Педагогические науки/5. Современные методы преподавания
Жумажанова И.А.
Магистрант,М. Өтемісов атындағы БКМУ, Казахстан
Белсенді
оқыту әдісінің бірі - «Ақыл – ой жобасы»
Әр
оқытушының алдында студенттердің барлығын
сабаққа араластыру проблемасы туындайды. Осы тұрғыда
«сабақты қалай жандандыру, пәнге деген
қызығушылықты қалай сақтап қалу керек»
деген сұрақтар туындайды. Мұндай проблемалар біздерді
әлі күнге дейін мазалайды.
Егер студенттер
сабақ үстінде белсенді болмаса, математика сабағын
оқытуда жетістіктерге жету қиынға соғады.
Нәтижесінде, олар пәнге деген ынта, ниеттерін жоғалтады.
Бұл білім сапасының төмендеуіне әкеліп соғады.
Студенттерге
қалайша көмектесе аламыз? Теориялық материалдың
қабылдануын және оның тереңірек, дәлірек, тезірек
есте сақталуын жеңілдету жолдары қандай? Қалай оларды
қысылшаң ойлауға, талдау жасауға, салыстыра білуге
және өз беттерінше қорытынды жасауға үйретуге
болады?
Кейбір
зерттеушілердің айтуынша, ең жақсы әдістердің
бірі – «Ақыл – ой жобасы» әдісі.
«Ақыл – ой
жобасы»әдісі танымал жазушы, лектор, оқыту психологиясы, ойлау
проблемалары және интеллект кеңесшісі, ағылшын психологы Тони
Бьюзеннің зерттемесіне негізделген. «Ақыл – ой
жобасы»жағдайды визуалды көруге, алдымыздағы
тапсырманың шешіміне жүйелі түрде келуге мүмкіндік
береді. Бұл әдісті қолдану тиімділігі ақпартты
өңдейтін адам миының құрылғысымен
байланысты. Оқылған ақпарат адамның оң және
сол жақ миында қорытылып бір мезгілде сақталады. Мидың
сол жақ жарты шары логика, сөздер, сандар, тізбек, талдау,
ұқыптылыққа жауапты. Ал оң жарты шары –
ырғақ, түрлі қабылдауларға, қиял, бейнені
елестетуге, өлшем, кеңістіктік қатынастар үшін.
Ақпаратты қабылдаған студенттер, алдымен, мидың сол
жарты шарының ақыл – ой (логикалық) дағдыларын
қолданады. Бұл мидың бүткіл бейнені көру,
ассоциативтік толғанушылыққабілетін тыйып тастайды.
Өткен ғасырдың 70 – ші жылдардың басында Тони Бьюзен
Леонардо да Винчи, Альберт Эйнштейн, Томас Эдисон, Джеймс Джойс секілді
ең ақылды адамдардың ойлау тәжірибелерін
ұқыпты зерттей отырып, бұл данышпандар мидың
барлық ақыл – ой бөліктерін пайдаланған деген
тұжырымғакелді. Ес және көзқарас
саласындағы жаңа заман психологиясының жетістіктері мен адамзат
ақыл – ойының қабілеттерін біріктіре отырып, Бьюзен
«Ақыл – ой жобасы» аттыойлау және ақпаратты сақтау
технологиясын жасады. «Ақыл – ой жобасы» әдісі барлық
ақыл – ой қабілеттерін қамтитын табиғи ойлау
үрдісінің графикалық көрсетілімі. «Бұл жобаны
жасай отырып, кез келген адамның танымдық қабілетін
жеңіл дамытатын және оны кез келген жағдайда қолдана
алатын әмбебап құрал алғым келді» - деген Т. Бьюзен.
Бұл
«Ақыл – ой жобасының» ағылшын «Mind
map»сөзінен жалғыз ғана аудармасы емес.
Оның бірнеше нұсқалары бар: ақыл – ой жобасы, ес
жобасы, ойлау жобасы, интеллект жобасы, ассоциативті жоба.
«Ақыл – ой жобасы» - ақпаратты қабылдаудың,
жөндеудің, сақтаудың, тапсырмалардың
шығармашылық шешімдерінің, ес құралдарының
дамуы мен көзқарасының графиктік бейнелену әдісі.
