Ткачук А.Р, Ревенок
В.І
ВТЕЇ
КНТЕУ
Економетрична модель оцінювання кредитного позичальника відповідно
до експертної оцінки
Кредитний скоринг містить моделі
прийняття рішень і основні методи, які забезпечують підтримку кредиторам під
час вибору рішення зі споживчого кредиту. Використання цих методів дає змогу
визначити, хто отримає кредит, у якому обсязі, які оперативні стратегії
допоможуть підвищити рентабельність позичальників, а також допомагає оцінити
ризик. Кредитнийскоринг ґрунтується на реальних даних, що дає змогу віднести
його до надійних оцінок персональної кредитоспроможності. На сьогодні
найефективнішим є поєднання кількох методів скорингу –статистичного й
експертного.

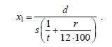
Позначення: d –
середньомісячний дохід, s – сума кредиту, t – термін кредиту,r
– відсот кова ставка, ТС – трудовий стаж на останньому місці праці, ТП –
термін проживання клієнта в цьому регіоні, В – вік, О – оцінка експерта
професії та соціально-економічного становища клієнта. Розрахуємо коефіцієнт
кредитоспроможності фізичної особи за формулою [3]:
(1)
Підготовлені дані, фрагмент яких подано в табл. 2, будемо
використо-
вувати для оцінювання невідомих параметрів економетричної
логіт-моделі [1]:
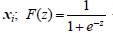
![]()
де
–ймовірність того, що i-е значення бінарної змінної дорівнює
1 за умови
- логістична функція; εі – випадкова складова; x1-коефіцієнт
кредитоспроможності фізичної особи; x2-трудовий стаж на останньому місці
праці; x3-термін проживання клієнта в даному регіоні; x4-вік; x5-оцінка
експерта професії та соціально-економічного становища клієнта

Як видно з параметрів, п'ятичинникова логіт-модель забезпечує
високу надійність, що підтверджується розрахунковим значенням хі-квадрать
(25,5) і майже нульовою вірогідністю не відкинути нульову гіпотезу. Аналітичний
вираз побудованої моделі виглядатиме так:
(3)
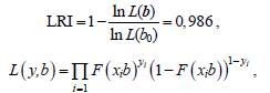
Адекватність побудованої моделі можна
визначити за допомогою ін-
дексу відношення правдоподібності Макфадена, використовуючи
формулу

ln L(b) – максимальне значення логарифмічної
функції правдоподібності, що
досягається в точці, координати якої дорівнюють оцінкам
параметрів моделі
b= (b0,b1,K,bm), a
ln L(b0) – значення логарифмічної функції правдоподібнос-
ті, обчислене у припущенні, що bl = b2 =… = bт
= 0.

Виконані розрахунки свідчать про
можливість надання кредиту лише
другому та третьому клієнтам.
Висновки. Побудована модель
кредитного скорингу надає банківському кредитному аналітикові змогу самостійно
приймати обґрунтовані рішення з кредитного обслуговування клієнтів й управління
кредитним портфелем в умовах гострої конкуренції на ринку роздрібного кредитування.З
часом будь-яка статистична модель стає неточною. Це відбувається з багатьох
причин: внаслідок економічних циклів, зміни клієнтської бази банку, структурних
зрушень в економіці, інфляції тощо.На мові ймовірнісної моделі це означає, що
вплив характеристик позичальника на ймовірність повернення або неповернення ним
кредиту не залишається постійною, а змінюється з часом. І для того, щоб
скорингова модель могла продовжувати виконувати свої функції, її потрібно
періодично корегувати.
Література
1. Ґрін В.Г. Економетричний аналіз. – К. : Вид-во "Основи", 2005. –
1196 с.
2. Примостка Л.О. Аналіз банківської діяльності: сучасні концепції, методи та
моделі :
монографія. – К. : Київ. нац. екон. ун-т, 2002. – 313 с.
3. Прокопенко І.Ф. Основи банківської справи : навч. посіб. / Прокопенко
_______І.Ф., Га-
нін В.І., Соляр В.В., Маслов С.І. – К. : Центр навч. літ-ри,
2005. – 410 с.
УДК 681.3 Доц. О.М. Березький, канд.
техн. наук; доц. К.М. Березька