Современные информационные технологии
/1. Компьютерная инженерия
К.т.н., доц. Аждер Т.Б., к.т.н., доц. Зеленко
Г.В., к.т.н., проф. Рощин А.В.
Московский технологический университет, Россия
Об оценке структуры сенсорной локальной сети
Сенсорные локальные сети, основанные на технологии ZigBee и подобных ей, все шире и чаще используемые при построении различных измерительных и управляющих системах, отличаются многими замечательными свойствами, самое характерное из которых – способность их к самоконфигурированию. Это свойство сенсорных сетей в значительной мере повышает жизнеспособность таких систем, упрощает их практическое использование, но, вместе с тем, ощутимо же усложняются процессы их проектирования с целью достижения заданных показателей надежности, живучести и функциональности. Дело в том, что для оценки этих показателей, прежде всего, необходимо знать структуру (топологию) проектируемой сенсорной сети, а для рассматриваемой технологии структура сети практически непредсказуема, так как элементы, из которых она строится, которые позволяют ей динамически самоконфигурироваться. Мало того оценить структуру реальной сенсорной сети трудно еще и потому, что структура графа, описывающего такую сеть зависит не только от количества и расположения узловых элементов, но и от условий прохождения радиосигнала между ними. Еще более усложняют оценку реальной структуры сенсорной сети различные значения мощности передатчиков узлов, которые могут быть установлены в процессе настройки сети управляющим (или управляющими) узлом (узлами).
Оценка структуры сенсорной локальной сети основан на графовой модели такой сети [1], которая, в свою очередь, строится на основе анализа сообщений, получаемых узлами сети. При этом предполагается, что протоколом передачи сообщений в сети предусмотрена фиксация в пакете, передающем сообщение каждого пройденного узла сети. Понятно, что для получения оценки структуры такой модели (то есть, построения ее графа), необходимо проведение статистического натурного (или модельного) эксперимента в реальных (или, соответственно, в модельных) условиях, учитывающих взаимное расположение узловых элементов сети, а также условия прохождения радиосигнала между ними. При этом необходимо иметь в виду, что оценка структуры сенсорной локальной сети (построенный граф), полученная в результате проведения такого эксперимента с большой вероятностью окажется неполной, так как при наличии нескольких возможных маршрутов прохождения сообщений в реальной (или модельной) сети, часть их может оказаться незадействованной, а следовательно, и на зафиксированной.
Если необходимо получение в результате эксперимента получить как можно более полную структуру сенсорной сети, надо предусмотреть возможность поочередного отключения узлов сети и их комбинаций при прохождении тестового множества сообщений.
Модель сенсорной локальной сети представляет собой ячеистую структуру, которая может быть достаточно хорошо описана графом (рис. 1).

Рис. 1. Схематическое изображение фрагмента сенсорной локальной сети
Как и любой
граф, сенсорная локальная сеть описывается парой – множеством верши
, описывающей множество узлов сети, и присоединенной матрицей
, описывающей связи между вершинами. Особо стоит остановиться
на процедуре нумерации узлов сети. Вообще говоря, нумерация может быть
абсолютно произвольной. Однако обычно в сенсорной сети назначают один или
несколько узлов в качестве «главных»
(управляющих), который (или которые) собирает (собирают) данные со всей
сети, а также может (или могут) управлять и/или конфигурировать ее узлы. В
качестве управляющих воздействий может использоваться возможность изменения
максимальной мощности радиопередачи каждого конкретного узла. В этом случае
имеет смысл начинать нумерацию с одного из выделенных узлов, например, с
управляющего и конфигурирующего.
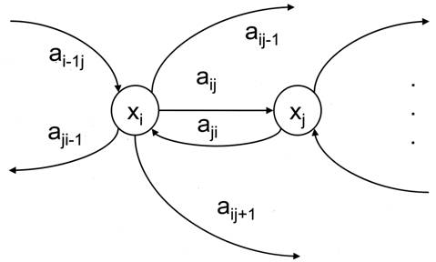
Структура графа сенсорной локальной сети определяется тем, насколько
достижима связь любого узла сети с любым другим.
Элементы
присоединенной матрицы
, где элемент
описывает возможность передачи сообщения от элемента
элементу
. В качестве значений элементов
могут выбираться
значения, пропорциональные эффективной скорости передачи, определяемой
количеством потерянных пакетов, потребовавших повторной передачи. В данной
статье мы будем рассматривать простейший вариант –бинарные значения: 1 – есть
связь, 0 – нет связи. Здесь следует напомнить, что в качестве узлов сенсорной
локальной сети используются элементы, мощность передатчика которых может
изменяться. То есть, мощность передающей части узлов одной и той же сенсорной
сети может меняться от узла к узлу. В результате может возникнуть ситуация, при
которой из узла
в узел
сообщение может быть
передано, а из
в
– не может. В
результате присоединенная матрица графа, описывающего сенсорную локальную сеть,
в общем случае будет несимметричной. Этот факт следует учитывать при построение
оценочного графа исследуемой сенсорной сети.
Литература:
1.
Баpанов М. А., Зеленко Г. В., Pощин А. В. Пpоблемы маpшpутизации сообщений
в сенсоpной локальной сети // Информационные
технологии. 2014. №11. С. 8 - 12.