УДК 621. 315.592
С.М. Гадоев, М.М. Давлатов
Таджикский
национальный университет, Таджикистан, г. Душанбе
Зависимость
электрофизических параметров эффекта
защёлкивания от температуры в интегральных
микросхемах
В этой работе исследовано изменение важнейших
параметров эффекта защелкивания КМОП ИС (интегральных схем). С помощью этой
модели можно достаточно адекватно прогнозировать температурные зависимости
параметров эффекта в КМОП ИС (Комплементарный металл-окисел-полупроводник)
структур, что позволяет рекомендовать их для исследования САПР КМОП ИС.
Одним
из основных паразитных эффектов в KMОП ИС
является срабатывание четырехслойных структур, происходящее под действием электрического
перенапряжения или ионизации [1].
Существенное влияние температуры на этот эффект
требует разработки модели защелкивания, адекватной при высоких температурах. В
качестве основы для разработки модели электрического уровня взята
двухтранзисторная эквивалентная схема [2,3].
Анализ модели показывает, что существенное
влияние на параметры защелкивания оказывают такие характеристики физического
уровня описания, как время жизни неравновесных носителей t, коэффициент диффузии D,
ширина обедненного слоя р-п
перехода Wt, которые в свою очередь
определяют температурные характеристики таких электрических параметров, как
напряжение отпирания р-п
перехода Uотп, коэффициент передачи тока базы транзистора bст, сопротивления
областей полупроводника, ионизационный ток Iфк, если защелкивание имеет ионизационную
природу. С целью определения температурных зависимостей перечисленных параметров
была проведена серия теоретических и экспериментальных исследований на тестовых
КМОП структурах. На рис.1. приведен график экспериментальной и расчетной
зависимостей времени жизни носителей «карман-подложка» тестовой схемы серии
КИТ-1. Время действительно растет с ростом температуры, как это следует из
теории. [4]:
![]()
где
- эффективная масса электрона в кристалле
полупроводника (для Si
=1,6+1,8).

Рис.1. График экспериментальной зависимости времени жизни носителей
от температуры в переходе «карман- подложка» тестовой
схемы (—эксперимент, -----расчет)
При этом время жизни в диапазоне температур
210К ¸
400К изменяется по закону t~Т, однако
при более высоких температурах 360К ¸ 420К, как t~Т ¼.
Увеличение времени жизни носителей с ростом
температуры можно объяснить тем, что в полупроводнике n-типа (Si) с ростом температуры фононы все более и
более ионизируют ловушки, срывая с них электроны. Показатель степени
эксперимента от теории, как видно из рис. 1, в диапазоне 210 ¸ 400К отличается в пределах от 0,6 до 1,6 ms в переходе «карман-подложка» тестовой схемы.
Для определения температурной зависимости таких
параметров электрического уровня, как bст, Iфк , R необходимо также знать
поведение диффузионной длины, зависящей от времени жизни и коэффициента
диффузии (подвижности) [5]:
|
|
|
|
|
|
|
|
|
|
,
где α=6
· 10-3 мкc/град
(постоянный коэффициент); m0=1,2х10-8
Гн/см-1
Это выражение
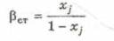
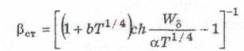
справедливо в интервале температуры 290 ¸ 450К. Учитывая, что коэффициент передачи тока базы, зависит от
коэффициента переноса носителей х и
коэффициента инжекции эмиттерного перехода j следующим образом:
|
|
,
|
|
где 
Получим
температурные зависимости bст на двух
участках температур:
|
|
,
|
|
где

На рис. 2 видно, что коэффициент передачи тока базы
транзистора растет в диапазоне температур 210-400К до 57. Измерение проводилось в тестовой схеме в
статистическом режиме.

|
|
Рис. 2. График экспериментальной зависимости коэффициента
передачи тока базы транзистора от температуры в тестовой схеме:
200К = 18; 300К = 35; 400К = 58
Аналогично должен вести себя и ионизационный ток,
определяемый диффузионной длиной, что подтверждает график на рис. 3, измеренный
для перехода «карман-подложка» тестовой структуры.
|
|

Рис. 3.
График зависимости первичного фототока от температуры р-п перехода «карман-подложка»
(тестовая схема).
С целью экспериментальной проверки адекватности
разработанной модели была проведена серия экспериментов по измерениям
температурной зависимости тока и напряжения удержания ИС К176ЛГИ , К564ПУ4.
|
|
Расчеты по модели верно предсказывают характер температурного изменения
параметров защелкивания паразитных структур KMОП ИС.
Таким образом, с
помощью разработанной модели можно достаточно адекватно прогнозировать
температурные зависимости параметров защелкивания паразитных КМОП структур, что
позволяет рекомендовать их для использования в составе САПР КМОП ИС.
Упрощенный вариант модели, учитывающий только изменение напряжения отпирания р-п переходов, может быть использован для оценочных
расчетов.
Список
литературы.
1.
Гадоев
С.М. Температурная зависимость параметров физического уровня паразитных
4-слойных структур КМДП ИМС // Материалы межд. конф. по физике
конденсированного состояния и экологических систем. ФТИ им. Умарова АН РТ. Душанбе. 2002. С.59-61.
2.
Гадоев
С.М. Эффект защёлкивания в комплементарных металл – окисел полупроводник
интегральных микросхемах // Современные наукоемкие технологии. 2011. № 2. С.58-61.
3.
Гадоев
С.М. Исследование влияния лазерного излучения на параметры 4-слойных КМДП ИМС //Современные наукоемкие технологии.
2011. № 3. С. 44-48.
4.
Гафуров
О. В., Ходжаев Т.А., Гадоев С.М. Радиационное дефектообразование и
энергетический спектр образующихся в n и р–кремнии при облучении
альфа-частицами и нейтронами // ТДУ. Вестник. 2014. №1. Дангара. С.16-20.
5.
Гадоев
С.М.,Гафуров О.В. Особенности технического и
математического обеспечения средств контроля интегральных схем при
воздействии различных дестабилизирующих
факторов // Научный журнал «Наука и инновация».2014. №1. Душанбе. С.69-71.