Динамика развития
аборигенной микрофлоры нефтезагрязненнх почв при сорбционном воздействии
Мелкозеров Владимир Максимович
Барышев Игорь Евгеньевич
Васильев Сергей Иванович
Матвейкина Яна Валерьевна
ФГАОУ ВПО Сибирский федеральный университет г. Корасноярск
Увеличение объемов добычи, транспортировки и
переработки нефти сопровождаются кратным увеличением нефтяных загнрязнений
Самоочищение и самовосстановление почвенных нефтезагрязненных экосистем, представляет собой многостадийный биогеохимический процесс трансформации загрязняющих веществ, сопряженных со стадийным восстановлением биоценоза. Для различных природных зон длительность отдельных стадий этого процесса различна (от нескольких месяцев до нескольких десятков лет), что связано в основном с почвенно-климатическими условиями. Большое влияние оказывает состав нефти и нефтепродуктов, начальная концентрация загрязняющих веществ. Скорость биодеградации нефти зависит от интенсивности солнечного света, концентрации биогенных элементов, температуры, давления, концентрации кислорода, генетических регуляторных механизмов, наличия и активностью беспозвоночных животных.
Механические и физические методы, хотя и ускоряют разложение нефти и нефтепродуктов, не могут обеспечить их полного удаления из почвы, а процесс естественного разложения загрязнений в почвах чрезвычайно длителен.
Таким образом, успешное восстановление почвы при
попадании в нее углеводородов основывается
только на комплексных технологиях.
При проведении биоремедиационных работ используется
ряд способов стимулирования микрофлоры загрязненных земель [1, 2, 3,]. В общем
случае выделяются два подхода - обеспечение благоприятных условий для развития
аборигенной микрофлоры, в том числе, углеводородокисляющих микроорганизмов, и
внесение специальных микробных препаратов на основе селективно полученных
штаммов. Основанием для предложения того или иного решения часто служат данные
о положительных эффектах, полученных в экспериментах или при проведении
отдельных полевых работ. Только в немногих работах отмечается, что широко
применяемые и рекламируемые мероприятия не всегда дают положительный результат.
При наличии большого спектра предложений не меньший интерес имеют данные о
соотношении влияния и отрицательных эффектах, которые дают различные способы
поддержания углеводородокисляющих микроорганизмов в нарушенных почвах. В данной
работе сравниваются традиционные способы биоремедиации нефтезагрязненных почв
при проведении работ на одном объекте. В частности, анализируется действие
интродукции микроорганизмов, известкования и полимерного структурообразователя
почвы на аборигенные углеводородокисляющие микроорганизмы при отсутствии
ограничения развития микрофлоры по азотному и фосфорному питанию за счет
внесения удобрений[4, 5].
Анализ влияния различных способов обработки
загрязненной нефтью почвы на развитие аборигенной микрофлоры проводили на
опытных полевых площадках на полигоне СФУ в п. Кубеково. Загрязненная
территория располагается узкой полосой вдоль пересыхающего ручья, на котором
преобладают темно-серые оподзоленные болотисто-торфянные почвы. По высоте
опытные участки расположены ниже места разлива нефти, поэтому уровень
загрязнения почвы в период эксперимента колебался от 96,75 г/кг до 167,18 г/кг
в течение летнего сезона 2002 года. В результате рост почвенной микрофлоры
происходил в условиях продолжающегося поступления нефти.
Наблюдения проводили в период май - октябрь. и июнь
следующего года на площадках размером 25 м2, которые обрабатывались
3-мя способами - интродукция углеводородокисляющих микроорганизмов, внесение
мела и структурообразователя почвы. В почву опытных участков вносили два типа
культур - смесь аборигенных микроорганизмов, выделенных из почвы опытного
участка и выращенных в накопительном режиме на минерально-солевой среде (МСС) с
нефтью, культура бактерий Pseudomonas putida и Pseudomonas spp. из установки очистки сточной воды производства фенол-формальдегидных
смол.
В момент отбора проб измеряли температуру почвы на поверхности, на глубине 5 см и 18 см. Содержание нефти в почве на опытных площадках определяли на ИК-
спектрометре после экстракции четыреххлористым
углеродом. Кислотность почвы измеряли на рН-метре. Влажность определяли весовым
методом.
Для учета численности микроорганизмов использовали два
метода: посев в многослойный агар и метод предельных разведений с высевом на
агаризованную среду. Численность микроорганизмов пересчитывали на сухой вес
почвы. Выделение гетеротрофных микроорганизмов проводили на пептонном агаре.
Углеводородокисляющие микроорганизмы выделяли на МСС следующего состава (г/л): KN03 - 4; КН2Р04- 0.6; Na2HP04 - 1.4; MgS04- 0.4; агар -
20, рН 7.2-7.3 . В качестве источника углерода в среду вносили 2 мл/л товарной
нефти. Нефть вносили двумя способами: 1 - добавляли в среду во время посева, 2
- бумажные диски пропитывали нефтью, укладывали на дно чашек Петри и сверху
заливали средой.
