Проф. Сокол Г.И., инж. Савчук Т.Л., студ. Бабыч А. О.
Днепровский национальный университет имени Олеся Гончара, Украина.
ЭКСПЕРИМЕНТАЛЬНОЕ МОДЕЛИРОВАНИЕ
МЕХАНИЧЕСКИХ
ХАРАКТЕРИСТИК В ЖИВЫХ УПРУГИХ ТЕЛАХ ПРИ ДЕЙСТВИИ АКУСТИЧЕСКОЙ ВОЛНЫ
Введение.
Акустическое поле оказывает на живые организмы как позитивное, так и
негативное воздействие. При этом совпадение резонансных частот отдельных
органов живых организмов с некоторыми частотами акустических полей приводит,
при высоких значениях амплитуд колебаний, к негативному воздействию [1]. Важным
моментом в исследованиях акустических воздействий на органы живых организмов
является получение достоверных данных о механических характеристиках этих
органов: жесткости, модуля упругости, относительного удлинения тела [2]. При воздействии внешних механических
возмущений в виде акустических колебаний тело следует рассматривать как
систему, состоящую из механических элементов. Они характеризуются инерционными,
упругими, демпфирующими свойствами. Интерес представляет способ уничтожения
вредных насекомых акустическими волнами. Для осуществления негативного
акустического воздействия на тело насекомых необходимо знать массу, жесткость и
резонансную частоту их тела. Разрыв тканей и биологическая смерть вредных
насекомых при воздействии на них акустическими колебаниями свидетельствуют о
том, что найдена резонансная частота тела или органа [3] .
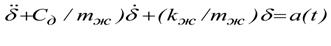
Уравнения,
описывающие колебательные движения тела биологического объекта или отдельных
его частей, записываются с учетом принятых аппроксимаций и допущений, границы
применимости которых выводятся из основных законов изучаемых явлений [4]. Поведение реальной механической системы можно
математически представить и описать с помощью моделей, состоящих из различных
вязких и упругих элементов. Если поведение упругого тела промоделировать с
помощью пружины, а вязкого тела - с помощью поршня в цилиндре, то уравнение
колебательного движения тела насекомого-вредителя растений (в формулах имеет
индекс «ж», так как
рассматривается тело колорадского жука) как вязкоупругой колебательной системы
имеет вид:
![]()
где mж
– масса, сд –
коэффициент демпфирования, kж – коэффициент жесткости, – деформация, а - заданное ускорение.
Резонансная
частота колебаний fж вязкоупругого тела определяется как:
. (1)
Развить способ
разрыва тел, органов или тканей биологического объекта можно, применяя сильное
воздействие колебательного характера.
Основная часть.
Объектом испытаний в настоящей работе стали личинки
колорадского жука. Измерение параметров и характеристик проводились для каждой
личинки индивидуально. Предварительно делался внешний осмотр, который показал,
что тело личинки оформилось к возрастному состоянию, когда появились голова и
ножки, и имеет овально-выпуклую форму, расширяется от головы. В процессе
экспериментов определен вес личинки, измерена ее длина, диаметр тела в
максимальном сечении. Затем тело личинки было установлено в специальное
приспособление (см. рис.1). Прикладывались нагрузки сверху вниз на тело личинки
силами Р1, Р2, Р3, Р4, Р5. Показания микрометра фиксировали
изменения размеров тела, то есть укорочение тела под действием силы (величины
сжатия). Все показания зафиксировались и заносились в журнал измерений.

Рис. 1. Установка для силового воздействия на
тело личинки
После воздействия был проведен внешний осмотр тела
личинки. Показатели силового воздействия и измеренных величин занесены в
таблицу. Полученные данные позволили рассчитать модуль упругости и жесткость
тела личинки, как однородного стержня.
Эксперименты проводились при внешних условиях:
температура воздуха 28° C, влажность 80%. Для измерений использованы:
индикатор часового типа ИЧ10 (цена деления
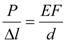
В таблице 1 обозначены следующие величины: G -
вес; l - длина тела d - диаметр максимального сечения; P -
сила внешнего воздействия; Δl - абсолютное сжатие.
Жесткость личинки колорадского жука определяется из
выражения
, (2)
где
P - сила, действующая на личинку, Δl - абсолютное сжатие личинки.
Таблица 1. Показатели измерений
|
№ |
G× 10-6, н |
l× 10- |
d× 10- |
P1=20× 10-6, н |
P2=25× 10-6, н |
P3=30× 10-6, н |
P4=35× 10-6, н |
P5=40× 10-6, н |
|
Δl1×10- |
Δl2×10- |
Δl3×10- |
Δl4×10- |
Δl5×10- |
||||
|
1 |
120 |
6,0 |
5,00 |
0,820 |
0,930 |
1,680 |
1,800 |
2,180 |
|
2 |
100 |
9,0 |
6,00 |
0,640 |
0,875 |
1,190 |
1,610 |
1,840 |
|
3 |
150 |
10,0 |
7,00 |
0,630 |
0,755 |
1,500 |
1,590 |
1,950 |
|
4 |
110 |
7,5 |
5,10 |
0,620 |
0,860 |
1,180 |
1,620 |
1,820 |
|
5 |
150 |
9,0 |
5,15 |
0,750 |
0,960 |
1,210 |
2,050 |
2,420 |
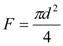
Известно [5], что для тела цилиндрической формы
,
(3)
где E - модуль продольной упругости, характеризующий
жесткость материала, то есть сопротивление его упругим деформациям,
рассчитывается из выражения
,
(4)
где
F - площадь поперечного сечения личинки, цилиндрической формы
.
