ENERGY PRINCIPLES OF STABLE BIO-STRUCTURE FORMATION

G.À. Korablev*, V.I. Kodolov**, G.E. Zaikov***

*Izhevsk State Agricultural Academy

**Basic Research-Educational Center of Chemical Physics and Mesoscopy, UdSC, UrD, RAS

**Institute of Biochemical Physics, RAS

 

ABSTRACT

The notion of spatial-energy parameter (P-parameter), which is a complex characteristic of important atomic values, is used to evaluate energy criteria of stable bio-structure formation. The rationality of applying such methodology when investigating the formation process of some nanosystems, conformation of polypeptide chains and fragments of DNA molecules is demonstrated. The principles of biosystem formation and stabilization have definite analogy with the conditions of wave processes. The results obtained do not contradict the experimental data.  

Keywords: spatial-energy parameter, nanosystems, conformation, biosystems, DNA molecules.

Introduction

To obtain the dependence between energy parameters of free atoms and dynamics of structural formations in simple and complex systems is one of strategic tasks in physical chemistry.  Classical physics and quantum mechanics widely use Coulomb interactions and their varieties for this.    

Thus in [6] Van der Waals, orientation and charge-dipole interactions are referred to electron-conformation interactions in biosystems. And as a particular case – exchange-resonance transfer of energy. But biological and many cluster systems are electroneutral in structural basis. And non-Coulomb equilibrium-exchange spatial-energy interactions, i.e. non-charge electrostatic processes, are mainly important for them.

The structural interactions of summed electron densities of valence orbitals of corresponding conformation centers take place – processes of equilibrium flow of electron densities due to overlapping of their wave functions.

Heisenberg and Dirac [10] proposed the exchange Hamiltonian derived in the assumption on direct overlapping of wave functions of interacting centers. In this model electrostatic interactions are modeled by effective exchange Hamiltonian acting in the space of spin functions.

In particular, such approach is applied to the analysis of structural interactions in cluster systems [7]. It is demonstrated in Anderson’s works [9] that in compounds of transition elements when the distance between paramagnetic ions considerably exceeds the total of their covalent radii, “superexchange” processes of overlapping cation orbitals take place through the anion between them.

In this work similar equilibrium-exchange processes are evaluated through the notion of spatial-energy parameter – Ð-parameter.

 

1.      Initial criteria

 

In the systems in which the interaction proceeds along the potential gradient (positive work), the resultant potential energy is found based on the principle of adding reciprocals of corresponding energies of subsystems [2].

Thus the energy of atom valence orbitals (responsible for interatomic interactions) can be calculated by the principle of adding reciprocals of some initial energy components based on the following equations:

 

                   or   ;     (1),(2),(3)

 

Here: Wi – electron orbital energy [14]; ri – orbital radius of i–orbital [13]; q=Z*/n* [11,12], ni – number of electrons of the given orbital, Z* and n* – nucleus effective charge and effective main quantum number, r – bond dimensional characteristics.

Ð0 is called a spatial-energy parameter (SEP), and ÐE – effective Жparameter (effective SEP). Effective SEP has a physical sense of some averaged energy of valence electrons in the atom and is measured in energy units, e.g. electron-volts (eV).

Calculation results by the equations (1,2,3) are given in Table 1.

 

Table 1

Ð-parameters of atoms calculated via the electron bond energy

 

Atom

Valence electrons

W

(eV)

ri

(Å)

q2 0

(eVÅ)

Ð0

(eVÅ)

R

(Å)

Ð0/R

(eV)

H

1S1

 

 

13.595

 

 

0.5292

 

 

14.394

 

 

4.7969

 

 

0.5292

0.375

0.28

9.0644

12.792

17.132

Ñ

2P1

 

 

2P2

 

 

2P3ã

2S1

2S2

2S1+2P3ã

2S1+2P1ã

2S2+2P2

11.792

 

 

11.792

 

 

 

19.201

 

 

 

0.596

 

 

0.596

 

 

 

0.620

 

35.395

 

 

35.395

 

 

 

37.240

 

 

5.8680

 

 

10.061

 

 

