Mathematics / 1.
Sraichuk I.R.
Kryvyi Rih National University, Taras Shevchenko
National University of Kiev
Scientific
supervisor M.O. Rashevs'kyi, Ph.D.
About the Asymptotic
Solutions of a Linear System of Integro-differential Equations
Let’s consider a system:
(1)
where x(t, e) is required
vector, n is dimensional vector, A(t, e) and K(t, s, e) – n x n are matrices, which
are represented by convergent series according to degrees of small
parameter e
>0:
. Asymptotic solutions of the Cauchy problem:
x(0, e) = x0 (2)
in the
interval t Î [0, L], L < ¥ for the system (1) it will be depending on the secular equation roots:
det(A(t, 0) - lE) = 0
(3)
A number of studies deal with the case where roots of given
equation (3) change the order in individual points – the turning points [1] or if there are other unstable
states [2] of matrix spectrum A(t,0).
In scientific publications [3] and [4] the integration method of the weak
nonlinear system with appropriate Hermite matrix A(t, 0) and with nearly diagonal
matrix A(t, e) is proposed.
In this study, the method mentioned in publication [3] is used for tasks
(1), (2) with nearly diagonal matrix A(t, e). We will require the following conditions:
1.
Matrices Ap(t) and Kp(t, s)
are indefinitely differentiable in the interval [0;L] and in the square D = {0 £ t, s £ L}; p ³ 0.
2.
Roots of secular equation (3) are
different, when t Î (0, L] and the same when t = 0.
Formal
solution of the
system (1) will be in the form:
(4)
where z(t, e) - n is dimensional vector, U(t, e) and P(t, s, e) – indeterminate n
x n –matrices.
When substituting expression (4) in equation
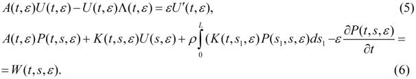
(1), after interchange of integration in iterated integral, we obtain:

Matrices U(t, e) and P(t, s, e) will be built to
keep the equations

Matrix W(t,s,e) will be mentioned later. The construction of matrices
U(t,e) and P(t,s,e) essentially depends on character of unstable states of matrix spectrum
A0(t).
Let’s analyze nearly diagonal matrix A(t,e). The condition is
as follows:
3.
A0(0) is zero matrix.
The last condition implies the existence of nonsingular T (t) where
T -1A0(t)T = diag {l1(t), l2(t), …, ln(t)}
= L(t); L(0) – zero matrix. In this case the singular system,
derived from (1), when e=0 will have solutions in the class of generalised
functions [5].
Let’s build indeterminate
matrices in the form of 
To satisfy the equation (4), matrix system
will be solved by using the method [1].
Equating the
coefficients with equivalent order of ε in equation (5), we will obtain
the infinite system of matrix integral equations


These systems are Fredholm’s systems of integral equations of the third
kind, which have the form
We will build the solution of
the last equation in the form: P(t) = Cdp(t) + Y(t),
where C – constant matrix, d p(t) – «right delta» [5], Y(t) – matrix with indiscrete elements. Substituting matrix P(t) to the system, we will
obtain the equation
If t = 0 in this equation
we obtain:
From the last equation we find 
After this
definition of C matrix we will find Y(t) from the system
which is a Fredholm’s system of the second kind with indiscrete
coefficients ( t = 0 – point of removable discontinuity). Let Y(t) is
indiscrete solution of the last equation.
Matrix C will be zero matrix,
if
On this basis, we will build Wk(t, s, e), to provide indiscrete elements of matrix Pk(t, s, e).
The indeterminate
vector z(t,e)
will be obtained from the
system
,
initial data from the equation
.
Applying equation [3] to the last
system we will prove next theorem.
Theorem. If
conditions 1.-3. are fulfilled and functions Re(li(t) - lj(t)) in the interval of asymptotic solutions don’t change
the sign, than the task (1),(2) has formal solution in the form equation (4),
moreover for some exact solution x(t, e) and received from (4) m-approximating xm(t, e) (xm(0, e) = x0)
the following equation is realized
,
where C - constant, which depends on e, q - the order of turning point.
References:
1. Wasow W. Linear Turning Point Theory. – N.Y.: Acad. Press, 1985. – 246 p.
2. Áîáîäæàíîâ
À.À., Ñàôîíîâ Â.Ô. Ìåòîä íîðìàëüíûõ ôîðì â ñèíãóëÿðíî âîçìóùåííûõ ñèñòåìàõ
èíòåãðî-äèôôåðåíöèàëüíûõ óðàâíåíèé Ôðåäãîëüìà ñ áûñòðî èçìåíÿþùèìèñÿ ÿäðàìè //
Ìàòåì. ñá., 204:7 (2013), ñ. 47–70
3. Grimm L.J., Harris W.A. Solutions of a singularly perturbed differential system with turning points // J. Fac. Sci. Univ.
Tokyo. Sec I. A.- 1989. - 36, ¹3.- P. 753-763.
4. M.O. Rashevs'kyi.
Asymptotic Integration of Weakly Nonlinear Systems with Unstable Spectrum // Nonlinear Oscillations - 2002. – 5, ¹ 4.
- P. 512-522.
5. Èìàíàëèåâ Ì.È. Îáîáùåííûå
ðåøåíèÿ èíòåãðàëüíûõ óðàâíåíèé ïåðâîãî ðîäà. - Ôðóíçå: «Èëèì», 1981. – 144 ñ.