Сельское хоз-во/4 Технологии хранения…
Бєлих І.А.,
Григорук М.Ю., Самойленко С.І.,
Подпорінова О.С., Ларінцева Н.В.
Національний
технічний університет
«Харківський політехнічний інститут», м. Харків, Україна
ЗМІНА ВМІСТУ ІНУЛІНУ В
БУЛЬБАХ ТОПІНАМБУРУ ПРИ ЗБЕРІГАННІ ЗА РІЗНИМИ ТЕМПЕРАТУРНИМИ РЕЖИМАМИ
Топінамбур або
земляна груша (Helianthus tuberosus L.) – одне з небагатьох природних джерел
інуліну (80 % сухої речовини), продукти з якого відіграють важливу роль в
нормалізації обмінних процесів. Тому дослідження умов зберігання топінамбура
для збереження максимальної кількості корисних речовин, є актуальною і
соціально важливою задачею для життєзабезпечення хворих з порушеннями обміну
речовин і профілактичного харчування.
Завдяки своїм лікарським
властивостям інулін застосовується у медичній практиці. Він виконує функцію
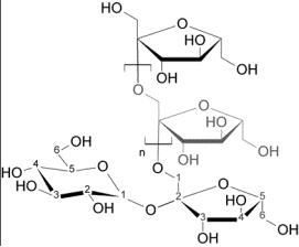
сорбенту, зв'язуючи та виводячи з організму токсичні речовини. Ця сполука (рис.
1) є пребіотиком, тобто сприяє росту корисної кишкової мікрофлори, зокрема,
лакто- і біфідобактерій [1, 2]. Фруктани,
в тому числі інулін, використовують як дієтичну добавку при порушеннях
вуглеводного обміну, а також як лікувальний засіб при дисбактеріозах, діабеті,
серцево-судинних захворюваннях. Інулін є повноцінним замінником глюкози,
позитивно впливаючи на обмін речовин. Сполука має гіпоглікемізуючий ефект,
знижуючи рівень цукру, суттєво знижує вміст холестерину та тригліцеридів в
крові хворих на діабет [3]. Інулін може застосовуватися як допоміжний засіб при
лікуванні деяких форм онкологічних захворювань. Вживання інуліну сприяє
нормалізації обміну кальцію та магнію, а також ліпідів [4]. Завдяки останній
властивості інулін використовують як дієтичну харчову добавку у раціоні хворих із
зайвою вагою.

Рисунок 1 – Хімічна формула інуліну.
В результаті
природних біохімічних і фізіологічних процесів, що протікають в бульбах
топінамбура при зберіганні, відбувається розщеплення молекули інуліну під дією
ферменту інулінгідролази до олігосахаридів. Це необхідно враховувати при
розробці ефективної технології одержання інуліну і інулінвмісних продуктів.
Крім того, вегетуючі рослини безперервно випаровують воду і цим захищають себе
від перегріву. Витрата води компенсується завдяки безперервній подачі її
кореневою системою. При зберіганні плодів і овочів це не відбувається.
Випаровування овочами і плодами води під час зберігання може надати
несприятливий вплив на перебіг процесів обміну речовин. При випаровуванні води
відбувається ослаблення тургору клітин і в'янення тканин. В'янення підсилює
процеси розпаду органічних речовин в клітинах та збільшує їх витрати на
дихання. В результаті цього стійкість плодів і овочів до ураження
мікроорганізмами помітно знижується. Під час зберігання сировина може бути
піддана мікробіологічному псуванню. Мікроорганізми, які сприяють розкладанню
продуктів, зазвичай легко виявляються, відрізняються значною пристосовуваністю
і в сприятливих умовах дуже швидко розмножуються. Так, зберігання бульб
топінамбура традиційними способами вже протягом нетривалого часу викликає не
тільки значну втрату ними корисних речовин і властивостей, а й сприяє розвитку
на їх поверхні мікроскопічних грибів [1, 2].
Метою
роботи було дослідження зміни масової частки інуліну у бульбах топінамбуру в залежності від умов
зберігання при різних температурних режимах.
Для досягнення
даної мети були поставленні наступні задачі:
·
Визначити
кількісний вміст інуліну в топінамбурі;
·
Дослідити
зміни вмісту інуліну при зберіганні топінамбуру за різних температур;
·
Дати
рекомендації, щодо способу зберігання топінамбуру з максимальним збереженням
вмісту інуліну.
Об’єкт дослідження – бульби топінамбуру
сорту «Київський білий» вирощених у Харківській області.
Предметом дослідження є швидкість
гідролізу інуліну та час зберігання при різних температурних режимах.
