Еспаева
А.С.
Международная
Образовательная Корпорация
Казахская головная архитектурно-строительная
академия, Казахстан
Исследование растительного белка,
как модификатора карбамидоформальдегидных смол
На сегодняшний день, современное
плитное производство является одним их высокоразвитых отраслей деревообработки.
Основой для производства практически всех видов древесноволокнистых плит
является карбамидо-формальдегидная смола. Она отличается относительной
дешевизной, но имеет ряд недостатков, основным из которых является её
токсичность, а точнее - выделение формальдегида в процессе производства, а в
последующем и из готовых плит. На многих предприятиях занимающихся
изготовлением плит показатель содержания формальдегида в воздухе превышен в
1,5-2 раза (ПДКатм = 0,06 мг/м3). Поэтому производители многих
стран: США, Италия, Япония, стремятся снизить процент использования
карбамидоформальдегидных смол, заменяя его совмещенными связующими и
полиизоцианатами [1]. В связи с возрастающей тенденцией на низкотоксичные
связующие, Европейская плитная федерация с каждым годом вводит более жесткие
стандарты на изготовление ДВП. На сегодняшний день полное исключение ФФ и КФ
смол невозможно, потому что плиты не будут соответствовать современным
требованиям жесткости и прочности, которые им придают эти смолы.
Существует ряд способов по
модификации смол различными составами натурального происхождения, которые не
только снижают выделение вредного формальдегида, но и сохраняют физико-механические
свойства плит [2]. Подобным веществом является растительный белок. На его
основе существует множество клеев, которые изготавливаются с использованием
казеина и кровяного альбумина. Белковые клеи имеют низкую водостойкость, это
обуславливается быстрым растворением солей NаОН, которые содержатся в клеях,
также они обладают слабой адгезией и имеют низкую стойкость к внешним
воздействиям [3]. Поэтому сам клей не подходит как модификатор и часто
заменяется синтетическими клеями. Но можно получить клеевой композит на основе
подсолнечного шрота и жмыха, который дешевле чем КФ клей и обладает свойствами
схожими с казеиновыми клеями.
Исследования белка, как
модификатора КФ смол, проводились в центре сертификации ТОО “Алматы – Стандарт”
и лаборатории МОК.
В качестве склеиваемого материала
была выбрана трехслойная фанера, а в качестве связующего - смола КФ-МТ-15 с
однопроцентным содержанием хлористого аммония. Исследования проводились при
температуре 22
2 0C. В
качестве модификатора КФ смолы был выбран клеевой композит, полученный путем
проваривания жмыха и шрота в водном растворе с добавление 0,3% щелочи, в
течение часа. Соотношение между экстрагирующим веществом (жмых и шрот) и
раствором щелочи должно варьироваться в пределах 1:10; 1:15 массовых частей,
это зависит от вида сырья и его разбухания [5]. Целью исследования является
установление возможности использования растительного белка, как добавки в
карбамидоформальдегидные смолы, который будет способствовать улучшению физико -
механических свойств плит и снижению токсичности. Но в ходе исследований
выяснилось, что сама по себе вводимая добавка не обеспечивает надежной блокады
свободного формальдегида. Поэтому было решено провести модификацию добавки
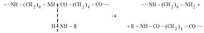
путем химической реакции переамидирования – реакцией межцепного обмена [4]. В
подобных реакциях используются кислоты и амины. Под действием амина происходит
аминолиз, что приводит к уменьшению молекулярной массы полиамидов и образованию
дополнительных концевых групп NН2
(см. рис. 1).

Рис. 1. Реакция переамидирования с
использованием амина.
Полученная реакция является аналогией данной, только в
качестве модифицируемого вещества выступает мочевина белка, входящая в состав
добавки. Реакция выглядит следующим
образом (см. рис. 2).

Рис. 2. Реакция переамидирования с использованием мочевины белка.
Так
как после реакции переамидирования в растворе появляются концевые молекулы NН2
, то формальдегид свободно входит в контакт с модифицированной добавкой
аналогично аминам [4]. После чего, N-замещенные концевые молекулы, начинают
терять воду и образуют так называемое «Основание Шиффа», это конечная стадия
реакции переамидирования (см. рис. 3).

Рис. 3. Реакция переамидирования с использованием мочевины белка.
Через некоторое время наблюдается
снижение вязкости из-за деструкции молекул белка, затем, после выдержки 3-4
часов, вязкость увеличивается благодаря реакции полимеризации белковых молекул
(см. рис. 4).

Рис . 4. График изменения
вязкости белковой модифицированной добавки во времени.
Проведя реакцию переамидирования,
можно с уверенностью сказать, что данный белковый композит с мочевиной в
качестве модификатора, является качественным, а главное недорогим методом по
снижению токсичности Кф смол. Данная добавка не влияет негативно на процесс
отверждения КФ смолы, а также на его жизнеспособность, что является
положительным результатом, так как мочевина в чистом виде снижает
жизнеспособность КФ смолы в 2 раза. После проверки образца в климатической
камере, на 25-е сутки, количество формальдегида снизилось с 0,0660 до 0,0088
мг/м3. Прочность после введения добавки в смолу КФ-МЕ-15, стала
немного выше, что объясняется модифицированным строением молекул, а также
опытами, проведенными, на оборудовании ТОО “Алматы – Стандарт”. Также было
выяснено, что наиболее эффективное количество вводимой белковой добавки 7% от
общей массы связующего.
Вывод.
Проблема снижения токсичности -
одна из главных в плитном производстве, поэтому отыскание новых способов и
методов является актуальным. Стремление изобрести клеящие материалы и добавки
на натуральной основе, которые в будущем позволят полностью отказаться от
токсичных клеев и смол, поможет решить многие проблемы, связанные с экологией.
Литература:
1.Кондратьев В. П., Кондращенко В. И. Синтетические клеи для древесных
материалов. − М.: Научный мир, 2004. − 520 с.
2.Брутян
К. Г., Варанкина Г. С., Глебов М. П. Новые наполнители для синтетических
смол, применяемых в деревообработке. Деп. в ВИНИТИ. − М.:
№ 369-В2005. − 30 с.
3.Кондратьев,
В. П. Новые виды экологически чистых синтетических смол для
деревообработки // Деревообрабатывающая промышленность. − 2002.
− № 4. -с. 10−12.
4.Пижурин
A.A. Основы научных исследований в деревообработке: учебник для вузов Текст.
A.A. Пижурин М.:ГОУ ВПО МГУЛ, 2005. - 305с.
5. Преч Э., Бюльман Ф., Аффольтер
К. Определение строения органических соединений Текст. / Э.Преч, Ф.Бюльман,
К.Аффольтер М.: Мир, 2006. -438с.