Педагогические науки/2. Проблемы подготовки специалистов

д.п.н. Безукладников К.Э., к.п.н. Крузе Б.А., Новоселов М.Н.

Пермский государственный гуманитарно-педагогический университет, Россия

Принципы и современные образовательные технологии формирования профессиональной компетентности будущих учителей международных школ

Основным результатом деятельности педагогического вуза в современных условиях является выпускник – профессионально компетентный работник, обладающий набором компетенций в различных сферах,  прежде всего  педагогической, готовый к работе в российских и международных школах.

Профессиональные компетенции будущего педагога – это личностные новообразования, сформированные дисциплинами базовой и вариативной частей профессионального цикла в процессе педагогического образования, включающее в себя наряду с когнитивным и поведенческим аспектами долговременную готовность к профессиональной деятельности педагога как интегративное свойство личности [2].

В государственном образовательном учреждении высшего профессионального образования «Пермский государственный гуманитарно- педагогический университет» на факультете иностранных языков была разработана и применена компетентностно-ориентированная  концепция подготовки будущих учителей международных школ [5]. Требования к профессиональной компетентности будущих учителей были представлены в виде «модели будущего учителя  международной школы» набором компетенций, которые формируются у студента по мере освоения программ высшего педагогического образования. Особое место отводится формированию специальных компетенций.

В основе процесса формирования специальных компетенций лежат следующие принципы:

а) целостности предметной, педагогической и методической подготовки будущего учителя. На формирование компетенций ориентировано содержание образования, системообразующим компонентом которого являются области взаимодействия, обеспечивающие междисциплинарный характер обучения. Эти области выделены при моделировании процесса формирования компетенций будущего педагога. Через области взаимодействия осуществляется органичная связь как между дисциплинами учебного плана, так и между педагогической, научно-исследовательской и практико-ориентированной деятельностью студентов.

б) единства процесса развития и саморазвития будущего педагога в процессе подготовки в вузе.  В основе подготовки будущего учителя, формирования  социально – педагогических компетенций лежит процесс профессионального развития, базирующийся на самодеятельности, самоорганизации и саморазвитии  студента.

в) блочно-модульного обучения и создания инвариантной методической модели формирования профессиональных компетенций. Выражается через интегративное содержание, организационные формы и методы обучения. Обучение строится на основе блоков и модулей – отдельных функциональных узлов, предназначенных для достижения конкретных дидактических целей, направленных на формирование компетенций будущего педагога.

В основе процесса подготовки будущего педагога лежит инвариантная методическая модель формирования компетенций, включающая следующие компоненты: социальный заказ общества; профессионально-образовательные потребности личности студента; цели образования; принципы; методику формирования (содержание образования; технологии обучения); организационно-дидактические условия обучения; диагностирование уровня сформированности профессиональных компетенций, результат, т. е. качество подготовки будущего педагога;

г) диагностической основы формирования профессиональных компетенций. Главная функция оценивания - анализ процесса, обратная связь, которая позволяет выявить особенности протекания процесса обучения и внесения соответствующих поправок. Большое значение придается критериальному мониторингу и самооценке студентов. Успехи студентов оцениваются как уровни сформированности компетенций по конкретным учебным блокам, модулям, дисциплинам или комплексам дисциплин на основе общих критериев оценки их учебных достижений. Создаются карты критериального оценивания проектов, презентаций, рефератов, курсовых и итоговых квалификационных работ, профессиональной деятельности студентов во время педагогической практики, имеющие междисциплинарный характер. 

Одна из современных технологий, направленных на формирование профессиональных компетенций будущего учителя международной школы, – сетевой электронный портфолио [1].

Профессиональный портфолио состоит из 7 частей: введения, новостной ленты, портрета, паспорта уровня сформированности лингводидактических компетенций, профессиональной биографии, досье и предполагаемого профиля дальнейшего профессионального саморазвития и карьерного роста. Работа студентов над личным профессиональным портфолио начинается в самом начале обучения в педагогическом вузе, когда они на специальных занятиях знакомятся с целями и задачами использования, функциями портфолио и технологией работы с ним. На этом этапе они имеют возможность получить обозримую программу своего профессионального становления, увидеть ступени формирования необходимых для учителя  компетенций и критерии их оценки, что должно настроить их на серьёзную работу для достижения успехов в учебной деятельности и стремление к постоянному самосовершенствованию.

Получив личный логин и пароль, студенты приступают к созданию личного портфолио с работы над разделом «Портрет», где в свободной форме в специальном текстовом поле рассказывают о себе, обосновывают выбор профессии, излагают свои представления о качествах, необходимых, по их мнению, для успешной деятельности в выбранной ими профессии. Студенты также формулируют свои личные задачи в подготовке к профессиональной деятельности, разумеется, в доступной им терминологии. «Портрет» сохраняется в портфолио, и в дальнейшем студент имеет возможность сравнить свои исходные представления о профессии с полученными за годы обучения, отметить осуществление своих ожиданий, пронаблюдать свой профессиональный рост. Раздел «Портрет» предоставляет преподавателям информацию о личности студента, его интересах и предпочтениях, дающую возможность предложить ему индивидуальную «траекторию» в учебной деятельности, темы для научно-исследовательских работ.

