Экономические науки / 10. Экономика предприятия
К.е.н., доцент Кузенко Т.Б.
аспірант Полтініна О.П.
Харківський національний
економічний університет, Україна
Узагальнення
підходів до оцінювання рівня фінансової безпеки підприємства
УДК
005.915:005.934
У статті проведено узагальнення
основних існуючих методичних підходів до визначенні рівня фінансової безпеки
підприємства. Запропоновано заходи щодо їх вдосконалення.
В статье проведен обобщающий анализ
основных существующих методических подходов к определению уровня финансовой
безопасности предприятия. Предложены мероприятия по их усовершенствованию.
In article the generalizing analysis of
the basic existing methodical approaches to definition of level of financial
safety of the enterprise is carried out. Actions for their improvement are
offered.
Участь України у численних міжнародних
організаціях, її прагнення до євроінтеграції, співпраця з розвиненими країнами
та поряд із цим заходи з подолання наслідків світової фінансової кризи,
внутрішні політичні перетворення, реформи в сфері податкового регулювання –
чинники, які зумовлюють необхідність формування максимально ефективної системи
управління фінансовою безпекою суб’єктів господарювання для забезпечення
ефективного розвитку та протидії загрозам із внутрішнього та зовнішнього
середовища.
Кожне підприємство приймає участь у
формування ВВП, який є одним із основних показників соціально-економічного
розвитку держави, шляхом виробництва продукції. І тільки в разі, якщо кінцевий
продукт діяльності суб’єктів господарювання буде здатним конкурувати за
співвідношенням ціна-якість на міжнародному ринку, Україна зможе просуватися на
шляху євроінтеграції. Тому перетворення в економіці необхідно починати саме з
суб’єктів господарювання и одним із першочергових завдань є забезпечення
належного рівня фінансової безпеки підприємства (ФБП).
Для забезпечення безперервного
ефективного функціонування підприємства перед фінансовими менеджерами
підприємства постає завдання оцінювання рівня ФБП на кожному етапі його
розвитку. Сьогодні Міністерством економічного розвитку та торгівлі України
розроблено «Методику розрахунку рівня економічної безпеки України» [1],
яка містить методичні рекомендації щодо розрахунку рівня фінансової безпеки
держави, але не існує жодного нормативного акту, який би регулював процес
оцінювання рівня фінансової безпеки на підприємствах.
Тому дедалі більше вчених приділяють
увагу цій проблемі та надають власні рекомендації щодо вдосконалення існуючих
методик. Але немає повністю адаптованого до сучасних умов саме української
економіки методичного підходу щодо визначення стану ФБП.
Аналіз літературних джерел свідчить про
те, що серед значної кількості методологій, які визначаються як інструментарій
аналізу стану фінансової безпеки підприємств, переважають методики із
прогнозування вірогідності банкрутства, оцінювання фінансового потенціалу,
визначення фінансової стійкості підприємства тощо, а методів оцінки саме рівня
фінансової безпеки, з позиції комплексного дослідження внутрішнього та
зовнішнього середовища із діагностуванням конкретних небезпек дуже мало.
Аналіз останніх публікацій в сфері
оцінювання рівня фінансової безпеки [2,3,4,5], дозволяє стверджувати, що
доцільно використовувати різні групи показників для комплексної оцінки стану
підприємства.
Узагальнивши вивчені підходи до
оцінювання рівня фінансової безпеки, вважаємо за доцільне групувати показники
за секторами, що наведено в табл. 1, які в подальшому складуть основу для
інтегральної оцінки рівня ФБП, з використанням методу оцінки потенційних
можливостей.
Таблиця 1
Показники оцінювання рівня фінансової безпеки за
секторами
|
Сектор |
Показник |
Формула
розрахунку |
Нормативне
значення |
|
1 |
2 |
3 |
4 |
|
1.
Структури капіталу |
Коефіцієнт автономії |
Власний капітал / підсумок балансу |
>0,5 |
|
Коефіцієнт заборгованості |
(Довгострокові зобов’язання + Поточні зобов’язання) /
Загальна сума капіталу |
<0,4 |
|
|
1.
Структури капіталу |
Коефіцієнт фінансового левериджу |
Довгострокові зобов'язання / власний капітал |
>3,0 |
|
2.
Ділової активності |
Коефіцієнт оборотності капіталу |
Дохід від реалізації продукції / Загальна сума капіталу |
↑ |
|
Коефіцієнт оборотності активів |
Дохід від реалізації продукції / Загальна сума активів |
↑ |
|
|
3.