13.213

9.0209

14.524

22.234

13.425

24.585

24.585

0.77

0.67

0.60

0.77

0.67

0.60

0.77

0.77

0.77

0.77

0.77

0.77

0.67

0.60

7.6208

8.7582

9.780

13.066

15.016

16.769

17.160

11.715

18.862

28.875

17.435

31.929

36.694

40.975

N

2P1

 

2P2

 

2P3

 

2S2

2S2+2P3

15.445

 

 

 

 

 

25.724

 

0.4875

 

 

 

 

 

0.521

 

52.912

 

 

 

 

 

53.283

 

6.5916

 

11.723

 

15.830

 

17.833

33.663

0.70

0.55

0.70

0.63

0.70

0.55

0.70

0.70

9.4166

11.985

16.747

18.608

22.614

28.782

25.476

48.090

O

2P1

2P1

2P2

 

2P4

 

2S2

2S2+2P4

 

17.195

 

17.195

 

17.195

 

33.859

 

0.4135

 

0.4135

 

0.4135

 

0.450

 

71.383

 

71.383

 

71.383

 

72.620

 

6.4663

 

11.858

 

20.338

 

21.466

41.804

0.66

0.55

0.66

0.59

0.66

0.59

0.66

0.66

0.59

9.7979

11.757

17.967

20.048

30.815

34.471

32.524

63.339

70.854

 

In the systems in which the interactions proceed against the potential gradient (negative performance) the algebraic addition of their masses as well as the corresponding energies of subsystems is performed [2]. Thus, for the interaction of similarly charged (homogeneous) subsystems the principle of algebraic addition of their P-parameters is performed:

         (4)                                    (5)       

where R – dimensional characteristic of atom (or chemical bond).

Modifying the rules of adding the reciprocals of the energy magnitudes of sub-systems as applicable to complex structures, we can obtain the equations to calculate a ÐÑ-parameter of a complex structure:

                                           (6)

where N1 and N2 – number of homogeneous atoms in sub-systems.

The calculation results in this equation for some atoms and radicals of biosystems are given in Table 2.

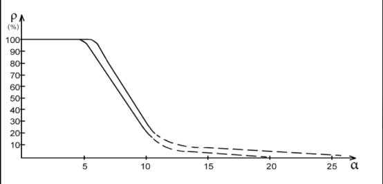
The value of the relative difference of P-parameters of interacting atoms-components – the structural interaction coefficient α is used as the main numerical characteristic of structural interactions in condensed media:

                                                                                                                                                                                                               (7)  

 

Applying the reliable experimental data we obtain the nomogram of structural interaction degree dependence (ρ) on coefficient α, the same for a wide range of structures (Fig.1). This approach gives the possibility to evaluate the degree and direction of the structural interactions of phase formation, isomorphism and solubility processes in multiple systems, including molecular ones.

Fig. 1

Nomogram of structural interaction degree dependence (ρ) on coefficient α

 

Table 2

Structural ÐÑ-parameters calculated via electron bond energy

 

Radicals, molecule fragments

 (eV)

 (eV)

 (eV)

Orbitals

ÎÍ

9.7979

30.815

17.967

9.0644

17.132

17.132

4.7084

11.011

8.7710

O (2P1)

O (2P4)

O (2P2)

Í2Î

2·9.0644

2·17.132

17.967

17.967

9.0237

11.786

O (2P2)

O (2P2)

ÑÍ2

17.160

31.929

36.694

2·9.0644

2·17.132

2·9.0644

8.8156

16.528

12.134

Ñ (2S12P3ã)

Ñ (2S22P2)

Ñ (2S12P3ã)

ÑÍ3

31.929

15.016

3·17.132

3·9.0644

19.694

9.6740

Ñ (2S22P2)

Ñ (2P2)

ÑÍ

36.694

17.435

17.132

17.132

11.679

8.6423

Ñ (2S22P2)

Ñ (2S22P2)

NH

16.747

19.538

48.090

17.132

17.132

17.132

8.4687

9.1281

12.632

N(2P2)

N(2P2)

N(2S22P3)

NH2

19.538

16.747

28.782

2·9.0644

2·17.132

2·17.132

9.4036

12.631

18.450

N(2P2)

