Физика /1.Теоретическая физика
К.п.н. Мищик С.А.
Государственный морской университет имени
адмирала Ф.Ф.Ушакова ,
Россия
Системные задачи электрического
сопротивления
прикладной физики морского флота
Системные задачи электрического
сопротивления прикладной физики морского флота отражают целостно-системное
моделирование основных элементов транспортных объектов. При этом возникает
ориентация на единство базисных характеристик предметных и исполнительных
условий относительно предмета содержания и способа его реализации. Рассматриваются: электрическое
сопротивление между электросферой и океаном; электрическая
проводимость воздуха над океаном; элементы электрических сопротивлений судовой
системы автоматического управления; противопожарная система морского нефтеналивного
терминала на морском флоте.
В процессе решения системных задач электрического
сопротивления прикладной физики морского флота необходимо применять основные
положения теории деятельности, системного анализа и теории формирования интеллекта.
Системный анализ предполагает
выполнение последовательности системных аналитических действий: выделить объект
анализа –задачу электрического сопротивления прикладной физики морского флота (ЗЭСПФМФ)
как систему; установить порождающую среду ЗЭСПФМФ; определить уровни анализа ЗЭСПФМФ;
представить целостные свойства ЗЭСПФМФ относительно пространственных, и временных
характеристик и их комбинаций; выделить структуру уровня анализа ЗЭСПФМФ;
установить структурные элементы уровня анализа ЗЭСПФМФ; определить системообразующие
связи данного уровня анализа ЗЭСПФМФ; представить межуровневые связи анализа ЗЭСПФМФ;
выделить форму организации ЗЭСПФМФ; установить системные свойства и поведение ЗЭСПФМФ.
Задача 1
Суммарный ток проводимости электросферы на океанскую
поверхность равен 1600 А. Определить электрическое сопротивление между
электросферой и океаном, если разность потенциалов составляет 300 кВ.
Ответ:
R = 187,5 Ом.
Задача 2
На высоте атмосферы 3578 м над океанской поверхностью плотность
вертикального тока проводимости равна 13,3·10-12А/м2.
Напряженность электрического поля при этом составляла 149 В/м. Определить электрическую
проводимость воздуха и проанализировать причины изменения электрической проводимости
и тока с высотой.
Ответ: λ = 8,9·10-14 Ом-1·м-1.
Задача 3
В неуравновешенном термометре судовой системы
автоматического управления сопротивления R2 = R3 = R4
=
400 Ом. Датчик судовой системы автоматического управления изготовлен из
проводниковой меди, сопротивление гальванометра 45 Ом. Напряжение питания схемы
0,5 Вольт, термометр уравновешен при 0°С. Каким будет ток через гальванометр судовой
системы автоматического управления при температуре t0 = 150 C ?

Задача 3 Задача 4
Ответ: I = 12,2 A
Задача 4
В уравновешенном термометре сопротивления судовой
системы автоматического управления регулируемым плечом является сопротивление R3.
Выведите уравнение для чувствительности такой схемы судовой системы
автоматического управления и вычислите чувствительность, если известно, что
сопротивление датчика составляет R0 = 200 Ом при 0°С, для
датчика используется проводниковая медь, а сопротивления остальных резисторов
равны R2 = R4 = 650 Ом.
Ответ: S = - 9,15
Ом/К
Задача 5
Относительная чувствительность уравновешенного
термометра сопротивлений судовой системы автоматического управления составляет Sr
=4,33·10-3К-1. Сопротивление датчика,
используемого в схеме, составляет 570 Ом при 0 °С. Из какого материала
сделан датчик? Каким будет его сопротивление судовой системы автоматического
управления при температуре t0 = 200С?
Ответ:
R1 = 619,4 Ом .
Задача 6
Требуемая чувствительность неуравновешенного
термометра сопротивления судовой системы автоматического управления составляет S = 5 мкА/°С.
Для датчика используется проводниковая медь, сопротивление датчика составляет R0
=
600 Ом при 0°С, сопротивления остальных резисторов равны друг другу и равны
R =
600 Ом Для измерения используется
гальванометр с сопротивлением 45 Ом. Вычислите напряжение питания
моста судовой системы автоматического управления.
Ответ: U = 3 B .
Задача 7
В уравновешенном термометре сопротивления судовой
системы автоматического управления регулируемым плечом является сопротивление R4.
Требуемая чувствительность такого термометра 10 Ом/К. Используется
датчик из проводниковой меди с сопротивлением R0 = 400 Ом
при 0
°С, сопротивление другого плеча моста равно R2 = 80 Ом.
Выведите формулу для чувствительности такой схемы судовой системы
автоматического управления и рассчитайте величины сопротивлений R3
и R4
при 0°С.
Ответ:
R3 = 461,9 Ом, R4 = 2309,5 Ом.