«Ақыл – ой
жобасы» - диаграммалық байланыс, ойлау үрдісінің жалпы
жүйелі жүруінің схема көмегімен бейнелену
әдісі.«Ақыл – ой жобасы» - студенттердің ойлау үрдісін
бейнелейтін, шығармашылық қасиеттерінің ашылуына
көмектесетін керемет оқыту құралы.
Бұл жобаны
қарындаш, фломастер және қағаз көмегімен
дәстүрлі түрде немесе компьютерлік бағдарламалар
FreeMind, Mind Maps, and Power Point көмегімен салады.
«Ақыл – ой
жобасы» әдісін келесі жағдайларда қолдануға болады:
1. Жаңа материалды зерттеу. Бұл жоба оқытушымен сызылып,
материалды зерттеу барысында көрсетіледі.
2. Дәріс жазу барысында.
3. Қайталау. Құрылған жобаны қарастырған
кезде материалды қайталау жеңілдейді. Себебі, жоба – материалды
талдаудың, зерттеудің қорытындысы. Үлкен көлемді
тексттерді қайта оқып жату қажеттілігі болмайды.
Өйткені, толық жинақталған жоба орталық объектті,
сұрақты, проблеманы, үрдісті бейнелейді, сипаттайды.
4. Материалды жалпылау және талдау. Жаңа пәнді немесе
тақырыпты меңгерудегі қорытынды жұмыс ретінде
жалпыланған «Ақыл – ой жобасын» жасауға болады. Мұндай
жұмыс барысында талдау біліктері, басты идеяны жеткізу қабілеттері
шыңдалады.
5. Оқу материалын тексеру және түзету. Оқытушы студент
жобасын талдай отырып, материалды меңгергендігін тексереді,
қателерін түзетеді.
6. Емтиханға дайындық кезінде.
7. Презентацияларды дайындап, жүргізуде.
8. Уақытты жоспарлауда.
9. Мақсат қоюда.
10. Жобаларды жасауда.
11. Кітап, мақала, баяндама жазуда.
12. Үлкен көлемді ақпаратты есте сақтауда.
«Ақыл – ой жобасы»
адамзат миының табиғи ойлауын бейнелейді. Сондықтан, олар
интуитивті және білім беруде үлкен
құндылыққа ие. Білім
беру үрдісінің тиімділігін көтеруде бұл
технологияға тереңірек ену арқылы әр адам өз
қолданысын табады және өз үлесін қосады деген
ойдамын. Жобаның ақпаратты стандартты түрде жазылуынан
артықшылығына келсек, жобаны жасау жеңіл, мұндай
шығармашылық жұмыстан ләззәт аласыз, текстпен
жұмыстан гөрі аз уақыт жұмсайсыз. Көрнекі,
ретпен, құрылымды бір бетте берілгендіктен,ақпаратты есте
сақтау оңайға түседі. Жоба жасау барысында екі
қоянды бір оқпен атасыз: ақпартты жазасыз, оны есте
сақтайсыз, ойлау (ассоциативті, логикалық,
шығармашылық) және есте сақтау қабілетін
дамытасыз, сонымен қатар миыңыздың барлық
қабілетін іске қосасыз. Жоба жасаудың қосымша
жақсы жақтары да бар:
1. Көрнекілігі. Барлық қарастырып отырған
тақырыпты бірден көзбен қамтып шығуға болады,
материалдың эстетикалық түсінігі де қуантады.
2. Аяқталмағандығы. Әрқашан түзетуге
және толықтыруға мүмкіндік болады.
3. Шығармашылық. Студенттердің әр түрлі
шығармашылық қабілеттерін жүзеге асырады, әдеби
және бейнелеу шығармашылығы да қатысады.
4. «Ақыл – ой жобасымен» жұмыстану кезінде ойлаудың тиімді
және ашықтық деңгейі, сонымен қатар, ойдың
интеллект және жылдамдық деңгейі артады.
«Ақыл – ой жобасын»
жасауда келесі принциптерге жүгіну қажет:
·
Басты тақырып беттің ортасында орналасады.
·
Сөйлемдердің орнына тек негізгі мағына
беретін кілттік сөздер жазылады.
·
Орталық тақырыптан шығатын
бұтақшаларда кілттік сөздер орналастырылады.
·
Негізгі бұтақшаларда суреттер қосылады.
