Технические науки/4. Транспорт
Ассистент Агарков А.М., студент Тихонов А.А.
Белгородский государственный технологический
университет им. В.Г. Шухова, Россия
Обзор конструкций рыхлителя для разработки прочных грунтов
Рыхлителем называют машину, которая при движении
может послойно разрушать грунт, отделяя его от массива в виде крупных глыб или
кусков.
В Государственном
образовательном учреждении высшего профессионального образования Читинском
государственном университете автором (Геллер Ю.А.) предложен «Рыхлитель
ударного действия» (патент РФ №2380489) (рис. 1), который повышает эффективность
рыхления грунта за счет снижения динамических нагрузок, воздействующих на
базовую машину, и передачи их в зону разрушения грунта [1].
Изобретение относится к
строительному и горному делу и может быть использовано при разработке скальных
пород, прочных и мерзлых грунтов. Технический результат - повышение
эффективности рыхления грунта и снижение динамических нагрузок, воздействующих
на базовую машину. Рыхлитель ударного действия включает базовую машину,
навесную раму 1, гидроцилиндр и пневмомолот 3. Пневмомолот 3 содержит корпус с
установленным внутри поршнем-бойком 5 и зубом 4. Рыхлитель снабжен, по меньшей
мере, одной балкой 6, соединенной с навесной рамой 1 при помощи оси вращения 7
и балансировочным грузом 8. При этом пневмомолот 3 и балансировочный груз 8
установлены на балке 6 с возможностью перемещения.

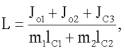
Рис. 1. Рыхлитель ударного действия
Рыхлитель
ударного действия, включающий базовую машину, навесную раму, гидроцилиндр и
пневмомолот, содержащий корпус с установленным внутри поршнем-бойком и зубом,
снабжен, по меньшей мере, одной балкой, соединенной с навесной рамой при помощи
оси вращения и балансировочным грузом, при этом пневмомолот и балансировочный
груз установлены на балке с возможностью перемещения, а расстояние от оси
вращения балки до оси симметрии пневмомолота определяется из условия

где L - расстояние от оси вращения балки до оси
симметрии пневмомолота;
Jo1 - момент
инерции балки относительно оси вращения;
Jo2 - момент
инерции балансировочного груза относительно оси вращения;
JC3 - момент
инерции пневмомолота относительно центра масс;
m1 - масса
балки;
m 2 - масса
балансировочного груза;
lC1 -
расстояние от оси вращения до центра масс балки;
l C2 -
расстояние от оси вращения балки до центра масс балансировочного груза.
В Читинском государственном техническом университете коллективом авторов
(Баловнев В.И., Курбатов Н.Е.) разработано «Устройство для рыхления мерзлых и
плотных грунтов» (патент RU № 2135703) (рис.2), которое позволяет
привести рабочий орган в самостоятельное движение и, тем самым, снизить тягу в
направлении рабочего перемещения устройства, а также уменьшить энергоемкость
процесса рыхления [2].
Изобретение относится к
области землеройных машин для разработки и рыхления мерзлых и плотных грунтов и
может быть использовано на различных строительных объектах. Целью изобретения
является снижение тяги в направлении рабочего перемещения устройства, а также
уменьшение энергоемкости процесса рыхления. Устройство для рыхления мерзлых и
плотных грунтов содержит барабан и расположенные по его периметру рыхлительные
зубья, приводной вал, расположенный внутри барабана по его оси, установленный с
возможностью вращения, дисковый кулачок, находящийся в плоскости поперечного
сечения барабана и жестко с ним связанный, кулису, закрепленную на приводном
валу, и ролики, установленные в пазах кулисы с возможностью относительного
движения. Ролики цилиндрической поверхностью взаимодействуют с профильной
поверхностью кулачка. Задняя поверхность рыхлительных зубьев выполнена в виде
эвольвенты.

Рис. 2. Устройство для рыхления мерзлых и плотных грунтов
Устройство для рыхления мерзлых и плотных грунтов,
включающее барабан и расположенные по его периметру рыхлительные зубья,
снабжено приводным валом, расположенным внутри барабана по его оси,
установленным с возможностью вращения, дисковым кулачком, находящимся в
плоскости поперечного сечения барабана и жестко с ним связанного, кулисой,
закрепленной на приводном валу, и роликами, установленными в пазах кулисы с
возможностью вращения и перемещения вдоль пазов, при этом ролики цилиндрической
поверхностью взаимодействуют с профильной поверхностью кулачка.
Литература:
1.
Рыхлитель
ударного действия: пат. 2380489 Рос. Федерация. № 2008116381/03; заявл. 24.04.08; опубл. 27.01.10. – 4 с.
2. Устройство для рыхления мерзлых и плотных грунтов: пат. 2135703 Рос.
Федерация. № 98105591/03; заявл. 25.03.98; опубл. 27.08.99. – 4 с.