ИЗВЛЕЧЕНИЕ МЕДИ ИЗ ЗАГРЯЗНЕННЫХ ВОД ЭЙХОРНИЕЙ
ПРИ ВОЗДЕЙСТВИИ ВНЕШНИХ ФИЗИЧЕСКИХ ПОЛЕЙ
Д.х.н., проф. Ольшанская Л.Н., д.т.н., доц. Собгайда Н.А.,
аспирант Валиев Р.Ш.
Энгельсский технологический институт
(филиал)
ФГБОУ ВПО «Саратовский государственный технический
университет
имени Гагарина Ю.А.»
Россия, 413100,
г. Энгельс Саратовской обл., пл. Свободы 17
Тел/факс (8453) 55-80-84 (95-35-53), е-mail: ecos123@mail.ru
Очистка сточных вод (СВ)
от тяжелых металлов, органических загрязнений с помощью высших водных растений
(фиторемедиация) находит все более широкое применение. Процесс протекает в
естественных условиях без применения дополнительных реагентов и оборудования, в
окружающей среде не накапливаются побочные продукты, и возможно создание
малоотходных безреагентных технологий извлечения тяжелых металлов (ТМ) из СВ.
Основными недостатками метода являются сезонность и невысокая эффективность
очистки. Для повышения эффективности проводят стимуляцию процессов внешними физическими
полями, например, магнитным полем (МП) различной напряженности и направления
[1-3]. Интересным является изучение влияния и других физических факторов, а
именно высокочастотных электромагнитных излучений (ЭМИ): УФ -, ИК - и лазерного
(ЛИ), на процессы фиторемедиации. Этой проблеме и посвящена настоящая работа.
Известно, что энергия внешних
физических полей по-разному воздействует на биообъекты. Это воздействие зависит
от характеристик поля: длины волны, частоты колебаний ЭМИ, мощности и времени воздействия,
и также может оказывать как стимулирующее, так и тормозящее влияние.
В качестве источника
УФ-излучения использовали бактерицидную лампу, с постоянной величиной
коротковолнового УФ - С излучения (λ = 257 нм). Для ИК-облучения применяли
искусственный источник теплового излучения - «инфракрасный излучатель» (лампа «Минина» с
λ=780-1400 нм). Раствор с эйхорнией располагался на выбранном расстоянии 1
м от источника ИК-облучения. В качестве источника ЛИ использовали газовый
гелий-неоновый лазер (He-Ne) мощностью 2 мВТ, в видимом красном диапазоне с
длиной волны λ= 632,8 нм.
Исследования проведены на
модельных растворах, содержащих необходимые для растения питательные вещества,
в которые добавляли сульфат меди с концентрацией 5 мг/л Cu2+.
Исследовали процессы накопления и извлечения катионов меди из раствора объемом
один литр. В емкости помещали ВВР эйхорнию одинаковой массы (20 г) и сроков
вызревания. На растение действовали: УФ - излучением в течение 1, 5 и 120 ч.;
ИК – излучением 1, 5 и 120 ч.; ЛИ – излучением 3, 5 и 10 мин.
Анализ воды на остаточное
содержание ионов тяжелых металлов (ИТМ) в растворах проводили с использованием
фотоэлектроколориметрического метода (прибор КФК 3-01) по ГОСТ 4388-72
«Питьевая вода. Методы определения массовой концентрации меди».
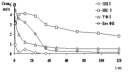
Полученные данные по влиянию УФ -
облучения подтвердили возможность возникновения стрессового состояния у
растения при длительном воздействии коротковолнового излучения, которое
обладает высокой энергией и способностью повреждать биомолекулы посредством
изменения или разрыва химических связей в них. Исследование длительности
облучения показало, что наиболее благоприятно воздействие УФ - излучения в
течение одного часа. При этом проявлялся стимулирующий эффект для эйхорнии, и процесс
извлечения меди растением из раствора протекал с достаточно высокой скоростью и
эффективностью. При воздействии УФ в течение более длительного времени
положительный эффект снижался, а после 3 суток наблюдался цитоплазмолиз
эйхорнии, поверхностные ткани листьев приобретали
темно-коричневую окраску и далее наступал некроз - растение погибало. Процесс
извлечения меди прекращался. То есть при длительном воздействии УФ белки
перестают выполнять свои функции, а нуклеиновые кислоты подвергаются мутациям,
вследствие чего достигается гибель клеток, а в последующем и растения.
Полученные результаты по влиянию
ИК-излучения позволили установить, что процессы фиторемедиации меди отличаются
от процессов, протекающих без физического воздействия (ФВ). В течение первого
часа извлечение меди эйхорнией под действием ИК происходило быстрее на ~ 25%.
