P.h.D. Kryuchin O.V.
Tambov State University named after G.R. Derzhavin
The analytic model of the artificial neural networks
training using the parallel gradient method
In
this paper we will analyze formulas which are used by gradient algorithms (for
example the method of the steepest descent, RPROP
or QuickProp). We can see that the
-th weight at the
-th iteration
can be calculated by
formula
|
|
(1) |
where
is the function for calculating weight value
,
is the step value (for the i-th
weight at the I-th iteration) and
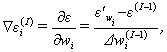
is the gradient (for its
calculation by formulas
|
|
(2) |
|
|
(3) |
we need vector
only) [1, 2]. It means that if weights at the
-th iteration is known that it is possibly to calculate
values at the
-th iteration and it is not necessary to know other weight.

Fig. 1. The scheme of the weights
location in IR-elements.
This means that we can divide the weights to number of
information resources elements (IR-elements). Such elements can be processes or
node of a computer cluster for example. This scheme is shown in picture 1.
If we analyse the information process for the lead and
non-lead IR-elements then we can see that the training algorithm consist of few
steps [1-3]:
1. forming the ANN structure (with the weights initialization);
2. sending the ANN structure to all non-lead IR-elements;
3. calculating weights vector
;
4. receiving
values from all IR-elements;
5. creating vector
and calculating inaccuracy value
;
6. checking the stop
necessity;
7. sending the stop (or not stop) command to all non-lead IR-elements;
8. if the training has not stop then the sending weights to all IR-elements
and go to the third step.
It was the algorithm for the lead IR-element, non-lead
use other:
1. receiving the ANN structure from the lead IR-element;
2. calculating weights
;
3. sending weights
to the lead IR-element;
4. receiving the stop command;
5. if the training has not end then the receiving full weights vector and
go to the second step [4].
If we will analyze formulas which are used by gradient methods then we can
see that the the steepest descent and QuickProp execute 3 multiplicative and 2 additive operations and
RPROP method executes three
multiplicative and one additive operation [1-2, 4]. We should remember that it is
necessary (
) multiplicative and (
) additive operations for one
gradient element calculation. Thus we can count multiplicative and additive operations
for one gradient methods iteration (tab. 1).
Table 1. Number of operations for one iteration.
|
Method |
Mult operations number |
Add operations number |
|
The steepest descent |
|
|
|
QuickProp |
|
|
|
RPROP |
|
|
Each parallel iteration of the information
process which uses gradient methods consist of few steps:
·
sending weights
by the lead IR-element;
·
calculating part of gradient and weights;
·
sending new weights to the lead IR-element
[1].
The first step needs
multiplicative and
additive operations at the lead IR-element (we will symbol it as
) and
at the non-lead (we will symbol it as
). This value consists of
operations for the data sending and
for the waiting. Operations number which are necessary for the
second step are shown in table 2. At the third step the non-lead IR-element executes
multiplication and
additive operations. The lead IR-element executes
multiplicative operations (
for the sending and
for the waiting) and
additive operations.
Table 2. Number of operations which are executed at the
second iteration of information process.
|
Method |
Operations number |
|||
|
Lead IR-element |
Non-lead IR-element |
|||
|
multiplicative |
additive |
multiplicative |
additive |
|
|
The st. descent |
|
|
|
|
|
QuickProp |
|
|
|
|
|
RPROP |
|
|
|
|
For reduction of addition operations to multiplication
operations the coefficient
is used. This coefficient value is directly proportional to the
time spent for one addition operation and inversely related to the time spent
for one multiplication operation. So one multiplication operation needs the
time which is necessary for
addition operations and one addition operation can be changed to
multiplication operations [4].
The first step needs
operations at the lead IR-element and
operations at other. Values of the second step (
and
) is show in table 2. The third step
executes
operations at the non-lead IR-element that is why it needs to wait
operations before receiving.
So the parallel training information
process executes
|
|
(4) |
operations. Here information process executes
operations of the parallel algorithms (
operations are executed at the last
step and
is other operations). The efficiency of parallel information process
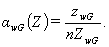
can be calculated by formula ![]()
So the analitic model can be
wrriten as
|
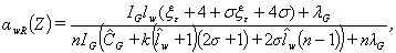
for the steepest descent and for QuickProp
formula |
(6) |
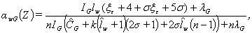
|
|
(7) |
for the RPROP
formula. Here
is the iterations number,
is the other operations number.
Bibliography
1.
Крючин О.В. Разработка параллельных градиентных
алгоритмов обучения искусственной нейронной сети // Электронный журнал
"Исследовано в России", 096, стр. 1208-1221, 2009 г. // Режим
доступа: http://zhurnal.ape.relarn.ru/articles/2009/096.pdf
Загл. с экрана.
2.
Крючин,
О.В. Разработка параллельных эвристических алгоритмов подбора весовых
коэффициентов искусственной нейронной сети / О.В. Крючин // Информатика и ее
применение. — 2010. — Т. 4, Вып. 2. — C. 53-56.
3.
Крючин,
О.В. Параллельные алгоритмы обучения искусственных нейронных сетей с
использованием градиентных методов / О.В. Крючин // Актуальные вопросы
современной науки, техники и технологий: матер. II Всерос. науч.-практ. (заоч.)
конф. — М: 2010. — C. 81-86.
4. Крючин, О.В. Параллельные
алгоритмы обучения искусственных нейронных сетей / О.В. Крючин //
Информационные технологии и математическое моделирование (ИТММ-2009) : матер.
VIII Всерос. науч.-практ. конф. с междунар. участием, 12-13 ноября 2009 года. — Томск:, 2009. — Ч. 2. — С. 241-244.