Әр
жұмысты жасағанда тиімді әрі нәтижелі болу үшін
белгілі бір ретпен орындаймыз. Сол сияқты «Ақыл – ой жобасын»
жазған кезде де өз ережелеріне сүйенеміз:
Ø А4 форматындағы, ақ қағаз алған дұрыс.
Және бетті барлығын сыйдыру үшін көлденең
орналастырамыз.
Ø Сөздерді бұтақшалардың үстіне
(жақшаның ішіне емес, бұтақшалардың астына емес)
жазу керек. Бұл жобаны көрнекі көрсетеді. Бір
бұтақта бір, екі сөз (түгел сөйлем жазып керек
емес) жазамыз. Біздің ойлау қабілетіміз ассоциативті, бір кілттік
сөз үлкен ақпарат бөлігін еске түсіруге
көмектеседі.
Ø Көбірек сурет қолдануға тырысыңыз. Әр
бұтақшаны түрлі түстермен ерекшелеу керек, осылайша,
негізгі ақпарат визуалды түрде анық көрінеді, ал
суреттер ақпаратты тезірек есте сақтауға мүмкіндік
береді.
Ø Баспа әріптермен жазған жөн, оқу кезінде
уақыт үнемдейсіз.
Ø Бұтақша ұзындығы сөз ұзындығымен
бірдей болған дұрыс, жобаңыз көрнекі болады, ал сіз
қағаз бетін тиімді қолданасыз.
Осы ережелерді сақтай отырып, сіз әдемі,
жеңіл есте қалатын жоба жасай аласыз, және оқу
үрдісінен ләззәт аласыз.
«Ақыл – ой
жобасын» кез келген пән бойынша қолдануға болады. Математика
пәнінде жобаны негізгі формулалар арқылы көрсетуге, ал
ағылшын болса, ережелер мен ескертулер бойынша, сол секілді физика,
экономика, география, т.б. пәндерден де жүзеге асыруға
мүмкіндік бар.

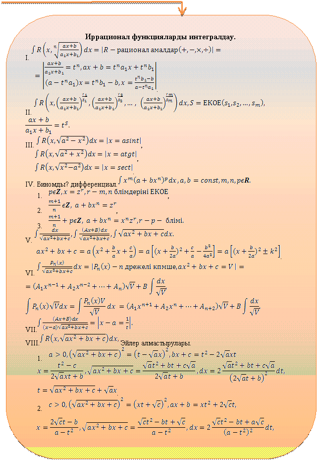
Ережелерге сүйене отырып, жоғары оқу орнында
«Математикалық анализ» пәнінен «Анықталмаған интеграл»
тақырыбы материалын хабарлау дәрісінің зерттемесін
«Ақыл – ой жобасы» әдісімен жасалды. Материал ауқымды
болғандықтан дәріс екі сағатқа созылды.
Дәріс жобасын ұсынамын.
251676672
![]()
А.И. қасиеттері

Инт. негізгі кестесі
251680768
Риманша инт. функциялар
класстары
Инт. әдістері

![]()
![]()
Инт. ережелері

Риманша
интегралданатын функциялар класстары
251688960
![]()
![]()
Риманша интегралданатын
функциялар класстары
Зерттеуімше,
дәрісті жоба түрінде тыңдаған студенттердің
пәнге деген қызығушылығының,
сабақтағы белсенділігінің артқанын байқадым.
Және де келесі гипотеза ұсынуға болады: «Ақыл – ой
жобасын» оқу үрдісіндеқолдану студенттердің
танымдық қызметтерін белсендендіріп, олардың білім
деңгейін арттырады. «Ақыл – ой жобасы» студенттер мен
оқытушылар үшін пайдалы, себебі, ол идеяны, көзқарасты,
материалдың жүйелі, бейнелік елесін көрсетеді.
Студенттердің
оқуда, практикада осы жобаны ұзақ мерзімде қолдана
отырып, болашақта өз пайдасына да жарата алады деп сенемін.
Әдебиеттер:
1. Daniel
Long, Dr. David Carlson. Mind the map: How Thinking Maps Affect Student
Achievement.-Networks.
2. Bershadskaya
E.A. Application of mind maps to generate the cognitive activity of students //
Pedagogical technology. - 2009. - № 3. - С. 17-21.
3. Bershadski
M.E. The use of technology “Concept maps” and “Mind maps” to increase the level
of information competence of students // Pedagogical technology. - 2009. - № 2.
- С. 20-53.