Задача 7 Задача
8
Задача 8
Определить общее сопротивление датчика судовой системы
автоматического управления между точками А и В, если все сопротивления равны R.
Ответ: RAB =
0,5 R .
Задача 9
Датчик судовой системы автоматического управления
выполнен в виде плоского конденсатора, заполненного диэлектрической средой с
относительной диэлектрической проницаемостью ε и удельным
электрическим сопротивлением ρ. Электрическая ёмкость конденсатора
равна С. Определить электрическое сопротивление R датчика
судовой системы автоматического управления.
Ответ:
.
Задача 10
Электрический судовой кабель с диаметром поперечного
сечения D, удельным электрическим сопротивлением ρ
и массовой плотностью d имеет
массу m. Определить электрическое сопротивление R судового
электрического кабеля.
Ответ:
.
Задача 11
Датчик судовой системы автоматического управления
выполнен из куска проволоки, имеющей сопротивление Ro= 32 Ом,
изготовлен в виде кольца. К двум точкам этого датчика-кольца присоединены
подводящие ток провода, а) В каком отношении делят точки присоединения длину
окружности датчика-кольца, если общее сопротивление получившейся цепи R = 6 Ом?
б) Какова максимально возможная величина общего сопротивления Rmax между двумя точками проволочного датчика-кольца?
Ответ:
а) точки
подключения делят кольцо в отношении 1:3;
б)
максимально возможная величина общего сопротивления Rmax = 8 Ом.
Задача 12
Датчик судовой системы автоматического управления с
сопротивлением R = 2000 Ом состоит из двух последовательно соединенных частей
проводников: угольного стержня и проволоки, имеющих температурные коэффициенты
сопротивления α1 = -10·10-3 К-1 и α2
= 2·10-3 К-1. Какими следует выбрать
сопротивления этих частей, чтобы общее сопротивление датчика судовой системы
автоматического управления проводника R не зависело от температуры?
Ответ: R10 = 333 Ом; R20 =
1667 Ом.
Задача 13
Аттенюатор датчика судовой системы автоматического
управления представляет собой делитель напряжения, схема которого представлена на рисунке. Каковы
должны быть сопротивления R1 и R2, чтобы на
каждом следующем сопротивлении R1 напряжение было в
десять раз меньше, чем на предыдущем?

Ответ:
.
Задача 14
Определить общее сопротивление датчика судовой системы
автоматического управления между точками А и В, если все сопротивления равны R.
Ответ: RAB = R .
Задача 14 Задача 15
Задача 15
Определить общее сопротивление датчика судовой системы
автоматического управления между точками А и В, если все сопротивления равны R.
Ответ: RAB =
13/7 R .
Задача 16
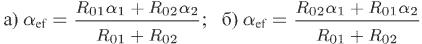
2.39. Два
проводника датчика судовой системы автоматического управления имеют при 0°С
сопротивления R01 и R02 и, соответственно, температурные коэффициенты
сопротивления α1 и α2 . Определить
эффективный температурный коэффициент сопротивления при а) последовательном и
б) параллельном соединении этих проводников датчика судовой системы
автоматического управления.
Ответ:
.
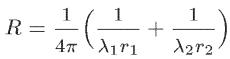
Задача 17
Заземление концов линии связи между районами морского
порта осуществлено посредством металлических шаров радиуса r1 и r2.
Удельная проводимость грунта вблизи них равна λ1 и λ2.
Найти сопротивление R земли между шарами районов морского порта. Считать почву в окрестности
каждого района морского порта однородной.

Ответ:

Задача 18
В металлическую палубу морского судна толщины а
приварены на расстоянии b друг
от друга две цилиндрические причальные стойки радиусами rO. Оценить электрическое
сопротивление R между металлическими цилиндрическими причальными стойками,
полагая а < rO < b.
Считать, что проводимость λ1 металлических
цилиндрических причальных стоек много больше проводимости λ материала металлической
палубы морского судна.

Ответ: R = 
Задача 19
Насколько изменяется при переходе от зимы к лету сопротивление
R
линии связи между морскими портами, если она проложена железным проводом с
поперечным сечением S = 10 мм2 ? Температура в морском
регионе изменяется от tO = -3О°С
зимой до t = 30°C летом. Длина провода зимой линии связи между морскими
портами ℓ0=100 км. Удельное сопротивление железа зимой
ρ0 = 0,087
мкОм·м. Температурный коэффициент сопротивления железа β
= 6·10-3 К -1. Как изменится результат, если
учесть удлинение провода линии связи между морскими портами при нагревании?
Коэффициент линейного расширения железа α
= 1,2·10-5 К -1.
Ответ: сопротивление
провода летом на 313 Ом больше; учет изменения длины провода даст поправку, не
превышающую 0,6 Ом.
Задача 20
Металлическая судовая грузовая сетка с квадратными
ячейками имеет электрическое сопротивление
каждого проводника между соседними узлами RO . Определить
электрическое сопротивление R металлической
судовой грузовой сетки между точками А и В.