Вероятнее всего это в соответствии с правилом Вант-Гоффа связано с ускорением протекания химических и биоэлектрохимических
процессов в клетках растений, что отражается на их росте, развитии и
размножении при тепловом воздействии ИК-облучения.
Полученные нами данные по
влиянию ЛИ показали, что предварительная обработка эйхорнии лазером оказывает
сильное стимулирующее действие на процессы извлечения ионов меди растением.
Известно, что низкоинтенсивное ЛИ стимулирует метаболическую активность клетки.
В основе процессов лежат фотофизические и фотохимические реакции, возникающие в
организме при воздействии света ЛИ [4]. Было установлено, что для получения
положительного эффекта на процессы очистки ионов меди эйхорнией достаточно
воздействия ЛИ в течение 1-3 мин. При сравнении влияния всех изученных ЭМИ
(рис.1) было установлено, что наибольший положительный эффект наблюдался при
воздействии лазерного излучения.

Рис. 1. Сравнительные данные по извлечению ионов меди
эйхорнией без ВФВ и при воздействии различных ЭМИ
Воздействие УФ целесообразно
при проведении процессов фиторемедиации в течение не более суток. ИК–излучение
ускоряет извлечение меди растительной клеткой лишь в первые часы воздействия, а
затем процесс фиторемедиации замедлялся.
Полученные результаты по
эффективности очистки стоков от меди при воздействии различных ВФВ (рис. 2)
показали, что после обработки эйхорнии лазером достигаются наиболее высокие
параметры процесса.

Рис. 2.
Эффективность очистки сточных вод от ионов меди эйхорнией без ВФВ и при
воздействии ЭМИ
Воздействие на биообъект
любого внешнего физического фактора вызывает, в первую очередь, изменение
электрического статуса биомолекул и клеток в области воздействия за счёт
пироэлектрического, фотоэлектрического, пъезоэлектрического эффектов и
реструктурирования домен поляризации. В этом случае ускоряется подвод
положительно заряженных катионов меди к отрицательно заряженной поверхности
клеточной мембраны и усиливается их проникновение вглубь клетки [4]. Основное
правило при физических воздействиях: «Все в меру».
ВЫВОД
Установлено, что воздействие УФ и ИК способствует при выбранных
условиях более быстрой, полной и глубокой очистке стоков от ИТМ в сравнении с
процессами без физического воздействия. Это связано со стимулирующим действием
физических факторов на растительные клетки и ткани, изменением потенциала
клеточных мембран, увеличением их проницаемости и, как следствие, ускорением и
полнотой поглощения катионов.
Показано, что обработка эйхорнии лазером усиливает
метаболическую активность растительных клеток, приводит к увеличению
отрицательного потенциала на границе клетка/раствор и на клеточных мембранах за
счет фотофизических и фотохимических реакций, раскрытию белковых каналов и
увеличению транспорта катионов металлов через мембрану внутрь клетки. Это
оказывает ускоряющее действие на процессы сорбции меди. Эффективность очистки
при использовании ЛИ достигает 90-98%.
ЛИТЕРАТУРА
1. Ольшанская Л.Н.,
Собгайда Н.А., Тарушкина Ю.А., Влияние магнитного поля на процессы извлечения
тяжелых металлов из сточных вод ряской // Химическое и нефтегазовое
машиностроение.- 2008, № 8. - С.41-44.
2. Ольшанская Л.Н.,
Собгайда Н.А., Стоянов А.В., Александрова Е.А. Влияние силы и направления
магнитного поля на процесс биоэлектрохимической сорбции ионов тяжелых металлов
ряской // Татищевские чтения: Актуальные проблемы науки и практики: материалы
V1 Междунар. научно-практической конф., г. Тольятти 16-19 апр. 2009 г.-
Тольятти: Волжский ун-т им. В.Н.Татищева (ВУиТ), 2009. С.66-68.
3. Собгайда Н.А.,
Ольшанская Л.Н., Стоянов А.В. Влияние геомагнитного, магнитного и
электрического полей на процесс фиторемедиации // Экологические проблемы
промышленных городов: материалы Всероссийской конференции Саратов 4-6 апреля
2009 г. В 2-х частях. Часть 1.-Саратов: СГТУ, 2009.-С. 62-65.
4. Стоянов А.В., Собгайда
Н.А., Ольшанская Л.Н. Влияние лазерного из лучения на процессы фиторемедиации
меди из сточных вод эйхорнией // Химическое и нефтегазовое машиностроение.-
2010, № 6.-С. 38-41.