Докукова Н.А., Конон Н.П., Конон П.Н.
Белорусский государственный университет
ВЛИЯНИЕ ВНЕШНЕГО НАГРУЗОЧНОГО РЕЖИМА НА СИНХРОННЫЕ ДВИЖЕНИЯ СИСТЕМЫ
АВТОНОМНЫХ ОСЦИЛЛЯТОРОВ
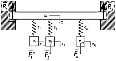
В работе исследуется динамическая система на рисунке
1, с n автономными осцилляторами,
взаимодействующими между собой посредством общей связи, каждый из которых
испытывает внешнее гармоническое воздействие одинаковой частоты и с разными начальными
фазами. Записаны уравнения движения (1), получены
точные аналитические
формулы колебательных режимов n
тел, по методике, развитой авторами в [1, 2], проведены численно-аналитические расчеты. Результаты сопоставлены с экспериментальными
данными [3].
Полученные результаты могут быть использованы для
решения различных прикладных задач механики, радиоэлектроники, электрорадиоцепей,
лазерной физики, радиолокации и радионавигации, современных систем радиосвязи,
определения координат объектов GPS, слежения за объектами на поверхности Земли
и в околоземном пространстве.

Рисунок 1 - Схема колебаний n - осцилляторов на
закрепленной балке
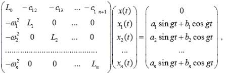
Система уравнений движения механической
системы, в матричной форме:

(1)
с начальными условиями
,
, (2)
,
. (3)
Здесь
,
−
дифференциальные операторы по параметру времени t ; cij – коэффициенты
упругих элементов cj-1, отнесенных к соответствующим массам mi-1,
,
, b – коэффициент
вязкого
сопротивления колебаниям балки;
– вектор искомых перемещений масс на рисунке
1;
– вектор виброускорений нагрузочного режима;
,
;
– гармонические силы
, являющиеся внешними и приложены к автономным осцилляторам;
и
– силы линейного трения и упругого «винклеровского»
основания в опорах балки
. Общая сила
- консервативная, сила линейного
трения в балке, неконсервативная сила вязкого сопротивления колебаниям -
.
Характеристическое уравнение примет
вид
, (4)
если парциальные
частоты всех n-линейных осцилляторов
одинаковы
. Для простоты положим b = 0 . Тогда решения многоэлементной задачи приводятся к следующим
колебательным режимам
(5)

где l1=w1,
,
. Неопределенные коэффициенты соответствующих решений
находятся по методике, развитой в [1, 2], аналитические формулы для которых
сведены в таблицу 1.
Таблица
1
|
Номер группы
коэффициентов |
Коэффициенты перемещения балки x(t) |
Коэффициенты перемещений
автономных осцилляторов xj(t), |
|
1 |
2 |
3 |
|
1 |
|
|
|
|
|
|
|
2 |
|
|
|
3 |
|
|
|
4 |
|
|
|
|
|
|
|
5 |
|
|
|
|
|
Если положить n
= 2 , с12 = с13 , a1 = a2 = b1 = b2 = b = K = 0 и выбрать в качестве
начальных условий следующие: a1 = g,
a2 = d, b1 = b2 = 0, то получаются аналитические
формулы решений, полностью совпадающие с
перемещениями в [2].
В качестве
примера рассмотрим механизм с произвольными физическими параметрами: n = 4, M = 20.0 кг, m1 = m2 = m3 =
m4 = 2.0 кг, c1=c2=c3=c4= 55.0н/м,
K = 10.0
н/м, a1 = -0.05 м, a2 = 0.07 м, a3 =
0.03 м, a4 = -0.01 м, b1 =
0.3 м/c,
b2= 0.6 м/c, b3 = 0.1 м/c, b4 = 0.9 м/c, g = 40p рад/с, w = 3.3912 рад/с, w1=5.244рад/с, l1= 5.244 рад/с, l2 = 6.2164 рад/с, l3 = 0.5965 рад/с, F1 = 23.13
н, F2=16.87н,
F3 = 15.48 н, F4 = 15.68 н, a1 = 1.2 м/с2, a2 = 8.3
м/с2, a3 = 4.2 м/с2, a4=3.1м/с2,
b1 = 11.5 м/с2, b2 = 1.5 м/с2, b3 = 6.5
м/с2, b4 = 7.2 м/с2. Перемещения и скорости элементов представлены на
графиках рисунка 2 и на основании формул (5), (6), таблицы 1 примут вид:

(7)



а) б)
Рисунок 2 -
Перемещения x(t) и xj(t) , j =
динамической системы, состоящей из 4 одинаковых осцилляторов на
упругой балке с разными начальными условиями на а и скорости v(t), vj(t) на б
На рисунке 2 очевидно
рассогласование по фазам колебаний гармонических осцилляторов и явное отличие
по амплитудам. Более синхронизированной данная система станет, если в формулах
таблицы 1 положить все начальные условия aj и bj, j=
, одинаковыми при несущественном влиянии внешних сил. Например, aj=0.05 м, bj = 0.1 м/с j =
.
(8)




На рисунках
2 и 3 можно наблюдать полное соответствие начальным условиям (2), (3) и справедливость выведенных формул,
представленных в таблице 1.


а) б)
Рисунок 3 -
Перемещения x(t) и xj(t), j =
четырех одинаковых осцилляторов динамической системы с одинаковыми
начальными условиями на а и скорости v(t), vj(t) на б
Выводы. На основе
развитой авторами методики [1, 2] решения динамических задач многоэлементных
механических систем со специальными нагрузочными режимами получены аналитические формулы колебаний произвольного
числа n линейных
осцилляторов на общей жесткой связи, сведенные в таблицу 1. Они позволяют легко
управлять свойствами синхронизируемых явлений, наперед определять и задавать
его характеристики, устанавливать зависимости между параметрами,
обеспечивающими «синфазную» однонаправленную синхронизацию, противофазную или
иные виды динамических взаимосвязей между телами. На основании
формул (5), (6), таблицы 1 и представленных расчетов можно сделать вывод о том,
что синхронными будут колебания всех элементов механической системы с
одинаковыми отклонениями и
скоростями в начальный момент времени aj = a0, bj = b0, j =
, если влияния внешних сил
являются несущественными, обладающими
высокими частотами и малыми величинами амплитуд. Это очевидно проиллюстрировано на
графиках рисунка 3, на
которых колебательные режимы xj, j
=
, практически
совпали.
Литература
1. Dokukova N. A. and
Konon P. N. General laws governing in mechanical vibratory systems// Journal of
Engineering Physics and Thermophysics, 2006, Volume 79, Number 4, Pages
824-831, Publisher Springer New York, ISSN: 1062-0125.
2. Dokukova N.A., Kaftaikina E.N. The synchronization of two linear oscillators// Materialy VII
miedzynarodowej naukowi-praktycznej konferencji. Przemysl, Polska. 7-15
listopada 2012 r. Przemysl: Nauka i studia, Vol. 18, pp. 28 – 35, 2012.
3. Пиковский A.C. Синхронизация: Фундаментальное нелинейное явление / A.C. Пиковский, М.Г. Розенблюм, Ю. Курте. - М.: Техносфера, 2003. - 494 с.