N(2P2)

N(2P3)

Ñ2Í5

2·31.929

5·17.132

36.585

Ñ (2S22P2)

NO

19.538

28.782

17.967

20.048

9.3598

11.817

N(2P2)

N(2P3)

ÑÍ2

31.929

2·9.0644

11.563

Ñ (2S22P2)

ÑÍ3

16.769

3·17.132

12.640

Ñ (2P2)

ÑÍ3

17.160

3·17.132

12.865

Ñ (2P3ã)

ÑΖÎÍ

8.4405

8.7710

4.3013

Ñ (2P2)

ÑÎ

31.929

20.048

12.315

Ñ (2S22P2)

Ñ=Î

15.016

20.048

8.4405

Ñ (2P2)

Ñ=Î

31.929

34.471

16.576

Î (2P4)

ÑÎ=Î

36.694

34.471

17.775

Î (2P4)

Ñ–ÑÍ3

31.929

19.694

12.181

Ñ (2S22P2)

Ñ–ÑÍ3

17.435

19.694

9.2479

Ñ (2S12P1)

Ñ–NH2

31.929

18.450

11.693

Ñ (2S22P2)

Ñ–NH2

17.435

18.450

8.8844

Ñ (2S12P1)

Ñ–ÎÍ

8.7572

8.7710

4.3821

 

 

2. Formation of carbon nanostructures

After different allotropic modifications of carbon nanostructures (fullerenes, tubules) have been discovered, a lot of papers dedicated to the investigations of such materials, for instance were published, determined by the perspectives of their vast application in different fields of material science.

The main conditions of stability of these structures formulated based on modeling the compositions of over thirty carbon clusters are given [8]:

1) Stable carbon clusters look like polyhedrons where each carbon atom is three-coordinated.

2) More stable carbopolyhedrons containing only 5- and 6-term cycles. 

3) 5-term cycles in polyhedrons – isolated.

Let us demonstrate some possible explanations of such experimental data based on the application of spatial-energy concepts. The approximate equality of effective energies of interacting subsystems is the main condition for the formation of stable structure in this model [4] based on the following equation:

;                      (8)

where Ê – coordination number, R – bond dimensional characteristic.

At the same time, the phase-formation stability criterion (coefficient α) is the relative difference of parameters Ð1 and Ð2 that is calculated following the equation (1) and is αST<(20-25)% (according to the nomogram).

During the interactions of similar orbitals of homogeneous atoms  we have

                                                                  (8à)

Let us consider these initial notions as applicable to certain allotropic carbon modifications:

1. Diamond. Modification of structure where Ê1=4, Ê2=4; , R1=R2, Ð1=Ð2 and α=0. This is absolute bond stability.

2. Non-diamond carbon modification for which , Ê1=1; R1=0,77Å; Ê2=4; , α=3,82%. Absolute stability due to ionic-covalent bond.

3. Graphite. , Ê1=Ê2=3, R1=R2, α=0 – absolute bond stability.

4. Chains of hydrocarbon atoms consisting of the series of homogeneous fragments with similar values of P-parameters.

5. Cyclic organic compounds as a basic variant of carbon nanostructures. Apparently, not only inner-atom hybridization of valence orbitals of carbon atom takes place in cyclic structures, but also total hybridization of all cycle atoms.

But not only the distance between the nearest similar atoms by bond length (d) is the basic dimensional characteristic, but also the distance to geometric center of cycle interacting atoms (D) as the geometric center of total electron density of all hybridized cycle atoms.

Then the basic stabilization equation for each cycle atom will take into account the average energy of hybridized cycle atoms:

;                               (9)       (9à)

where ΣÐ0=Ð0N; N – number of homogeneous atoms, Ð0 – parameter of one cycle atom, Ê – coordination number relatively to geometric center of cycle atoms. Since in these cases Ê=K and N=N, Ê=N, the following simple correlation for paired bond appears:

;                                                              (10)

During the interactions of similar orbitals of homogeneous atoms , and then:

                                         (11)

Equation (10) reflects a simple regularity of stabilization of cyclic structures:

The main condition of formation and stability of structures is an approximate equality of effective interaction energies of atoms along all directions of interatomic bond.