В дальнейшем студенты работают с разделом «Биография», где они фиксируют свои личные достижения и успехи в учебных дисциплинах, педагогических практиках, написании научно-исследовательских и методических работ, участии в студенческих конференциях, семинарах, форумах и т.п., оценивая уровень сформированности соответствующих этапу обучения компетенций. Раздел «Досье» электронного профессионального портфолио является своего рода личной медиотекой студентов. Здесь они хранят результаты своей творческой учебной, научно-исследовательской и профессиональной деятельности, которые в любой момент могут предъявить для доказательства и иллюстрации своих достижений, а также использовать в будущем в своей работе. Электронный профессиональный портфолио, размещённый на сервере вуза, доступен с любого компьютера с выходом в Интернет, что даёт возможность внедрения дистанционной формы контакта обучаемого и обучающего и предлагает, наряду с групповой, и индивидуальные формы работы преподавателей со студентами, что позволяет разгрузить учебное расписание и учебные помещения.

Управление электронным портфолио осуществляется преподавателем-редактором, ответственным за внесение официальных отметок о сдаче студентами текущих экзаменов и зачётов и правильное использование данной технологии студентами, а также веб-мастером, следящим за бесперебойным функционированием платформы электронного портфолио на сервере вуза.

Студенты заканчивают работу с профессиональным портфолио его защитой на заседании Государственной аттестационной комиссии, где представляют мультимедийную презентацию, выстраивая свой профессиональный профиль [3]. Они анализируют, какие у них возникали проблемы во время стажерской профессиональной деятельности и то, как они их преодолевали, недостаток в развитии каких компетенций испытывали. Выпускники также оценивают свои профессиональные перспективы в будущем (в частности надёжность трудоустройства, развития лингводидактических компетенций в контексте непрерывного образования и возможности профессионального перепрофилирования). Своё решение Государственная аттестационная комиссия принимает на основании заполнения соответствующей карты критериального оценивания [4].

Эффективность данной технологии подтверждена данными педагогической диагностики, которая проходила в 2011, 2012, 2013 и 2014 гг.


Результаты диагностики приведены ниже (табл. 1; рис. 1, рис 2).

Таблица 1

 

Количество испытуемых на каждом этапе педагогической диагностики в процентах

 

Год

Процент

2011

28,2

2012

22,6

2013

24,2

2014

25,0

Итого

100,0

 

 

 

 

Уровень выраженности рефлексивности у выпускников 2011 - 2014 гг. в стенах

 

Год

Рис. 1. Уровень выраженности рефлексивности выпускников 2011 – 2014 гг.

 

 

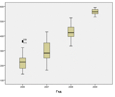
Сумма показателей долговременной готовности к педагогической деятельности в международной школе выпускников 2011, 2012, 2013, 2014 гг.

 

Год

Рис. 2.  Показатели долговременной готовности к педагогической деятельности в международной школе выпускников в 2011, 2012, 2013, 2014 гг.

 

Полученные в результате педагогической диагностики данные доказали эффективность использования технологии «Профессиональный портфолио» в образовательном процессе педагогического вуза, направленном на подготовку профессионально компетентных педагогических работников для международных школ в соответствии с требованиями социального заказа глобального общества.

Литература

 

1.     Безукладников, К.Э. Профессиональный портфолио как средство формирования профессиональной компетенции будущего учителя [Текст]  / К.Э.Безукладников // Иностранные языки в школе. - 2008. -№8 - С. 66-71.

2.     Колесников, А.К. Современные образовательные технологии для будущего учителя / А.К.Колесников, А.И. Санникова, К.Э. Безукладников // Alma mater (Вестник высшей школы). -2012. - 1. - С. 34-38.

3.     Безукладников, К.Э. Подготовка учителя Международного бакалавриата в лингвоинформационном образовательном пространстве / К.Э. Безукладников, Б.А. Крузе // Новые технологии в образовательном пространстве родного и иностранного языка. – 2013. – С. – 283-294.

4.     Bezukladnikov K.E. and Kruze B.A. (2012). An Outline Of an ESP Teacher Training Course. World Applied Sciences Journal 20 (Special Issue of Pedagogy and Psychology). P. 103 - 106.

5.     Konstantin Bezukladnlkov, Boris Kruze and Margarita Mosina. (2013). Interactive Approach to ESP Teaching and Learning. World Applied Sciences Journal 24 (2). P. 201-206