ИССЛЕДОВАНИЕ ВЯЗКОСТИ ТОНКОДИСПЕРСНЫХ ГИДРОСМЕСЕЙ ОБОГАТИТЕЛЬНОГО ПРОИЗВОДСТВА
С.Ю.Авксентьев, А.К.Николаев (оба Национальный минерально-сырьевой университет
«Горный»), Е.Ю.Авксентьева (Российский государственный педагогический
университет им. А.И.Герцена) г. Санкт-Петербург, Россия
Почти половину территории России занимают
районы с вечно мерзлыми грунтами. Здесь имеются богатейшие запасы нефти, газа,
каменного угля, цветных и благородных металлов.
За последние годы в стране накоплен
определенный опыт по проектированию, строительству и эксплуатации
трубопроводных систем различного назначения на Севере. Вместе с тем практика
эксплуатации этих систем ставит новые задачи, для решения которых необходимо
выполнять теоретические и экспериментальные исследования различных процессов.
Особое внимание при этом необходимо уделять исследованию тепловых процессов,
происходящих в гидротранспортных системах.
В расчетах тепловых режимов трубопроводов
гидравлического транспорта важной характеристикой, влияющей на процессы
теплообмена между потоком гидросмеси и стенкой трубы, является вязкость
гидросмеси.
В методиках моделирования структуры
гидросмеси возможны разные подходы к решению задачи. Наиболее распространенным
является метод перехода к элементарной ячейке [1]. Моделирование
двухкомпонентных хаотических систем (жидкость-твердые частицы) с помощью
данного метода обоснованно в работах [2]. Гипотеза об адекватности хаотической
и упорядоченной структур предполагает, что эти структуры (рис.1)
характеризуются одинаковыми эффективными свойствами, если свойства компонентов
и их концентраций одинакова.
В рассматриваемом случае неоднородности одного вида (1) расположены на одинаковом расстоянии друг от друга, и элементарная ячейка обладает свойством представительного элемента, т.е. Минимального объема неоднородной системы, физические и геометрические свойства которого соответствуют свойствами всего массива.
Рис.1.
Переход от хаотической структуры материала с изолированными включениями к
соответствующей ей упорядоченной структуре.
(1-Твердое вещество; 2-Жидкость)
На рис.2. Представлена 1/8 часть элементарной ячейки

Рис.2. 1-Твердая фаза; 2-Жидкость
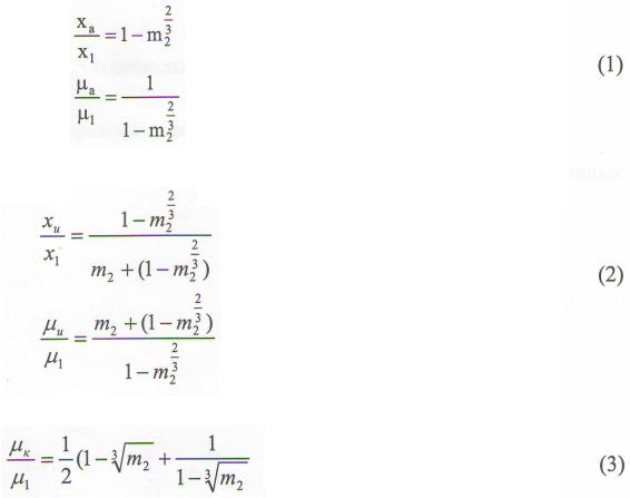
Используя дробление ячейки сечениями Рэлея, получим следующие соотношения для вязкости пульпы в случае адиабатного (1). изотермического (2) и комбинированного (3) способов дробления.

На рис.3. дана графическая интерпретация полученных зависимостей.
Рис.3.
1-адиабатическое дробление; 2-комбинированное дробление; 3-изотермическое
дробление
Выполненные исследования позволили получить расчетные зависимости для определения вязкости гидросмеси в зависимости от
ее концентрации для различных способов дробления элементарной ячейки
***
Список литературы
1. Дульнев Г.Н. «Процессы переноса в неоднородных
средах». 1991. 248с.
2. Дульнев Г.Н., Заричняк Ю.П. «Теплопроводность
смесей и композиционных материалов». 1974. 264с.