Плато-спроможності |
Коефіцієнт фінансової стійкості |
(Власний капітал – Необоротні активи) / Власний капітал |
0,4-0,6 |
|
Коефіцієнт поточної платоспроможності |
(Грошові кошти + Фінансові інвестиції) / Поточні
зобов’язання |
>0,2 |
|
|
Співвідношення дебіторської та кредиторської
заборгованості |
Дебіторська заборгованість / (Кредиторська
заборгованість + Поточні зобов’язання) |
>1 |
|
|
4.
Рента-бельності |
Коефіцієнт рентабельності активів |
Чистий прибуток / Загальна сума активів |
↑ |
|
Коефіцієнт рентабельності власного капіталу |
Чистий прибуток / Власний капітал |
↑ |
|
|
Коефіцієнт чистої рентабельності |
Чистий прибуток / Дохід від реалізації продукції |
↑ |
|
|
5.
Фінансової стійкості |
Коефіцієнт покриття |
(Грошові кошти + Короткострокові фінансові інвестиції +
Дебіторська заборгованість + Запаси – Витрати майбутніх періодів) /
Короткострокові зобов’язання |
<1 |
|
Коефіцієнт маневреності |
Обіговий капітал / Власний капітал |
>0,5 |
Наступним етапом, після розрахунку
наведених у табл. 1 показників, є визначення узагальненого показника ФБП, для
цього доцільно скористуватися методом інтегральної оцінки фінансової безпеки з
використанням радару потенційних можливостей підприємства [6]. Цей метод
дозволяє оцінювати рівень ФБП протягом декількох періодів часу та порівнювати
результати в динаміці, а також оцінювати позицію підприємства, порівняно із
конкурентами, крім того, фінансовий менеджер може самостійно визначати вагомість
кожного сектору та показника, в залежності від поточного стану зовнішнього та
внутрішнього середовища підприємства.
В якості інтегрального показника оцінки ФБП використовується відносна площа
радара, побудованого всередині кола, яке має число радіусів рівне кількості показників,
згрупованих у сектори. В залежності від визначеної фінансовим менеджером
вагомості кожного сектору, обирається кут розподілу секторів (що більше
вагомість сектору, то більший кут між радіусами, яки формують цей сектор).
Саме коло представляє собою модель ідеального підприємства-еталона, яке
могло б отримати найкращі оцінки по кожному з запропонованих показників. Площа
кола визначається за формулою:
|
|
(1) |
де S – загальна площа кола;
R – довільний радіус кола, що
дорівнює максимальній оцінці для кожного показника в одиницях довжини.
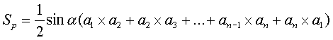
Площа радара, що вписується у коло розраховується за такою формулою:
|
|
(2) |
де а1,…,аn – значення показника;
α – кут, що утворюють
радіуси в сегментах.
Кут між радіусами можна розрахувати за формулою:
|
|
(3) |
де n – кількість показників, за якими проводиться оцінка.
Формула 3 застосовується, якщо
вагомість кожного з сегментів однакова. В разі,якщо вагомість секторів різна,
застосовується формула:
|
|
(4) |
де: kn
– ваговий коефіцієнт
Запропонований методичний підхід може
бути використаний для експрес-діагностики стану ФБП, особливо зручно його
використовувати для аналізу стану підприємства в динаміці, оскільки порівнювати
необхідно не значну кількість показників, а один. Однак слід зазначити, що
оцінка рівня ФБП, це лише частина системи управління фінансовою безпекою, яка
також повинна містити ґрунтовний аналіз причин будь-яких змін у фінансовому
стані підприємства на основі безперервного моніторингу стану зовнішнього та
внутрішнього середовища, своєчасного виявлення небезпек, а також розробці
заходів щодо покращення поточного стану ФБП.
Література:
1. Офіційний сайт Міністерства економічного
розвитку та торгівлі України – Електронний ресурс // режим доступу: http://www.me.gov.ua/control/uk/publish/article?art_id=97980&cat_id=38738
2. Кракос Ю.Б., Разгон Р.О. Управління фінансовою
безпекою підприємств // Економіка та управління підприємствами машинобудівної
галузі: проблеми теорії та практики – 2008 – № 1(1) – С. 86-97
3. Петрина О.Б. Методичні засади оцінювання
фінансової безпеки підприємства // Науковий вісник НЛТУ України. – 2010.
− Вип. 20.12 – С. 229-237
4. Підхомний О.М. Індикатори оцінки рівня
фінансової безпеки суб'єктів господарювання // Економічні науки : зб. наук.
праць. – Сер.: Облік і фінанси. – 2007. – Вип. 23. – С. 234-237.
5. Судакова, О.І. Стратегічне управління фінансовою
безпекою підприємства // Економічний простір. – 2008. – № 9. – С. 140-148.
6. Плюта В. Сравнительный многомерный анализ в
экономическом моделировании:Пер. с польск. – М.: Финансы и статистика, 1989. –
175 с.