Математика/4.Прикладная
математика
Рыщанова С.М.
Костанайский государственный университет
им. А. Байтурсынова, Казахстан
Применение операционного исчисления
в электротехнике
Операционное
исчисление чрезвычайно удобно в электротехнике для расчёта динамических режимов
различных цепей. Алгоритм расчёта следующий.
1) Все элементы цепи
рассматриваем как сопротивления Zi, величины которых находим исходя из
изображений переходных функций соответствующих элементов.
Например, для резистора:
![]()
Для индуктивности:
![]()
Для ёмкости:
![]()
2) Используя указанные
значения сопротивлений, находим изображения токов в цепи, используя стандартные
методы расчёта цепей, применяемые в электротехнике.
3) Имея изображения токов
в цепи, находим оригиналы, которые и являются решением дифференциальных
уравнений, описывающих цепь.
Решим следующую
задачу.
На рисунке изображена коммутируемая
RL-цепочка. В некоторый момент времени t=0 ключ К замыкается. Определить
зависимость тока в RL-цепочке от времени.

Согласно второму закону
Кирхгофа, схема описывается следующим дифференциальным уравнением:
![]()
где первый член
описывает падение напряжения на резисторе R, а второй - на индуктивности L.
Делаем замену переменной
и приводим уравнение к виду:
![]()
Поскольку один из
сомножителей a, b можно выбрать произвольно, выберем b так, чтобы выражение в
скобках было равно нулю:
Разделяем переменные:
![]()
С учётом выбранного
значения b дифференциальное уравнение приводится к виду

Интегрируя, получаем

Получаем выражение для
тока

Значение постоянной
интегрирования находим из условия, что в момент t=0 тока в цепи не было:
![]()
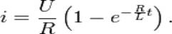
Окончательно получаем
![]()
Решение задачи с использованием метода операционного
исчисления
Найдём изображения
каждого из слагаемых дифференциального уравнения:

Получаем следующее
изображение дифференциального уравнения
![]()
Из последнего выражения
найдём изображение тока:

Таким образом, решение
сводится к нахождению оригинала тока по известному изображению. Разложим правую
часть уравнения на элементарные дроби:

![]()
![]()

Найдём оригиналы
элементов последнего выражения:

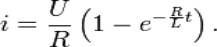
Окончательно получаем
![]()
Литература:
1.Старков В.Н.
Операционное исчисление и его применение. Учебн. пособ.-СПб, 2000.