The corresponding geometric comparison of cyclic structures consisting of 3, 4, 5 and 6 atoms results in the conclusion that only in 6-term cycle (hexagon) the bond length (d) equals the length to geometric center of atoms (D): d=D.

Such calculation of α following the equation (7), gives for hexagon α=0 and absolute bond stability. And for pentagon d≈1.17D and the value of α=16%, i.e. this is the relative stability of the structure being formed. For the other cases α>25%, therefore many biosystems such as, for example, nucleic acids, contain only 5- and 6-term cyclic fragments.

The calculations and comparisons performed based on spatial-energy concepts allow explaining some formation peculiarities of hexagonal structures in biosystems.

 

3. Formation of polypeptide chain

Main components of organic compounds constituting 98 % of cell element composition: carbon, oxygen, hydrogen and nitrogen. The polypeptide bond formed by COOH and NH2 groups of amino acid CONH is the binding base of protein biopolymers of a cell. At the same time, carbon atoms are more frequently found in polypeptide chain nodes, and sometimes – nitrogen atoms.

Fragments of polypeptide chain nodes are formed of CH, OH, CO, NH, NH2, CO-OH atom groups and some radicals. In accordance with conformation energy criteria of such chain, the approximate equality of their ÐE-parameters needs to be followed, both separately for all fragments and chain atomic nodes. The calculations of possible variants are given in Table 2. Its analysis results in the conclusion of the existence possibility of three series of such relations. Their summarized data are given in Table 3. Such cyclicity of functional correlations can be evaluated from the point of quantum-wave properties of P-parameter [5].

The interference minimum, oscillation weakening (in anti-phase) takes place if the difference in wave move (∆) equals the odd number of semi-waves:

∆ = (2n +1) = l(n + ),    where n = 0, 1, 2, 3, …                              (12)

It means that the minimum of interactions take place if P-parameters of interacting structures are also “in anti-phase” – either oppositely charged systems or heterogeneous atoms are interacting (e.g. during the formation of valence-active radicals CH, CH2, CH3, NO2 …, etc.).

In this case, P-parameters are summed up based on the principle of adding the reciprocals of P-parameters – equations (1-3).

The difference in wave move (∆) for Ð-parameters can be evaluated via their relative value (g=) or via relative difference of Ð-parameters (coefficient a), which give an odd number at minimum of interactions: 

g=  At n=0 (basic state)   (12à)

Interference maximum, oscillation enhancing (in phase) takes place if the difference in wave move equals an even number of semi-waves:

                           ∆=2n=ln    or     ∆=l(n+1)                                     (13)

As applicable to P-parameters, the maximum enhance of interaction in the phase corresponds to the interactions of similarly charged systems or systems homogeneous by their properties and functions (e.g. between the fragments or blocks of complex organic structures, such as CH2 and NNO2).

Then:                                      g==(n+1)                                                  (13à)

By this model, the maximum of interactions corresponds to the principle of algebraic addition of P-parameters – equations (4,5). When n=0 (basic state), we have Ð2=Ð1, or: the maximum of structure interaction occurs if their P-parameters are equal. This postulate and equation (13à) are used as basic conditions for the formation of stable structures [4].


Table 3

Bio-structural spatial-energy parameters (eV)

Series

Í

Ñ

N

O

CH

CO

NH

NH2

ÎÍ

CNH2

CCH3

E>

<>

I

9.0644

(1S1)

8.7582

(2Ð1)

9.780

(2Ð1)

9.4166

(2Ð1)

9.7979

(2Ð1)

8.6423

(2S22–1S1)

8.4405

(2Ð22)

8.4687

(2Ð2–1S1)

9.1281

(2Ð2–1S1)

9.4036

 

 

 

8.7710

 

 

8.8844

2S11ã

(2Ð31S1)

9.2479

2S11ã

(2S2 2–1S1)

8.9905

 

0.82

II

12.792

(1S1)

 

13.066

(2P2)

11.715

(1S1)

11.985

(2P1)

11.757

(2P1)

11.679

(2S22Ð2–1S1)