(5)
В таблицу 2 занесены результаты расчета жесткости,
площади поперечного сечения и модуля продольной упругости личинки колорадского
жука.
Таблица 2. Результаты расчета
|
№ |
Δl, м |
С,
Н/м |
F, м2 |
E, Па |
f, Гц |
|
1 |
2 |
3 |
4 |
5 |
6 |
|
1 |
0,00082 |
0,2393 |
0,0000196 |
60,96 |
7,1088 |
|
|
0,00093 |
0,2636 |
67,17 |
7,4623 |
|
|
|
0,00168 |
0,1752 |
44,63 |
6,0826 |
|
|
|
0,0018 |
0,1907 |
48,59 |
6,3468 |
|
|
|
0,00218 |
0,18 |
45,86 |
6,1658 |
|
|
2 |
0,00064 |
0,3066 |
0,0000283 |
65,09 |
8,8146 |
|
|
0,000875 |
0,2802 |
59,50 |
8,4275 |
|
|
|
0,00119 |
0,2473 |
52,51 |
7,9171 |
|
|
|
0,00161 |
0,2132 |
45,27 |
7,3513 |
|
|
|
0,00184 |
0,2133 |
45,28 |
7,3519 |
|
|
3 |
0,00063 |
0,3114 |
0,0000385 |
56,67 |
7,2540 |
|
|
0,000755 |
0,3248 |
59,10 |
7,4077 |
|
|
|
0,0015 |
0,1962 |
35,70 |
5,7577 |
|
|
|
0,00159 |
0,2159 |
39,29 |
6,0399 |
|
|
|
0,00195 |
0,2012 |
36,62 |
5,8310 |
|
|
4 |
0,00062 |
0,3164 |
0,0000204 |
79,07 |
8,5389 |
|
|
0,00086 |
0,2851 |
71,24 |
8,1051 |
|
|
|
0,00118 |
0,2494 |
62,32 |
7,5805 |
|
|
|
0,00162 |
0,2119 |
52,95 |
6,9876 |
|
|
|
0,00182 |
0,2156 |
53,87 |
7,0481 |
|
|
5 |
0,00075 |
0,2616 |
0,0000208 |
64,76 |
6,6484 |
|
|
0,00096 |
0,2554 |
63,23 |
6,5693 |
|
|
|
0,00121 |
0,2432 |
60,21 |
6,4106 |
|
|
|
0,00205 |
0,1675 |
41,46 |
5,3193 |
|
|
|
0,00242 |
0,1621 |
40,14 |
5,2342 |
Разработанная методика позволила определить резонансную
частоту тела личинки насекомого f,
на основе выражения (5), аналогичного выражению (1)
, (6)
где с -жесткость тела личинки, f -
резонансная частота, m - масса.
Резонансная частота f личинки рассчитана из
выражения (6) на основе полученных значений жесткости с (см. столбец
значений 3 в таблице 2), и представлена значениями f в таблице 2
(столбец 6).
Выводы.
1. Проведены эксперименты, включающие в себя измерения
механических характеристик тела личинки колорадского жука.
2. Получены резонансные частоты тел личинок.
3. На основе полученных результатов можно выдать
рекомендации по акустическим характеристикам поля, предназначенного для губительного
воздействия на тела личинок.
Литература
1.
Сокол Г.И., Рыбалка Т.В. Механизм воздействия акустических колебаний на
сердечную систему насекомого [Текст] / Екологія
та ноосферологія. – 2012. –т. 23, № 1-2.
– С. 84-91.
2.
Sokol G, I., Rybalka T. Elaboration and Investigtion of the Acoustic Method
of Elimihation of Colorado Beetle /ASME/ IEEE International Conference on a nd
Applications ( MESA09 ). Tonik: Mechatronic and Embedded Systems MESA 09-10 / Disigh Engineering. Technikal
Conference Computers and Information in Engineering Conference DETC 2009.
August, 30 – September , 2 , 2009, San Diego
/MESA 09-6 – Bio – Mechatronics
and Bio – sensors – 1: Technical Session
/ DETC 2009 – 87252.
3.
Sokol G, I., Rybalka
T. The acoustic method of Elimination of Colorado Beetle / Annual Meeting GAMM –
2009, 8-15 February 2009, Gdansk, Poland: Book of Abstracts. – P. 355.
4. Сокол Г.И., Рыбалка Т.А. Вибрационные воздействия на вредителей растений / International Conference Dynamical System Modelling and Stability Investigation 27-29 May, Kiyv: thesis of conference reports.- Kyiv, 2009. – С. 250.