Краснова
Т.А., Гора Н.В., Голубева Н.С., Нартов Е.А.
Кемеровский
технологический институт пищевой промышленности (университет), Россия
Изучение
адсорбционного извлечения галловой кислоты в неравновесных условиях
При приготовлении пива из хмеля и ячменя в
пивное сусло переходят полифенольные соединения. При этом присутствие ряда
полифенолов в готовом напитке оказывает негативное влияние на качество пива.
Галловая кислота (3,4,5-тригидроксибензойная кислота) – предшественник целого
ряда полифенольных веществ. В пивном сусле галловая кислота представлена
преимущественно сложными эфирами, соединенными с многоатомными спиртами и
сахарами [1].
Изучение адсорбции галловой кислоты из водных
растворов в равновесных условиях показало эффективность применения углеродных
сорбентов марок АГ-ОВ-1 и «Пуролат-Стандарт».
Целью исследования было изучение адсорбции
галловой кислоты углеродными сорбентами в неравновесных условиях.
Объектами исследования являлись модельные
растворы галловой кислоты и углеродные сорбенты марок АГ-ОВ-1,
«Пуролат-Стандарт».
Время контакта раствора галловой кислоты с
углеродными сорбентами от 1 мин до 7 ч. Кинетические кривые адсорбции
галловой кислоты полученные входе эксперимента представлены на рисунке 1.
Изучение кинетики адсорбции галловой кислоты показывает, что при извлечении на активном угле марки
АГ-ОВ-1 в сорбционной системе равновесие достигается в течение 20 мин. При
адсорбции на углеродном сорбенте марки «Пуролат-Стандарт» время
достижения адсорбционного равновесия составило 25 минут.

Рисунок 1 – Кинетические кривые
адсорбции галловой кислоты активными углями марок «Пуролат-Стандарт» (1) и
АГ-ОВ-1 (2)
На основании экспериментальных данных, для
получения информации о соответствии гранул изучаемых углеродных сорбентов одной
из двух моделей пористой структуры, рассчитана степень достижения
адсорбционного равновесия g. На
рисунках 2 – 3 приведены экспериментально полученные кривые зависимости γ
от длительности перемешивания τ углеродного сорбента с раствором галловой
кислоты и зависимости безразмерного кинетического параметра (Т) от τ.


Рисунок 2 – Кинетические кривые
адсорбции галловой кислоты активным углем марки «Пуролат-Стандарт» в
координатах γ – τ (а) и T – τ (б)


Рисунок 3 – Кинетические кривые
адсорбции галловой кислоты активным углем марки АГ-ОВ-1 в координатах γ –
τ (а) и T – τ (б)
Анализ полученных экспериментальных кривых
позволяет установить тип пористой структуры изучаемых углеродных сорбентов.
Зависимость степени достижения адсорбционного равновесия от времени носит
прямолинейный характер до γ=0,8, что позволяет предположить соответствие
гранул применяемого угля квазигомогенной модели и выполнить расчет кинетики по
этой модели. Значения γ указывают на то, что адсорбция растворенной
галловой кислоты внутри зерна протекает так быстро, что не оказывает заметного
влияния на общую скорость массопереноса [2].
Результаты сопоставления экспериментальных и
теоретических кинетических кривых приведены на рисунке 4.

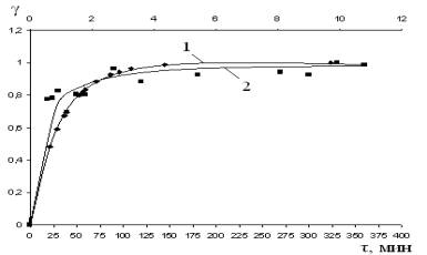
Рисунок 4 – Кинетические кривые
адсорбции галловой кислоты активным углем марки «Пуролат-Стандарт» в
координатах γ – τ: вычисленные (1) и экспериментальные (2)
В области малых γ вычисленные и опытные
кинетические кривые расположены довольно близко друг к другу, что
свидетельствует о быстром протекание внешней и внутренней диффузии в условиях
опыта. С увеличением продолжительности процесса адсорбции увеличивается
расхождение теоретических и экспериментальных кривых, что объясняется ролью
внутренней диффузии, поскольку путь диффузии внутри зерна возрастает [3].
Коэффициенты внешнедиффузионного массопереноса β
полифенольных соединений представлены в таблице 1.
Таблица
1 – Коэффициенты внешнедиффузионного
массопереноса галловой кислоты из водных растворов
|
Марка углеродного сорбента |
Коэффициент внешнего массопереноса, мин-1 |
|
АГ-ОВ-1 |
0,0230 |
|
«Пуролат-Стандарт» |
0,0010 |
Величины коэффициента внешнего
массопереноса при извлечении из растворов показывает, что скорость
массопереноса зависит от природы сорбирующего материала.
Проведенные исследования подтверждают
возможность использования для снижения концентрации полифенолов в пивном сусле
адсорбентов марок АГ-ОВ-1 и «Пуролат-Стандарт».
Полученные адсорбционные параметры могут быть применены в процессе
моделирования динамики адсорбционного процесса и оптимизации режимов
сорбционного извлечения галловой кислоты.
Литература
1. Калунянц, К.А. Химия солода
и пива / К.А. Калунянц. – М.: Агропромиздат, 1990. – 176 с.
2. Когановский, А.М. Адсорбция
органических веществ из воды / А.М. Когановский,
Н.А. Клименко, Т.М. Левченко, И.Г. Рода. – Л.: Химия, 1990. –
256 с.
3. Тимофеев, Д.П. Кинетика
адсорбции / Д.П. Тимофеев. – М.: издательство академии наук СССР, 1962. –
253 с.