Вміст інуліну
визначали за допомогою метода Бертрана і виражали у відсотках на масу сухої
речовини [7].
Топінамбур перед
початком зберігання було добре вимито і висушено на повітрі. Далі бульби поділили на дві групи: одна зберігалась у
холодильнику з температурою 4±2ºС, інша у морозильній камері з
температурою
–20±2ºС. Третя експериментальна група складалась із топінамбура, який на
зберігання був залишений у ґрунті. Підчас дослідження було проведено чотири
досліди з періодичністю раз у два місяці.
Врожай збирали
наприкінці жовтня 2014 року, саме тоді були проведені перші досліди, отримані
дані були початковими для кожної з групи. Наступні досліди проводилися у грудні
2014 року, лютому і квітні 2015 року.
Одержані
результати було оброблено і представлено у вигляді діаграми (рис 2).

Рисунок 2 – Зміна
масової частки інуліну в бульбах топінамбура при зберіганні у різних
температурних режимах
Зберігання бульб
супроводжується зниженням масової
частки інуліну. До кінця терміну зберігання вміст інуліну в охолоджених бульбах
(4±2)ºС знизився на 45 %. У заморожених
бульбах, які зберігалися за температури
(–20±2)ºС, даний показник також знизився, але не так сильно. Після семи місяців
зберігання масова частка інуліну була
нижче вихідної на 30 %.
Найкращі
результати були отримані у бульб які зимували у ґрунті, масова частка інуліну
знизилася лише на 13 % .
Зниження вмісту
інуліну при зберіганні в охолодженому і замороженому вигляді відзначені також у
роботах зарубіжних вчених [5].
Автори пояснюють
це активізацією гідролітичних процесів
в бульбах, що є відповідною реакцією рослинного організму на дію низьких температур
[5, 6].
Таким чином, при зберіганні бульб
топінамбуру за різних умов (температур) частка інуліну більша у бульбах які
зимували у ґрунті, далі у морозильній камері і найменша у холодильнику.
Зберігання у холодильнику за температури (4 ± 2)ºС доцільно для нетривалого
проміжку часу. Зниження вмісту інуліну та вітамінів протікає не стрімко, за
таких умов можна зберігати протягом двох місяців. При більш тривалому терміну
зберігання бульби в’януть і на них
починає розвиватись патогенна мікрофлора.
При зберіганні за температур (–20 ± 2)°С відбувається різке зниження
поживних речовин у перші два місяці і подальше зниження відбувається дуже повільно.
Таке зберігання доцільне при необхідності зберегти бульби протягом тривалого
часу. Наприклад, при виробництві препаратів із топінамбуру необхідно
забезпечити підприємство сировиною на зимовий період.
Найкращі показники зберігалися у бульбах, які зимували у ґрунті. Оскільки у
земляної груші верхній шар не захищає клітини від процесів розпаду, при
викопуванні ці процеси активуються, а бульби залишені у ґрунті продовжують
функціонувати.
Література:
1. Kelly G. Inulin-type prebiotics-a review: part 1 // Altern. Med. Rev. – 2008. – Vol. 13, № 4. – P. 315 – 329.
2. Özer D., Akin S., Özer B. Effect of Inulin and Lactulose on
Survival of Lactobacillus Acidophilus LA-5 and Bifidobacterium Bifidum BB-02 in
Acidophilus-Bifidus Yoghurt // Food Sci. And Technol. International. – 2005. –Vol. 11, № 1. – P. 19-24.
3. Kaur N., Gupta A.K. Applications of inulin and oligofructose in health and
nutrition // J. Biosci. – 2002. – Vol. 27, № 7. – P. 703 – 714.
4. Kok N.N., Taper H.S., Delzenne N.M.
Oligofructose modulates lipid metabolism alterations induced by a fat-rich diet
in rats // J. Appl. Toxicol. – 1998. – Vol. 18, №1. – P. 47– 53.
5. Danilcenko H. / Quality of Jerusalem Artichoke (Helianthus tuberosus L.) Tubers in
Relation to Storage Conditions / H.Danilcenko, E.Jariene,
P. Aleknaviciena, M. Gajewski // Not. Bot. Hort. Agrobot. Cluj 36(2) 2008, Р.
23 –27.
6. Valluru R. / Plant fructans in stress environments:
emerging concepts and future prospects / R. Valluru, W. Van den Ende // J. Exp.
Bot. (2008) 59 (11):
Р. 2905 – 2916.
7. Борисюк В.О.
Визначення водорозчинних вуглеводнів та інуліну в коренеплодах цикорію
коренеплідного / В.О. Борисюк, К.А. Маковецький, І.І. Бойко // Цукрові буряки.
– 2011. – № 5. – С. 16 – 17.