UDC
614.2:618.1:612.663-055.2
Turganova M.K., Minaidarov A.K., Doszhanova G.N., Dubitskiy A.A.
Astana Medical
University, Kazakhstan
Abstract: The article deals with
analysis of incidence of mental disorders in men and women of reproductive age
from 18 to 59 years old covering 2010 – 2013 years. High prevalence and more
frequent registration of disease are defined in men than in women. In general
the reduction in the burden of disease is taking place by year.
Key words: reproductive age,
mental disorders, behavioral disorders, incidence of mental disorders, mental health
of population, risk factors of mental disorders progression.
Relevance: Mental health care of
population is essential for the sustainable development of any society.
Mental
health and mental wellbeing are important components of high quality of life
enabling people to experience their lives productively and meaningfully.
Unimpaired mental health is an important factor that provides social
solidarity, working efficiency, public peace and consistency of life
environment [1]. For example, depressive disorder is a
serious mental disorder and causes loss of labour capacity for years in the
whole world [2]. Depressive disorder promotes development and progression of
systemic and organs diseases [3-6]. For instance mental disorder scales up
the risk of coronary heart disease by 1.7 times in comparison with
non-depressed mood [7], also patients have 37% of risk of type 2 diabetes
progression [8].
Materials and methods
We
studied and analyzed secondary sources of information on the incidence of the
population between 18 and 59 years old in the dynamics from 2010 to 2013 for
the purpose of investigating the prevalence of mental and behavioral disorders
in men and women of reproductive age of Astana. Qualitative and quantative
methods are used: analytical, content analysis, statistical, comparison, and
rating.
Results
We
studied the level and characteristics of psychiatric morbidity of the
population aged 18 to 59 years old living in Astana, by analyzing the data of
the state statistical report form ¹ 12 "Report
on the morbidity registered in patients residing in the medical organization
service area and in patients under dispensary observation" for 4 years
(from 2010 - to 2013). Sampling and compilation of data are conducted according
to the class of disease – mental and behavioral disorders; mental and
behavioral disorders due to psychoactive substance use including drinking of
alcohol. This class of diseases corresponds to the following codes in the 10th
revision of the ICD - F00-F09, F20-F99, F10-F19, F10.
Comparative
analysis of morbidity of the population from 18 years old and older in Astana
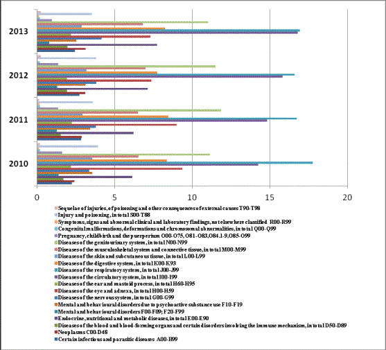
is conducted (figure 1).

Figure
1 – Morbidity of the population (from 18 years old and older) in Astana
covering 2010 – 2013 years.
Figure
1 presents basic 20 classes of diseases. Analyzing extensive indicators in the
structure of population morbidity from 18 - 59 years old over a period of 4
years diseases of the respiratory system consistently occupy more than 16%, the
second place is taken by diseases of the circulatory system (more than 14%),
then diseases of the genitourinary system follow (more than 11%). Mental and
behavioral disorders remain on the relatively the same level, range from 1.4% in 2010 to 0.79 in 2013 and take the 10th
place. Mental and behavioral disorders due to psychoactive substance use take
the 9th place sharing it with diseases of the skin and subcutaneous
tissue.
Primary disease
incidence of mental and behavioral disorders of population of reproductive age
in Astana covering 2010 – 2013.
Primary disease incidence of mental and behavioral disorders of
population of reproductive age in Astana covering 2010 – 2013 shows some
special aspects. Thus, the level of primary disease incidence in Astana in
whole comprises 490.96 per 100 thousand population
of corresponding age [9]. The level decreased to 367.71
in 2013 (figure 2).

Figure
2 – Dynamics of the primary disease
incidence of mental and behavioral disorders of population aged from 18 to 59
years old in Astana covering 2010 – 2013.
Overall disease incidence of mental and behavioral disorders of
population of reproductive age in Astana covering 2010 – 2013.
Extensive analysis of
indicators of all registered cases of mental and behavioral disorders of the
population of reproductive age in Astana for the period of 2010 - 2013 years
shows some of special aspects.
During the reporting period the decrease of registered diseases by class mental
and behavioral disorders in the general structure of all registered diseases
from 4.95 in 2010 to 3.32 in 2013 is evident. With that the same trend is
observed for registered diseases diagnosed for the first time as well as
patients under dispensary observation (table 1).
Table 1 – Extensive indicators by class mental
and behavioral disorders
|
Years |
Registered diseases in
the reporting year |
Patients under
dispensary observation at the end of the reporting year |
|
|
Total |
among them with the
diagnosis determined for the first time |
Total |
|
|
Total |
|||
|
2010 |
4,95 |
0,99 |
24,38 |
|
2011 |
4,71 |
0,87 |
22,23 |
|
2012 |
4,44 |
0,80 |
14,97 |
|
2013 |
3,32 |
0,79 |
14,24 |
It
should be mentioned that proportion of mental and behavioral disorders due to
use of alcohol in the group of mental and behavioral disorders due to
psychoactive substance use is on the same level on all registered diseases and
mean value comprises 77.32. It follows that cacoethes is a risk factor for
mental and behavioral disorders progression. Considering this figure in the
dynamics of data, we can note a slight tendency to decrease.