Выделение психрофильных (в том числе и психротрофных)
микроорганизмов проводили при температуре +5°С, мезофильных при +30°С, принимая
во внимание температурные диапазоны их роста 0 - 25°С (0 - 35°С) и 15 - 35°С,
соответственно.
Обработку данных проводили с использованием статистики
Пуассона, стандартных статистических методов для нормального распределения и
непараметрического критерия Вилкоксона .
Выполнен анализ численность гетеротрофных и углеводородокисляющих микроорганизмов
двух температурных групп - мезофильных (рис.1) и психрофильных (включая
психротрофные) (рис.2). Наблюдения, проведенные в период с 31 мая по 10 октября, дают представление об их динамике
в теплый период года. На рисунках 1 и 2 представлены данные о средней
численности микроорганизмов на обработанных участках, а также контрольном
участке 5, который не подвергался обработке, кроме внесения удобрений. Как
видно, на протяжении всего периода наблюдений на контрольном участке численность
микроорганизмов, способных образовывать колонии на плотных средах, меньше, чем
средняя численность их на обработанных участках. То есть, при условии снижения
дефицита азотного и фосфорного питания микроорганизмов применение одновременно
любых двух из трех способов обработки (однократное внесение
углеводородокисляющих микроорганизмов, мела и структурообразователя)
увеличивает их численность. Сравнение проводили по критерию Вилкоксона при доверительной
вероятности 0,95 .

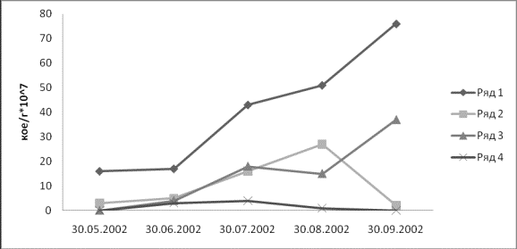
Рис.
1. Динамика численности
мезофильных микроорганизмов на опытных и контрольной площадках. Гетеротрофные:
1 - опытные, 2 - контрольная; углеводородокисляющие: 3 - опытные, 4 -
контрольная.

Рис. 2. Динамика численности психрофильных микроорганизмов на
опытных и контрольной площадках. Гетеротрофные: 1 - опытные, 2 - контрольная;
углеводородокисляющие: 3 - опытные, 4 - контрольная.
В наибольшей степени обработка стимулировала рост углеводородокисляющих
мезофильных микроорганизмов. К концу теплого периода года средняя суммарная
численность их на обработанных площадках увеличилась с 2,8x105 до
1,95x108 кое/г сухой почвы, а углеводородокисляющих психрофилов - с
2,0x105 до 2,3x107 кое/г сухой почвы. Доля углеводородокисляющих
мезофилов возрастала с 0,8 до 28,5% от общего числа гетеротрофов, напротив,
доли психрофильных немного уменьшилась от 39,2% до 22,5%. Очевидно, характер
изменения численности микроорганизмов различных групп обусловлен сезонным
изменением условий среды, на которые практически невозможно
воздействовать какими-либо мероприятиями по мелиорации
почв. С другой стороны, абсолютные значения численностей микроорганизмов
зависят от контролируемых условий среды, в данном случае корректируемых выбранными
способами обработки почвы.
Положительное влияние обработки загрязненной почвы на
численность микроорганизмов стало еще более заметно в начале следующего лета,
через год после их проведения. Преимущественное стимулирование мезофильных
(гетеротрофных и углеводородокисляющих) микроорганизмов сохранилось. В
сопоставимый календарный момент времени (через год численность
углеводородокисляющих микроорганизмов увеличилась на 3 - 4 порядка, а
абсолютное значение гетеротрофных достигло весьма больших значений - в среднем
4,92х109 кое/г сухой почвы. На контрольной площадке 5 численность
углеводородокисляющих микроорганизмов была значительно меньше (в 63 раза), чем
на обработанных, хотя доля их по отношению к общей численности гетеротрофов
достигала 100%.
Комплексная обработка, которая стимулировала рост
аборигенной микрофлоры в загрязненной почве, включала в себя внесение удобрения
на каждой из площадок и два из других трех способов - внесение
углеводородокисляющих микроорганизмов, сорбента и мела (табл. 1). Доза
удобрений на всех площадках была одинаковой и эффект их действия не оценивали,
принимая, что внесение биогенных элементов N и Р, как правило, оказывает
положительное влияние на биоремедиацию загрязненных земель [2, 4]. Действие
каждого из варьируемых способов можно сопоставить с другими на фоне внесенного
удобрения. Для этого микроорганизмы на площадках, обработанных тем или иным
способом, сравнивали со средней численностью микроорганизмов на остальных
площадках, которые не обрабатывали этим способом.