12.081

(2S22Ð2–1S1)

12.315

(2S22Ð2–2P2)

12.632

(2S22Ð3–1S1)

12.404

11.011

11.693

2S22Ð2–(2P3 –1S1)

12.181

2S22Ð2–(2S22P2–1S1)

12.138

 

5.25

III

17.132

(1S1)

16.769

(2P2)

17.435

(2S12Ð1)

16.747

(2P2)

17.967

(2P2)

Blocks

Ñ and Í

16.576

(2S22–2P4)

Blocks

N and Í

18.450

 

Blocks

ÑÎ and ÎÍ

Blocks

C and NÍ2

Blocks

C and NÍ2

17.104

0.16–4.92

 

Note: Names of interacting orbitals are indicated in brackets


Hydrogen atom, element No 1 with orbital 1S1 defines the main energy criteria of structural interactions (their “ancestor”). Table 1 shows its three ÐE-parameters corresponding to three different characteristics of the atom.         

R1 = 0.5292 À0 – orbital radius (quantum-mechanical characteristic) gives the initial main value of ÐE-parameter equaled to 9.0644 eV;

            R2 = 0.375 À0 – distance equaled to the half of the bond energy in Í2 molecule. But if hydrogen atom is bound with other atoms, its covalent radius is  0.28 À0. 

            In accordance with equation (13à) Ð2 = Ð1 (n+1), therefore Ð1  9.0644 eV,   Ð2  18.129 eV.

            These are the values of possible energy criteria of stable (stationary) structures. The dimensional characteristic 0.375 À0 does not satisfy them, therefore, there is a transition onto to the covalence radius  0.28 À0, which provides the value of P-parameter approximately equaled to Ð2.

Three series with approximately equal values of P-parameters of atoms or radicals at  < 7.5% are given in Table 3.

First series for ÐE= 9.0644 eV – main, initial, where Í, Ñ, Î, N atoms have ÐE-parameters only of the first electron and interactions proceed in the phase.

Second series for Ð''E = 12.792 eV is the non-rational, pathological as it more corresponds to the interactions in anti-phase: by equation (12à) Ð''E = 13.596 eV.

Third series for Ð''''E = 17.132 eV – stationary as the interactions are in the phase: by equation (12à) Ð''''E = 18.129 eV ( = 5.5%).

With specific local energy actions (electromagnetic fields, radiation, etc.), the structural formation processes can grow along the pathological series II that can result in the destruction of the main conformation chain [5].

Therefore during the transplantation and use of stem cells the condition of approximate equality of P-parameters of the corresponding structures should be observed (not by the series II).

 

3. On conformation of fragments of DNA molecules

Pyrimidines – cytosine (C) and thymine (T), as well as purines – adenine (A) and guanine (G) are canonic foundations in DNA molecule. They comprise nitrogen and carbon atoms, as well as molecular groups CH, OH, NH, NH2, CH3. The main property of pyrimidines and purines – nitrogen atoms can attach protons [1]. The values of P-parameters of all these fragment components are given in Tables 1, 2, 3.

Such data are also systemized in operation series with numerical values to be quantized from the initial value of hydrogen atom (9.0644 eV) approximately 2 times more. Obviously, the series of structures with the parameter value 2 times less from the initial one (about 4.533 eV) are also possible. If we take 9.0644 eV as the unit of energy content (Õ=1), then in the first series Õ=1 with deviations of coefficient α to ±0.82 % for practically all structures. And for radical OH the value of Õ can be both 0.5 and 1. In Table 4 you can see the numerical composition of purines and pyrimidines, as well as the values of their energy contents. Out of two values of Õ for OH group one (Õ=1) corresponds to the possibility of DNA fragment formation. Another one (Õ=0.5), obtained taking into account the interactions of the most valent-active orbitals of hydrogen and oxygen atoms, apparently characterizes the possibility of structural interactions in the formations already formed that is considered in Table 4.

Despite a rather simplified approach in this model, the results obtained match the experimental data. Thus, from Table 4 it follows that ÕÀ+ÕÒ equals the sum of ÕC+ÕG, which indicates the vertical stability of DNA branches. It is known that the horizontal stability of such structure is defined, in particular, by the fact that molecules A è T are connected with two hydrogen bonds, and G and C – with three. 

