Физическая культура и спорт/1. Физическая культура и
спорт: проблемы, исследования, предложения.
Pasko V. V., Ph.D. Podolyaka О. B., Petrenko S.
A.
Kharkov state academy of physical culture, Ukraine
PERFECTION OF EDUCATIONAL-TRAINING PROCESS OF RUGBY-PLAYERS
For a rational management in the process of the
sporting training, competition activity and their further development it is
necessary to provide approach, at which, on the first plan, concrete aims would
be set and corresponding to their achievement processes, proceeding in the
system during realization of management tasks.
Training process is organized in accordance with certain special purpose
tasks which are concretely expressed in the set value of increasing of sporting
result and stipulate the necessary for their realization program of training.
Leading specialists in area of physical culture and sport mark that on the
modern stage the top sporting achievements is related mainly to the solving of
problem of process of sporting preparation [4].
Rugby League is an interesting
sporting spectacle and effective mean of education of man, both in physical and
moral aspects [1-3, 5, 6].
However
today there is the single program of preparation in Rugby League, that stipulates the necessity
of systematization of existent knowledge and generalization of experience of
leading specialists on Rugby
League with the purpose of bringing of scientific approach in the
methods of preparation of sportsmen. Therefore, there was a necessity of
development of the program for optimization and perfection of the special
physical skills of inherent Rugby
League [2, 3, 5].
This paper
presents the substantive provisions of the program of the special physical
preparation in setup time of training macrocycle for rugby-players of 16-18 years.
In the complex of exercises on the special physical preparation exercises were
included for development of speed
capabilities, a sprint was used with a ball in the preparatory period of annual
preparation. For development of power exercises were selected with a barbell:
benchpress and squat with a barbell on shoulders. Lifting barbells on breast
determines the level of speed-power capabilities. Pulling up on crossbar was a
mean for development of speed-power capabilities. Speed-power endurance was determined
at shuttle run, and for development of the special endurance - 5 minute run.
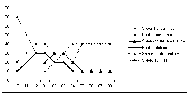
Feature
of correlation of training work on the special physical preparation presented
on a picture 1, which is directed to development of basic physical skills
(capabilities).

Fig. 1. Program special physical preparation
The
basic constituent of the special physical preparation on the offered methods
was a plan with determination of percent correlations of orientation of
development basic for Rugby
League of physical capabilities, namely variations of loading related to
the speed-power component on a background endurance. On the first stage
attention was paid to the development of endurance, power endurance,
speed-power endurance, to the power capabilities with the gradual decreasing and
transfer to the increase of speed-power capabilities, on the second, decreasing
of speed-power endurance with transfer to the speed capabilities. In future
withholding was carried out at one level of speed-power capabilities with predominance
of speed capabilities which are the basic constituent of competition activity
in Rugby League.
Thus, rational correlation of the training loading is
set on the special physical preparedness for rugby-players of 16-18 years, which is directed on the development of basic physical skills
in preparatory period. The offered methods are sent to the increase and
withholding at one level of speed-power capabilities with predominance of speed
capabilities which are the basic constituent of competitions activity in Rugby League.
References:
1.
Мартиросян А.А. Особенности
технико-тактической подготовки квалифицированных регбистов /
А. А. Мартиросян // Слобожанський науково-спортивний
вісник : [наук.-теор. журн.]. – Харків : ХДАФК, 2003. –
№ 6. – С. 80–82.
2.
Пасько В.В. Використання комп’ютерних
технологій в учбово-тренувальному процесі у контактних ігрових видах спорту (на
прикладі регбі) / В. В. Пасько // Слобожанський
науково-спортивний вісник : [наук.-теор. журн.]. – Харків : ХДАФК,
2010. – № 1–2. – С. 151–155.
3.
Пасько В.В. Регбилиг как приоритетный
вид спорта для Украины / В. В. Пасько, О. Б. Подоляка,
А. А. Мартиросян, И. Ю. Филенко. Слобожанський
науково-спортивний вісник : [наук.-теор. журн.]. – Харків : ХДАФК,
2012. – № 4. – С. 165–168.
4.
Платонов В.Н. Система подготовки
спортсменов в олимпийском спорте / В. Н. Платонов. –
К. : Олимпийская литература, 2004. – 808 с.
5.
Подоляка О.Б. Доцільність
використання комп’ютерних технологій у регбі / О. Б. Подоляка,
В. В. Пасько // Матеріали VII всеук. наук.-практ.
інтернет-конф. – Ч. 8. – К., 2010. – С. 28–29.
6.
Подоляка О.Б. Навчальна
комп’ютерна програма «регбі-13» для вдосконалення навчально-тренувального
процесу в регбіліг / О. Б. Подоляка,
В. В. Пасько // Слобожанський науково-спортивний вісник :
[наук.-теорет. журн.]. – Харків : ХДАФК, 2011. –
№ 4. – С. 163–168.