Figure 3 – The proportion of mental and behavioral disorders
due to use of alcohol in the group of mental and behavioral disorders due to
psychoactive substance use in Astana for the period of 2010 – 2013.
Extensive indicators according to sex are quite interesting.
Generally high rates and more frequent registration of disease are determined
in men than in women among all registered incidence in this class of diseases.
And this situation characterizes all considered years. Similar consistently
high rates among men are noted among patients under dispensary observation.

Figure 4 - Comparative data of mental and behavioral
disorders according to sex in Astana for the period of 2010 – 2013.
Comparative
analysis of primary disease incidence has
shown that men are also characterized by high rates with the exception of mental
and behavioral disorders. Women have higher rates in this group of diseases for
the last 3 years of considered period (2011 – 2013).
Table 2 - Extensive indicators of the class of mental and
behavioral disorders
|
Year |
2010 |
2011 |
2012 |
2013 |
||||
|
Sex |
Men |
Women |
Men |
Women |
Men |
Women |
Men |
Women |
|
Mental and behavioral
disorders |
51,72 |
48,27 |
43,44 |
56,55 |
46,82 |
53,18 |
44,67 |
55,33 |
|
Mental and behavioral
disorders due to psychoactive substance use |
88,00 |
12,00 |
92,12 |
7,88 |
85,36 |
14,63 |
86,08 |
13,92 |
|
Mental and behavioral
disorders due to use of alcohol |
83,98 |
16,01 |
89,87 |
10,12 |
83,05 |
16,94 |
82,49 |
17,50 |
Therefore, we have obtained the following results on the base of the researched
data:
1) There is a
high incidence of diseases of the respiratory system in the population of
reproductive age – more than 16%.
2) According
to the morbidity rate mental and behavioral disorders are in the first 10
classes of diseases among 20 considered classes.
3) Decrease
of primary disease incidence of mental and
behavioral disorders in the population of reproductive age in Astana for the
considered period (2010 – 2013) is determined by “indirect” method of trend
building.
4) Consistently
high rates are determined in men than in women when comparing received data
according to the sex character.
5) The prevalence of mental and behavioral disorders due to use of
alcohol is great in the group of mental and behavioral disorders due to all
psychoactive substance use.
6) Mental and behavioral disorders in men are mainly due to the use
of psychoactive substances and alcohol.
7) Modern and current trends of a healthy lifestyle should be
introduced actively and everywhere: principle of self-protective behavior,
creation of the image of a healthy lifestyle among the population.
8) It is necessary to detect psychoactive substances addiction
early, which is the risk factor of mental disorders progression. The emphasis
should be laid especially on male population. Proper diagnosis and correction
will significantly improve the mental state of the population of reproductive
age.
References
1. Mental
health action plan for Europe: facing the challenges, building solutions/WHO
European Ministerial Conference on Mental health – Helsinki, Finland, 12-15
January 2005.
2. WHO . World Health
Organization - The Global Burden of Disease - 2004 Update. Geneva, Switzerland:
WHO Library; 2004. p. 2008.
3. Murray CJ, Lopez AD.
Global mortality, disability, and the contribution of risk factors: global
burden of disease study. Lancet. 1997;349:1436–1442. [PubMed]
4. Musselman DL, Evans
DL, Nemeroff CB. The relationship of depression to cardiovascular disease:
epidemiology, biology, and treatment. Arch Gen Psychiatry. 1998;55:580–592. [PubMed]
5. Michelson D, Stratakis
C, Hill L, Reynolds J, Galliven E, Chrousos G, Gold P. Bone mineral density in
women with depression. N Engl J Med. 1996;335:1176–1181. [PubMed]
6. Schulz R, Beach SR,
Ives DG, Martire LM, Ariyo AA, Kop WJ. Association between depression and
mortality in older adults: the cardiovascular health study. Arch Intern Med.
2000;160:1761–1768. [PubMed]
7. Ferketich AK,
Schwartzbaum JA, Frid DJ, Moeschberger ML. Depression as an antecedent to heart
disease among women and men in the NHANES I study. National health and
nutrition examination survey. Arch Intern Med. 2000;160:1261–1268. [PubMed]
8. Knol MJ, Twisk JW, Beekman AT, Heine RJ, Snoek FJ,
Pouwer F. Depression as a risk factor for the onset of type 2 diabetes
mellitus. A meta-analysis. Diabetologia. 2006;49:837–845. [PubMed]
9. Reporting data of
Agency of the Republic of Kazakhstan on Statistics “Population of the Republic
of Kazakhstan by sex and certain age groups at the beginning of the year” 2010
– 2013 (May).