 

Table 4

Numerical and energy composition of DNA fragments

 

 

õ

A

Ò

C

G

ÕÀÒ

ÕCG

C

1

3

3

2

4

 

 

N

1

3

2

2

3

 

 

CH

1

2

1

2

1

 

 

NH

1

1

-

-

1

 

 

NH2

1

1

-

1

1

 

 

CH3

1

-

1

-

-

 

 

OH

0.5

-

2

1

1

 

 

Ʃ <x>

 

10

8

7.5

10.5

18

18

 

Such correlation defines the equality of their energy contents. From Table 4 we have ÕÒ + 2 =ÕÀ (two hydrogen bonds are added), and ÕC + 3 = ÕG (three hydrogen bonds are added).

According to Chargaff’s rule [1], for DNA molecule the number of fragments A equals T and number of fragments C equals G that also corresponds to the equality principle of summed up P-parameters for all fragments of DNA molecule.  

 

General conclusion

The application of spatial-energy parameter methodology allows evaluating the possibility of conformation processes in different biosystems based on energy characteristics of free atoms.

 

References

1.        Volkenshtein M.V. Biophysics. M.: Nauka, 1988, 592 p.

2.        Korablev G.A. Spatial-Energy Principles of Complex Structures Formation, Netherlands, Brill Academic Publishers and VSP, 2005, 426p. (Monograph).

3.        Korablev G.A., Zaikov G.E. // J. of Applied Polymer Science, USA, 2006, V.101, n.3, 2101-2107.

4.        Korablev G.A., Zaikov G.E. Formation of carbon nanostructures and spatial-energy criterion of stabilization // Mechanics of composite materials and structures: RAS – IPM. – 2009. – V. 15, ¹ 1. – P. 106-118.

5.        Korablev G.A., Zaikov G.E. Bio-structural energy criteria of functional states in normal and pathological conditions // HEI news, 2012, ¹1 (2), p. 118-124.

6.        Rubin A.B. Biophysics. Book 1. Theoretical biophysics. Ì.: Vysshaya shkola, 1987, 319 p.

7.        D.T. Sviridov, R.K. Sviridova, Yu.F. Smirnov. Optical spectra of ions of transition metals in crystals. Ì.: Nauka, 1976, 256 p.

8.        Sokolov V.I., Stankevich I.V. Fullerenes – new allotropic forms of carbon: structure, electron composition and chemical properties // Success in chemistry, 1993, v.62, ¹5, p. 455-473.

9.        P.W. Anderson. In “Magnetism”, v.1, Acad. Press, 1963, p. 25.

10.    P.A. Dirac, Quantum Mechanics, London, Oxford Univ., Press, 1935.

11.    Clementi E., Raimondi D.L. Atomic Screening constants from S.C.F. Functions, 1 // J.Chem. Phys., 1963, v.38, ¹11, 2686-2689.

12.    Clementi E., Raimondi D.L. // J. Chem. Phys., 1967, V.47, ¹ 4, 1300-1307.

13.    Waber J.T., Cromer D.T. // J.Chem.  Phys, 1965, V 42,-¹ 12, 4116-4123.

14.    Blokhintsev D.I. Basics of quantum mechanics. Ì.: Vysshaya shkola, 1961, 512 p.

15.    Fischer C.F. // Atomic Data, 1972, ¹ 4, 301-399.

 

Information about the authors

1.      Grigory Andreevich Korablev, Doctor of Science in Chemistry, Professor, Head of Department of Physics at Izhevsk State Agricultural Academy.

E-mail: korablevga@mail.ru.

2.      Vladimir Ivanovich Kodolov, Doctor of Science in Chemistry, Professor, Head of Department of Chemistry and Chemical Engineering of Kalashnikov Izhevsk State Technical University.

E-mail: kodol@istu.ru.

3.      Gennady Efremovich Zaikov – Doctor of Science in Chemistry, Professor of N.M. Emmanuel Institute of Biochemical Physics, RAS.

E-mail: chembio@sky.chph.ras.ru.