Моделювання кредитних ресурсів
комерційного банку
В умовах формування ринкового середовища, спаду промислового та
сільськогосподарського виробництва велика увага в організаційній та структурній
перебудові економіки приділяється комерційним банкам та банківській системі в
цілому.
Перебіг процесів поглиблення ринкової економіки в Україні супроводжує
стрімкий процес трансформації вітчизняної фінансово-кредитної системи, основою якої є банківська
система. Умови ведення банківського бізнесу ускладнюються незавершеністю
процесу ринкової трансформації
банківського сектора та недостатнім досвідом комерційної
діяльності банків. Все це призводить
до зростання ваги помилкових управлінських рішень.
Визначення вартості ресурсів – важлива проблема для будь-якої організації. Важливим фактором розвитку комерційних банків в сучасних українських
умовах стало нарощування ресурсної бази. Цей процес відбувається за рахунок збільшення власного капіталу та позичкових
ресурсів юридичних та фізичних осіб.
Оскільки головною метою діяльності комерційного банку є отримання прибутку, основним джерелом отримання доходу – відсотки за надані кредити, а основною
статтею витрат – процентні витрати, формування кредитної
відсоткової політики виходить з вартості залучених джерел. Однак особливість
роботи комерційних банків полягає в тому, що вони через свою специфічність
підпадають під додаткове регулювання, причини якого є суттєвими, хоча і
суперечливими.
Перед підприємствами і фізичними
особами при виборі банку для отримання кредиту або здійснення вкладень постає
проблема щодо вкладення грошей під великий процент із нарахуванням відсотків у
кінці терміну (використовується формула простих відсотків) або вкладення грошей
під менший процент, але із щомісячним нарахуванням відсотків і їх
капіталізацією.
Вигідність умов вкладу залежить
від загальної політики банку, а величина процента може змінюватись упродовж
року. Оптимальними є умови, коли банк пропонує досить великий процент,
можливість поповнення вкладів і часткове зняття з нього коштів, щомісячне
нарахування відсотків та їх капіталізацію. Низка надійних банків пропонують
саме такі умови.
Формування моделі оцінки
вартості залучених джерел
комерційним банком шляхом визначення складних відсотків встановлює зв’язок між
початковою сумою вкладу в банк, відсотків за вкладом у розрахунку на певний
період і сумарною виплатою після закінчення декількох періодів з урахуванням
капіталізації доходу. Дохід, нарахований у кінці періоду, і повний розмір
вкладу з урахуванням капіталізації в кінці цього періоду, тобто на початку
періоду (k +1), можна визначити за формулою (1):

де P – фіксований відсоток за вкладами за один період;
C1 – розмір внеску на початок
першого періоду;
Ck – розмір внеску на початку k-го
– періоду з урахуванням капіталізації;
Dk – дохід, нарахований на k-тий
період.
Банк, що кредитує, розраховує не
лише на повернення своїх коштів назад у призначений термін, а й на отримання
певного доходу або на збереження вкладених коштів в умовах інфляції. Поведінка
економічних агентів в умовах інфляції може бути описана двома різними концепціями:
адаптивних очікувань (економічні агенти прилаштовуються до нового, сформованого
рівня інфляції і реагують на нього із запізненням); раціональних очікувань
(економічні агенти прогнозують рівень інфляції і враховують її завчасно у
фінансово-господарської діяльності).
Як відомо, залежність між
номінальною ринковою ставкою відсотка k, темпом інфляції x і реальною ставкою
відсотка r відображається добутком
відповідних індексів:
![]()
Якщо величини r і x невеликі,
можна скористатися формулою (3), похибка якої істотнішa, що більша величина rx:
![]()
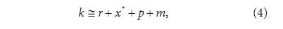
У розрахунках застосована
наближена формула, в якій використовується адитивний спосіб урахування ризиків
(різні ризики враховуються шляхом їх складання):
![]()
де r – реальна ставка або премія за відмову від споживання;
x*– величина очікуваної інфляції;
p – надбавка за ризик непогашення
зобов’язання;
m – надбавка за процентний ризик
(за неочікувану інфляцію).
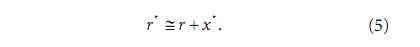
Так, величина вільної від ризику
ставки відсотка r* буде такою (5):
![]()
Управління ставкою відсотка
полягає в тому, щоб, з одного боку, правильно оцінити параметри r, x*, p та
включити їх у розмір загальної ринкової ставки відсотка k, а з іншого –
узгодити отриману величину з вимогами попиту і пропозиції на ринку грошей. Неправильне
оцінювання цих параметрів призводить до втрат доходу, які можуть виникнути як у
кредитора, так і в позичальника. При цьому одна зі сторін завжди отримує додатковий
дохід, що дорівнює недоотриманому доходу партнера – учасника цієї операції.
Виступаючи посередником між
депозиторами й інвесторами (позичальниками), банк фактично здійснює неявний перерозподіл
доходів між ними.
Отже, банк – фінансово-кредитна
установа, яка залучає та накопичує вільні грошові засоби підприємств усіх форм
власності, населення (пасивні операції); здійснює емісію грошей, випуск цінних
паперів, кредитування, надає різного роду позики на умовах платності,
поворотності та терміновості (активні операції). З одного боку, банк – це комерційне
підприємство, орієнтоване на одержання прибутку, з іншого – це кредитний
інститут і вагомий елемент фінансової інфраструктури. Від ефективної діяльності
банків істотно залежить успішний розвиток реального сектору економіки. Взаємодія
між банками і підприємствами розкривається через економічні відносини, що
протікають на різних рівнях господарювання. На банки як посередників у
перерозподілі кредитних ресурсів покладено відповідальність якісного управління
діяльністю, нарощування обсягів кредитних вкладень і депозитних операцій.
Під час побудови моделі
оцінки вартості залучених джерел комерційним банком потрібно
враховувати такі основні фактори: необхідність резервування; страхування
депозитів; можливість залучення дешевших джерел фінансування на
потреби резервування; наявність податкового захисту.
Список використаної літератури:
1.
Бурлачков В.
Теоретические основы денежно-кредитной политики та мировой финансовый кризис
// Экономика Украины. – 2009. – № 2. – С. 49–59.
2.
Головнин М.
Влияние финансовой глобализации на денежно-кредитную политику: теоретические
аспекты и реакция на финансовые кризисы // Экономика Украины. – 2009. – № 2. –
С. 67–78.
3.
Дзюблюк О.
Денежно-кредитная политика в период кризисных явлений на мировых финансовых
рынках // Вестник НБУ. – 2011. – № 5. – С. 20–32.
4.
Джеймс Т.
Денежная политика и экономический рост / Пер. с англ. В. Маневича. – М.:
Либрокон, 2010. – 272 с.
5.
Конюховский П.В.
Микроэкономическое моделирование банковской деятельности. – СПб.: Питер, 2012. – 224 с.