Технические науки/ 4.Транспорт
Д.т.н.
Вычужанин В.В., Бойко В.Д.
Одесский национальный морской
университет, Украина
Оценки живучести судовых технических
систем для «экстремальной аварийной
ситуации»
В методике оценки живучести судовых
технических систем (СТС) наиболее
важной является оценка влияния отдельных элементов на уязвимости и риски систем
в целом. Для эффективной эксплуатации, прогнозирования и борьбы с аварийными
ситуациями следует оценивать «вклад» каждого из элементов системы на живучесть
СТС. Кроме того при оценке живучести СТС должны быть выделены структурные и функциональные аспекты живучести, определяющие уязвимости и
угрозы в топологии и взаимосвязи компонентов системы.
Неблагоприятные
воздействия и поражающие факторы (НВ и ПФ) - пожары, взрывы, затопления,
разгерметизация систем с высокой энергией и другие факторы, влиянию которых
судно подвергается в момент аварии, могут быть промоделированы для
«экстремальной аварийной ситуации» (ЭАС).
При ЭАС в
момент воздействия НВ и ПФ на судно происходит поражение всех его элементов,
ограниченных объемом отсека или любого другого корабельного помещения -
пространственной единицы компоновки (ПК).
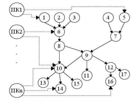
Диаграмма
когнитивной модели живучести СТС, например из 17-ти элементов и n ПК-элементов
при «экстремальной аварийной ситуации» с поражающими факторами, одинаково
выводящими из строя все элементы СТС в ПК, имеет вид, представленный на рис. 1.
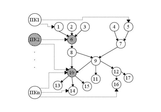
При моделировании ЭАС, поражающей одну или несколько ПК, в модель введен
дополнительный уровень элементов, соответствующий единицам ПК судна. Каждая из
ПК - элементов соединяется направленными дугами с проводимостью равной единице
для случаев ЭАС, либо в диапазоне от 0 до 1,0 при моделировании
пространственного поражениях ПК различного характера. При поражении в случае
ЭАС элемента ПК2 (выхода из строя отсека 2) процесс моделирования отражается
орграфом, представленным на диаграмме рис.2.

Рис.1. Диаграмма когнитивной модели живучести
СТС

Рис.2. Результаты моделирования первой фазы ЭАС
Как
следует из результатов моделирования «экстремальной аварийной ситуации»,
поражающей ПК2 элемент (рис. 2), на первом этапе поражения происходит выход из
строя элементов 6 и 10 СТС. Дальнейшее развитие «экстремальной аварийной
ситуации» приводит к поражению подчиненного этим элементам области СТС в
соответствии с диаграммой рис.3.

Рис.3. Результаты моделирования второй фазы ЭАС
Структурные
и функциональные риски системы, рассчитываемые по предлагаемой методике для
«экстремальной аварийной ситуации» позволяют получить интегральную оценку
живучести, включающую в себя, как понятие угрозы, так и понятие надежности.
Кроме того они позволяют прогнозировать тенденцию изменения живучести СТС во
времени (в зависимости от изменения работоспособности и надежности отдельных ее
элементов, с учетом разной скорости изменения этих параметров).
Разработанная методика
оценки живучести судовых технических систем для «экстремальной аварийной
ситуации» позволяет: определить значимость действующих в системе взаимосвязей;
моделировать распространения различных уровней тяжести неблагоприятных внешних
воздействий и поражающих факторов по структуре судовой технической системы.