MATHEMATICS
/ 3. Applied mathematic
Candidate
of Physical and Mathematical Science
Iskakova A.
L.N. Gumilev Eurasian National University, Astana,
Kazakhstan
Modeling of unbiased estimators for probabilities of
the dynamics of the development of production in Europe
Comparing the path of each European country’s trend
growth rate with the corresponding secular actual average growth, and our
setting of a dating of growth cycles of industrial productivity in Europe, it
raises interest in European industry and constitutes the basis for future poles
of European knowledge, particularly in Kazakhstan.
To date, probabilistic models describing such
situations were not considered. Extremely relevant example of application of
such a model is the advertising industry, where it is necessary to link the
distribution of consumer interests with appropriate advertisements in various
sources. Similar problems are very common in meteorology and other fields. In
this article we present statistical evaluation of the distribution of the sum
of random values L1, … , Ld, where L1,
… , Ld are not
observable and observable only their sum. Thus, the results of the proposed
work can solve many of these problems.
Suppose that an urn contains balls and each ball in
the urn marked some value Lα.
Also assume that the number of possible Lα
there is d.
Let the elements of the vector p = (p1, … , pd) determine the probability of retrieving the ball
boxes labeled respective values of L1,
… , Ld, and 
Produces a sequence of extraction of n balls from the urn with the return,
and it is not known exactly which balls were removed from the box. We only know
the value of u, which represents the
sum of the values of the n
taken out of the urn balls. To study this situation requires the construction
of a probability distribution u.
Assume that Vu
is the number of possible combinations r1vuL1,…, rd vuLd,
which together formed u, where r1vu,…, rdvu determine the
possible number of balls are removed, that bear the L1, … , Ld.
In other words, in [1] that is, the number of partitions Vu u on the part of L1,
… , Ld.
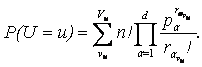
The probability that the random variable U takes the value u, there
(1)
Theorem. A function that is defined in (1) is a probability
distribution.
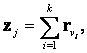
Let X = (X1, ..., Xk) represents a sampling volume of distribution n (1)
and x =(x1, ..., xk) is the observed value of X,
where the elements xi (i = 1,
..., k) represent the sum of the values of the n balls consistently taken out of the
urn with replacement. For each i = 1,
..., k we define the number of partitions of Vi õi
values at L1, …
,Ld. Vectors r1i=(r11i,…, rd1i), …, rVi=(r1Vi,…, rdVi), defining these
partitions, when vi=1,...,
Vi, are solutions of the following system of equations
(2)
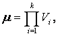
Suppose
that for each j = 1, ..., μ, where
there exists a vector zj=(z1j,..., zdj), defined as
and the indices in the right and left side of
the linked-to-one correspondence, which is not unique.
Lemma. a) If any element of the implementation of the sample x =(x1,
... , xk) of the
distribution (1) has more than one partition on a view of the portion, the
solutions z1, … , zμ,
based on observation, not implementations are sufficient statistics .
b) If all
the elements of the implementation of the sample x =(x1, ... ,
xk) of the distribution
(1) have no more than one partition on a view of the portion, the solution z1,
based on observation, and is the only implementation of a complete sufficient
statistic.
The following theorem, presented in the paper [6-9],
to determine the set of unbiased estimates for the probability distribution of
the test.
Theorem. The elements of W(u, z)={W(u,
z1), …, W(u,
zμ)} is an unbiased estimate of the probability P (U = u) of the distribution (1) that for j = 1, ..., μ is defined as
(3)
where Vu is the number of
partitions of u on the part of L1,…, Ld; for each
partition r1vu,…, rdvu
determine the possible number of balls
are removed, that bear the L1,
…, Ld; k≥1 and zαj≥rαvu, when α =
1, ..., d, vu=1, …, Vu.
REFERENCES
1.
AA
Borovkov Mathematical Statistics. Parameter estimation. Testing hypotheses, M
.: Nauka. 1984.- 472 p.
2.
AA
Borovkov Probability theory, M .: Nauka. 1986.-431 p.
3.
Voinov
VG, Nikulin, MS Unbiased estimators and their applications M .: Nauka. 1989. -
440 p.
4.
Iskakova
AS On a class of discrete multivariate distributions generated urn scheme with
balls labeled rectangular matrices. // Bulletin KazSU Ser. Mat., Mech.,
informatics. 2000 ¹1 (94). S. 16-20.
5.
AS
Iskakova Determine the most suitable unbiased estimate for a weather forecast.
// Siberian Journal of Industrial Mathematics. G.Tom 2002 V, 1 (9). S.79-84.