Dokukova N.A., Kaftaikina E.N., Konon N.P.
Belarusian State
University
INVESTIGATION OF SETS SYNCHRONIZATION OF
MOVEMENTS OSCILLATOR WITH ZERO INITIAL CONDITIONS
A dynamical system
with a large number n of autonomous oscillators, interacting with one another
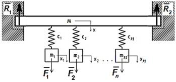
through a common connection, Figure 1. Each oscillator under external harmonic
action of the same frequency and with different initial phases.

Picture 1 - Vibrations scheme n - oscillators
to fixed beam
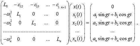
The equations of
motion of the mechanical system shown in Figure 1, the scheme in matrix form
becomes:

(1)
with following initial
conditions:
,
, (2)
,
. (3)
Here
,
− differential operators of the time parameter t;
cij – coefficients of
elastic elements cj-1,
related to the respective masses mi-1,
;
,
,
;
, b
– the coefficient of viscous resistance of the beam oscillations;
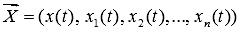
– vector of unknown mass
movements in the Picture 1;
– load vibration acceleration vector mode;
,
;
– harmonic forces
, are external, attached to an autonomous
oscillators - linear force of
friction and elastic "Winkler" base in the supports of the beam
. The total force
-
conservative, the strength of the linear friction in the beam,
the conservative force of viscous resistance oscillations -
.
The
characteristic equation takes the form
, (4)
If the partial frequency n-linear
oscillator are the same
. Just for simplicity suppose that b = 0. Then the multi-element
solutions of the problem leading to the next vibrational modes
(5)

where l1=w1,
,
. Uncertain factors are
relevant decisions by the method developed in [1, 2], analytical formulas for
which are summarized in table 1.
Phase
difference Δy =
y1 − y2 is the difference in the initial phase y1, y2
two harmonic oscillations of the same frequency y1= sin(ωt + y1), y2=sin(ωt + y2). With
Δy
= 0 fluctuations considered in phase, with Δy = π – antiphase, and with Δy = π/2 or 3π/2 − fluctuations are in quadrature.
Table 1
|
ï/ï |
beams moving coefficients x(t) |
Coefficients movements of autonomous oscillators motion coefficients xj(t), |
|
1 |
2 |
3 |
|
1 |
|
|
|
|
|
|
|
2 |
|
|
|
3 |
|
|
|
4 |
|
|
|
|
|
|
|
5 |
|
|
|
|
|
We assume
that the influence of external forces
, annexed to autonomous oscillators are essential
have an average frequencies and amplitudes. Consider
what might be at the same phase difference yj - yi between
the harmonic oscillator with the same forced frequencies g. The relevant decision can be represented as
.
(7)
To
make the difference between the phases was π, it is necessary
that one of the phases yj
, other yi
. This is possible, when,
and any values
different signs. Let
![]()
. (8)
If
, the antiphase occurs when
conditions are the same modulo the corresponding coefficients
, but always different in sign
(9)
As an example, consider a mechanical system with
arbitrary physical parameters : n = 4,
M = 25.0 êã, m1 = m2 = m3
= m4 = 2.1 êã, c1=c2=c3=c4= 74.0í/ì, K=10.0 í/ì, a1=a2=a3=a4=0.0 ì, b1=b2=b3=b4=0.0 ì/c, g=3p ðàä/ñ, w=3.4986 ðàä/ñ,
w1=5.9362 ðàä/ñ, l1=5.9362 ðàä/ñ, l2=6.8687 ðàä/ñ, l3=0.5466 ðàä/ñ, F1=24.28 í, F2=19.11 í, F3=16.25 í, F4=19.09 í, a1=1.2 ì/ñ2, a3=4.2 ì/ñ2, b1=11.5 ì/ñ2,
b3=6.5 ì/ñ2. Satisfying one of the
conditions antiphase (9), choose option 3 for oscillators with the numbers j = 2 è i = 4. Solving inequalities with respect
to the initial conditions a2,
a4, b2, b4
get a2=7.3177ì/ñ2, a4= -7.328ì/ñ2, b2= -5.41026ì/ñ2,
b4= 5.376ì/ñ2. Their substitution into
the formula (5), (6) and Table 1 leads to the following movements:
![]()
(10)
![]()
![]()
![]()
a)
b)

c) d)
Picture 2 - x(t) and xj(t) displacements, j
=
, mechanical system on a, b, c; with v(t), vj(t) as speed on
c. Solutions x2÷(t) and x4÷(t) are in antiphase on d
Both solutions x2÷(t) and x4÷(t) They are in opposition for a forced harmonic oscillations with a
frequency g=3p ðàä/ñ, t can be
clearly seen on the graph in Figure 2 c,
a, b, d.
In
order to have natural oscillations in phase with the zero difference between
the phases necessary to satisfy the condition
. (11)
This
is possible if the corresponding coefficients of like harmonics of the external
loads Fj è Fi will coincide
(12)
Here condition (12)
provides full equivalence of the solutions xj(t) and xi(t).
Consider the two-phase
synchronization of oscillatory modes of oscillators with the numbers j=1, i=2 and k=4. Select from the following factors
when external loads: a1=a2=a4=10.2
ì/ñ2, a3=8.3
ì/ñ2, b1=b2=b4= -8.5 ì/ñ2, b3=9.5ì/ñ2. There are new solutions,
which are in phase of forced oscillations can be observed in motion x1(t), x2(t), x4(t) and figure charts 3.
(13)
![]()
![]()
In Figures 2 a, b, c,
3 è 4 apparent convergence of the presented
solutions according to formulas (5), (6) and tables 1 to the initial conditions
(2), (3).
Resonances
in the system may have forced displacement, if the frequency of the external
load-g coincides with the frequency w1. We can
expect a sharp rise in amplitude at a frequency
. The increase will be proportional
to the ratio of the number M/K. Choose an
arbitrary coefficients of external loads: a1=4.3 ì/ñ2,
a2= -5.2 ì/ñ2, a3=9.4 ì/ñ2, a4= -9.2 ì/ñ2, b1= -2.0 ì/ñ2, b2=4.1 ì/ñ2, b3= -0.3ì/ñ2,
b4= -3.7 ì/ñ2 è g= 6.89 ðàä/ñ. Increasing the amplitude
over time occurs in 2-2,5 figure 4 fold compared b the original and 4. The
ratio M/K = 2,5 (1/Ãö2).

a) b)
Picture 3 - Displacements
x(t) è
xj(t), j =
, mechanical system íà a, x1(t), x2(t) è x4(t) in phase, with similar
conditions
. Velocity v(t), vj(t) on b
a)
b)
Picture 4 - Displacements
x(t) è
xj(t), j =
, mechanical system on a, for the period of time from zero to t=450 c on b
References
1. Dokukova N. A. and
Konon P. N. General laws governing in mechanical vibratory systems// Journal of
Engineering Physics and Thermophysics, 2006, Volume 79, Number 4, Pages
824-831, Publisher Springer New York, ISSN: 1062-0125.
2. Dokukova N.A., Kaftaikina E.N. The synchronization of two linear oscillators// Materialy VII
miedzynarodowej naukowi-praktycznej konferencji. Przemysl, Polska. 7-15
listopada 2012 r. Przemysl: Nauka i studia, Vol. 18, pp. 28 – 35, 2012.