Эффект от обработки загрязненной почвы путем внесения
микроорганизмов, мела и Униполимера-М был неодинаков. Наиболее значимый
положительный эффект дает внесение сорбента Униполимер-М,
отрицательный - внесение мела. Внесение микробных культур оказывало менее значимое
положительное влияние на микрофлору почвы.
Положительное влияние внесенного в почву полимера на
развитие мезофильных микроорганизмов как гетеротрофных, так и
углеводородокисляющих имело место в течение всего лета (Р = 0,9). Это следует
из сравнения динамики их численностей на площадке 2 (табл. 1) и обработанных структурообразователем площадках 1, 3 и 4
(рис. 3).

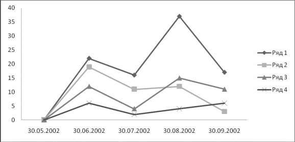
Рис. 3. Влияние Униполимера-М на динамику численности
углеводородокисляющих мезофилов. 1 – при внесении сорбента; 2 - численность
бактерий на площадке 2.
Меньше было также падение численности психрофильных
микроорганизмов в период жаркой погоды при наличии в почве
карбамидо-формальдегидного полимера. Сравнение
данных для психрофильных гетеротрофных и углеводородокисляющих микроорганизмов
на контрольных участках за июль . показывает, что в почве на
контрольном участке их численность
снизилась по сравнению с учапстком, обработанным сорбентом (рис. 3).
ВЫВОДЫ
1. При отрицательной температуре нефтезагрязненной почвы,
обработанной сорбентом Униполимер-М, снижение численности микроорганизмов произошло
меньше, чем на на опытных участках, не обработанных сорбентов, потому что в этом случае почва дольше сохраняет тепло,
сорбент сглаживает сезонные колебания температуры почвы, усиливает аэрацию с одновременным
накоплением влаги и тем самым увеличивает численность нефтеокисляющих
аборигенных микроорганизмов и способствует
улучшению среды обитания микроорганизмов при рекультивации нефтезагрязненных почв,
пахотных земель, включая северные регионы Сибири и Дальнего востока.
2. Известкование оказывает отрицательное влияние на
динамику формирования олеофильных микроорганизмов.
3. В умеренной климатической зоне численности
психрофильных и психротрофных микроорганизмов сопоставимы с мезофильными.
Доказано, что они дают значительный вклад в
деструкцию поллютантов и их участие в биоремедиации загрязненных почв должно
учитываться наравне с мезофильными микроорганизмами.
СПИСОК ЛИТЕРАТУРЫ
1. Мелкозеров, В.М. И Результаты исследования рабочих характеристик полимерных сорбентов, используемых для очистки нефтезагрязненных объектов и предотвращения их возгорания ,/Мелкозеров В.М., Васильев С.И //Защита окружающей среды в нефтегазовом комплексе. 2013. № 1. С.32-38.
2. Мелкозеров, В.М.. [и др.] Очистка нефтезагрязненных земель и водоемов Сибири с применением адсорбентов/ Мелкозеров В.М., Васильев С.И., Гуревич Ю.Л //Нефтепромысловое дело. 2010. № 11. С.58-61.
3. Гриценко А.И, Акопов Г.С., Максимов В.М. Экология, нефть и газ. М.: Наука, 1997. -598 с.
4. Мелкозеров,
В.М. Технология очистки нефтезагрязненных земель, водоемов, лесных угодий и
других ландшафтов/ Мелкозеров
В.М., Васильев С.И, Мелкозеров М.Г//Вестник науки и образования. 2008. № 2
с.7-13
5. Мелкозеров, В.М. Охрана окружающей среды и рациональное природопользование при разработке, эксплуатации нефтяных месторождений, транспортировке нефти и нефтепродуктов./ Германия, Lambert Fcfltvbc Publishing/ - 2011г. -259с.
Сведения об авторах
1. Мелкозеров Владимир Максимович, инженер центра подготовки и переподготовки специалистов нефтегазового дела ФГОАУ ВПО «Сибирский федеральный университет». 660074, Красноярск 74, пр-кт Свободный, 82, оф. 104
2. Барышев Игорь Евгеньевич, студент магистратуры Сибирского федерального университета, 660074, Красноярск 74, пр-кт Свободный, 82, оф. 104
e.mail: weruz@mail.ru
3. Васильев Сергей Иванович, профессор каф. «Бурение нефтяных и газовых скважин» ФГОАУ ВПО «Сибирский федеральный университет», 660130 Красноярск, ул. Гусарова 50 кв. 44 e.mail: s-vasilev1@yandex.ru
4. Матвейкина Яна Валерьевна, студентка института нефти и газа ФГОАУ ВПО Сибирский федеральный университет, 660074, Красноярск 74, пр-кт Свободный, 82, оф. 104 e.mail: yana57851@yandex.ru