвузлях кристалу розчинність гідрогену визначається сумою концентрацій Сi в міжвузлях різних типів
,
де Сi
= Ni /N
– концентрація атомів ґратчастого гідрогену в міжвузлях i -го типу (i
= O, θ, Q, D) по відношенню до кількості N фулеренових
вузлів.
Енергія атомів гідрогену у кожному міжвузлі визначається сумою енергій парної взаємодії Ui з найблжчими фулеренами для відповідних міжвузлій
,
,
,
,
де
,
,
,
.
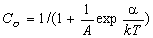
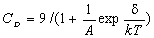
З урахуванням розподілу атомів гідрогену по міжвузлям чотирьох типів здійснено розрахунок конфігураційної енергії, термодинамічної ймовірності та вільної енергіі гідрофулериту. За методом невизначеного множника Лагранжа λ з урахуванням мінімізації вільної енергії визначено рівноважний стан гідрофулериту [2,3]. Знайдено концентрації атомів гідрогену в усіх міжвузлях, які відповідають умовам термодинамічної рівноваги системи,
,
,
,
,
.
Кожна концентрація залежить як
від температури, так і від енергетичних параметрів, на які, в свою чергу,
впливають відстані між атомами і молекулами. Відомо, що мінімум енергії парної
взаємодії U(r) спостерігається у стані рівноваги, при цьому енергії
,
,
,
у фулериті, де відстані між найближчими
парами фулерен-гідроген є різними,
можуть набувати різних знаків.
Температурні залежності одієї з
концентрацій Ci, побудовані за результатами розрахунків для додатних та від’ємних значень
енергій
,
,
,
,
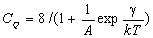
виявились монотонними (рис.2). Видно, что при збільшенні температури при Ui > 0 розчинність збільшується, при Ui < 0 – зменшується.

Рис.
2. Температурні залежності розчинності
гідрогену Сi
при
розміщенні
атомів гідрогену в міжвузлях i -го типу: 1 – Ui > 0;
2 – Ui
< 0; для i = O, θ,
Q, D відповідно n = 1, 2, 8, 9
При різних знаках енергій
,
,
,
та розміщенні атомів гідрогену у всіх міжвузлях
кристалу температурна залежність розчинності ґратчастого гідрогену може
виявитися ретроградною або екстремальною.
|
Мас% |
|
Т |
Рис. 3. Експериментальна залежність масової частки
гідрогену
у
гідрофулериті С60 від температури [4]
При співставленні результатів
розрахунків з експериментальними даними (рис.3) спостерігається якісна
відповідність температурних залежностей розчинності гідрогену у фулериті.
Таким чином, розроблено
статистичну теорію розчинності ґратчастого гідрогену у фулериті С60
з урахуванням розподілу атомів гідрогену по міжвузлям чотирьох типів. Розраховано
вільну енергію гідрофулериту та встановлені
умови термодинамічної рівноваги системи, за якими знайдено концентрації
атомів гідрогену у всіх міжвузлях та визначені подібні до експериментальних
температурні залежності розчинності гідрогену при розміщенні атомів у міжвузлях
різного типу,
Література
1. Фуллерены – основа материалов будущего / В.И.Тревилов, Д.В.Щур и др. – К.: АДЕФ-Украина, 2001. – 48 с.
2. Атомарные, фуллереновые и другие молекулярные фазы внедрения / З.А.Матисина, Д.В.Щур, С.Ю.Загинайченко.– Д.: Изд-во Маковецький, 2012. – 888 с.
3. Растворимость примесей в металлах, сплавах, интерметаллидах, фуллеритах / З.А.Матисина, С.Ю.Загинайченко, Д.В.Щур. – Д.: Наука и образование, 2006. – 514 с.
4. Савенко А.Ф. Особенности гидрирования фуллерита С60.
Автореферат канд. дисс. – К.: KIM, 2013. – 20 с.