Ответ: R = RO/2
.
Задача 21
В трюме морского судна находится груз в виде
однородной слабо проводящей среды с удельным электрическим сопротивлением ρ
. В груз вводятся два датчика судового автоматического контроля – два
коаксиальных идеально проводящих тонких цилиндра радиусами a и b и длиной ℓ, причём a <
b . Пренебрегая
краевыми эффектами, определить электрическое сопротивление груза внутри датчика
судового автоматического контроля.
Ответ:
.
Задача 22
Датчик судового автоматического контроля представляет
металлический шар радиусом a, который окружён концентрической металлической
оболочкой радиуса b .
Пространство между электродами датчика судового автоматического контроля
заполнено пробой морского груза в виде однородной слабо проводящей среды с
удельным электрическим сопротивлением ρ. Определить электрическое
сопротивление груза внутри датчика судового автоматического контроля.
Исследовать полученное выражение при
.
Ответ:
.
Задача 23
Датчик судового автоматического контроля представляет
металлический шар радиусом a, который окружён концентрической металлической
оболочкой радиуса b, причём a <
b . Пространство
между электродами датчика судового автоматического контроля заполнено пробой
морского груза в виде однородной слабо проводящей среды. Электрическая ёмкость
заполненного морским грузом датчика судового автоматического контроля равна С. Определить
удельное электрическое сопротивление морского груза, если разность потенциалов
между сферами датчика при отключении от внешнего напряжения уменьшается в η
раз за время Δt .
Ответ:
.
Задача 24
Датчик судового автоматического контроля представляет два
металлических шара радиусом a. Пространство между электродами датчика судового
автоматического контроля заполнено пробой морского груза в виде однородной
слабо проводящей среды с удельным электрическим сопротивлением ρ.
Определить электрическое сопротивление груза между датчиками-сферами судового
автоматического контроля при условии, что расстояние между датчиками-сферами
значительно больше радиусов датчиков-сфер судового автоматического контроля.
Ответ:
.
Задача 25
Датчик судового автоматического контроля представляет
металлический шар радиусом a, который находится на расстоянии ℓ от дна грузового
танка морского судна, как идеально проводящей плоскости. Пространство между
электродом датчика судового автоматического контроля заполнено морским грузом в
виде однородной слабо проводящей среды с удельным электрическим сопротивлением ρ.
Определить электрическое сопротивление груза между датчиком-сферой судового
автоматического контроля и дном грузового танка судна, если a <<<
ℓ
.
Ответ:
.
Задача 26
Датчик судового автоматического контроля представляет
два длинных параллельных провода радиусом сечения a,
которые находится на расстоянии ℓ друг от друга и a <<<
ℓ.
Пространство между датчиками-проводами судового автоматического контроля
заполнено морским грузом в виде однородной слабо проводящей среды с удельным
электрическим сопротивлением ρ. Определить электрическое
сопротивление груза на единицу длины датчика-провода судового автоматического
контроля.
Ответ:
.
Задача 27
Датчик судового автоматического контроля представляет
два проводника произвольной формы. Пространство между датчиками-проводами
судового автоматического контроля заполнено морским грузом в виде однородной
слабо проводящей среды с удельным электрическим сопротивлением ρ
и диэлектрической проницаемостью ε . Определить значение
произведения RC для данной системы, где R – электрическое
сопротивление грузовой среды между датчиками-проводами судового автоматического
контроля, C –
взаимная электрическая ёмкость
датчиков-проводов судового автоматического контроля при заполненном трюме
морским грузом.
Ответ:
.
Задача 28
Датчик судового автоматического контроля представляет
длинный проводник круглого сечения площади S, удельное
сопротивление которого зависит только от расстояния r до
оси проводника по закону
, где α
- постоянная. Определить электрическое сопротивление единицы длины
проводника-датчика судового автоматического контроля.
Ответ:
.
Задача 29
Противопожарная система морского нефтеналивного
терминала имеет электрическое заземление, выполненного в виде металлического
шара диаметром d = 10 см, помещённого в почву с удельным электрическим
сопротивлением ρ = 10 кОм·см . Определить электрическое
сопротивление системы «шар-земля» электрического заземления противопожарной
системы морского нефтеналивного терминала.
Ответ:
![]()
Задача 30
Угольный стержень лампы морского маяка соединён
последовательно с железной стойкой, имеющей такую же толщину. Определить
соотношение длин системы «угольный стержень-стойка» лампы морского маяка, чтобы
электрическое сопротивление лампы морского маяка не зависело от температуры.
Ответ: угольный стержень должен быть короче стойки
в 44 раза.