Ìàòåìàòèêà/5. Ìàòåìàòè÷åñêîå ìîäåëèðîâàíèå
Baimankulov A.
Kostanay State
University named after A.Baitursynov,
Kazakhstan.
Identification of the
diffusion coefficient
Problem is studied in
the field of
, (1)
,
(2)
(3)
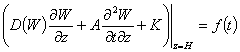
, (4)
where
. (5)
Moisture is given on soil surface to
determine the
. (6)
We show
that the diffusion coefficient
can be determined in an iterative manner..
Let
and
be two successive
approximations coefficient
. Corresponding
solution of problem (1) - (5) is denoted by
and
.Then for the
difference
we obtain the problem:
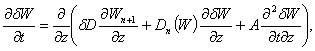
(7)
. (8)
. (9)
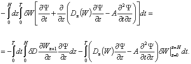
Multiplying
(7) by
integrating over all points of
the domain
and assuming that,
,
we obtain

Performing
a transformation on the right side and in view of our assumptions, we have
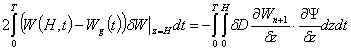
(10)
Assuming that
,
we obtain the
formula from (10)
. (11)
By setting
following approximation
, determining the
condition of monotonicity of the functional

can be expressed by
,
where
![]()
Using formula (11) we
deduce that

Movement of
select by the formula
.
where
- sufficiently
small number.
function
, determined from
the solution of the adjoint problem
, (12)
, (13)
![]()
References
1.Íåðïèí Ñ.Â., Þçåôîâè÷ Ã.È. Î ðàñ÷åòå
íåñòàöèîíàðíîãî äâèæåíèÿ âëàãè â ïî÷âå// Äîêëàäû ÂÀÑÕÍÈË, ¹ 6, 1966.
2.Þçåôîâè÷ Ã.È., ßíãàðáåð Â.À.
Èññëåäîâàíèå íåëèíåéíîãî óðàâíåíèÿ âëàãîïåðåíîñà. // Ë.: Êîëîñ. Ñá. òðóäîâ ïî
àãðîôèçèêå, âûï. ¹ 14, 1967.
3.Áàéìàíêóëîâ À.Ò. Îïðåäåëåíèå
êîýôôèöèåíòà êàïèëëÿðíîé äèôôóçèè.// Ìàòåðèàëè çà VIII ìåæäóíàðîäíà íàó÷íà ïðàêòè÷íà êîíôåðåíöèÿ «Áúäåùåòî
âúïðîñè îò ñâåòà íà íàóêàòà -2012», ò.36, 17-25 äåêåìâðè, 2012, Ñîôèÿ.