Ткачук У. В.
Чернівецький національний університет ім. Юрія Федьковича, Україна
Дослідження впливу прямих іноземних інвестицій на
ВВП, використовуючи метод найменших квадратів
Валовий внутрішній продукт (ВВП) - це вартість кінцевих товарів, вироблених усередині країни
(резидентами і нерезидентами) за певний період. Сюди входить вартість товарів матеріальної та нематеріальної сфери та вартість послуг. Обсяги виробництва кожного товару і послуг оцінюють за ринковою ціною. Сума цих цін і
становить ВВП.
Завдяки іноземні
інвестиціям країна залучає додаткові кошти, що призводить до розвитку економіки
і підвищенню добробуту населення. За умови, якщо існує дефіцит власних коштів,
економіка потребує допомоги іноземних інвесторів. Отож, вплив іноземних
інвестицій на розвитку нашої держави є досить важливим та актуальним в умовах
сьогодення.
Велика кількість вчених
вивчали вплив прямих іноземних інвестицій на економічний розвиток держави. Серед
вчених можна виділити Д. Базілевич, М. Макаренко, В.
Борщевський, С. Мошенський, А. Пешко,
А. Сухоруков та ін.
Існує чимало методів для
зображення впливу певних чинників на
ВВП. В нашому випадку, для того щоб зобразити вплив прямих іноземних
інвестицій на ВВП будемо використовувати
метод найменших квадратів. Він містить дві змінні: незалежний X (прямі інвестиції) та залежна Y (ВВП). Візьмемо статистичні дані за
останні 10 років (2006-2015 роки) та запишемо в табл.1.
Табл.1.
Статистичні дані
|
Рік |
Прямі інцестиції (млрд грн.) |
ВВП (млрд грн.) |
|
2006 |
16890,0 |
565018 |
|
2007 |
21607,3 |
751106 |
|
2008 |
29542,7 |
990819 |
|
2009 |
35616,4 |
947042 |
|
2010 |
40053,0 |
1120585 |
|
2011 |
44806,0 |
1349178 |
|
2012 |
50333,9 |
1459096 |
|
2013 |
55296,8 |
1522657 |
|
2014 |
58156,9 |
1586915 |
|
2015 |
45744,8 |
1979458 |
Для того щоб знайдена функція була
найкращою, потрібно щоб сума квадратів відхилень виміряних значень була
мінімальною. Для цього необхідно розрахувати коефіціенти регресії a та b: а – вільний
член рівняння, b – коефіціент регресії.
Після того як ми знайшли
коефіціенти регресії та склали функцію, знайдемо коефіціент кореляції. Коефіцієнт
кореляції характеризує тісноту зв’язку між отриманими експериментальними даними
і обчисленими. У випадку якщо коефіцієнт кореляції близький до 1, кажуть що
присутня сильна пряма залежність, у випадку якщо коефіцієнт близький до -1, то
кажуть що сильна обернена залежність. Якщо коефіцієнт кореляції близький до 0,
то залежності не існує або дуже слабка.
Користуючись програмним
забезпеченням Mathcad ми можемо реалізувати задачу.
Завдяки функції line(X,Y) найдемо масив
коефіцієнтів лінійної залежності. Перевіримо результат рішення за допомогою
функцій intercept(X,Y) та slope(X,Y), що визначають
коефіціенти a та b відповідно.
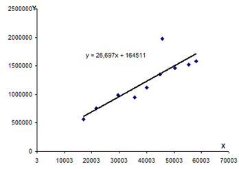
Розглянувши результат можна сказати, що рівняння регресії має вигляд F(x)=164500+26,697*x. Використовуючи
програмне забезпечення Microsoft Excel,
намалюємо графік цієї функції (рис. 1).

Рис. 1. Графік регресії
Знайдемо коефіціент кореляції, користуючись
функцією corr(X,Y). Визначивши коефіцієнт кореляції можна сказати, що зв’язок між
змінними X та Y є
сильним, так як він рівний 0,861. З цього випливає, що при збільшені (зменшені)
обсягу іноземних інвестицій збільшується (зменшується) і обсяг ВВП країни.
На основі наших розрахунків можна легко здійснити прогноз ВВП країни на
майбутнє. Підставивши значення прямих
іноземних інвестицій в 2016, знайдемо, що в цьому році рівень очікуваного ВВП становитиме:
Y=164500+26,697*44790,7=1360277,3179 млрд. Хоч цей показник і нижчий за попередній рік, але
не можна бути впевненим в його коректності, адже на рівень ВВП впливає низка
інших факторів.
Виходячи з результатів проведеного дослідження наглядно продемонстрована
значущість прямих іноземних інвестицій, які є не тільки умовою модернізації
національної економіки, а й вагомим фактором її розвитку в умовах кризи. Україна
має певні шанси щодо залучення іноземних інвесторів у найближчі роки, але у
випадку втрати цього шансу вона ще довго буде займати останні позиції в
рейтингах щодо залучення іноземних інвестицій у свою економіку.
Список використаної літератури:
1.
Статистичний
щорічник[Електронний ресурс]. - Режим
доступу:
http://www.ukrstat.gov.ua/operativ/operativ2014/zd/pik/pik_r/pik_rik_2014_r_bez.html
2.
Вікіпедія[Електронний ресурс]. - Режим
доступу: https://uk.wikipedia.org/wiki/Валовий_внутрішній_продукт
3.
Маркевич
К.Л. Вплив прямих іноземних інвестицій на економічний розвиток України //
Економіка і регіон. - 2009. - № 2. – С. 220-224.