Студенты: Есенов Талгат,
Баданова Айнур,
к.т.н., проф. Баданов
К.И.
Таразский
государственный университет им. М.Х. Дулати, г. Тараз, Республика Казахстан
ЦВЕТОВЫЕ РАЗЛИЧИЯ ОКРАСОК
ТЕКСТИЛЬНЫХ МАТЕРИАЛОВ И КОМПЬЮТЕРНЫЕ МОДЕЛИ ОПИСАНИЯ ЦВЕТА
Цвет –
это одно из свойств объектов материального мира, воспринимаемое как осознанное
зрительное ощущение. Тот или иной цвет "присваивается" человеком
объектам в процессе их зрительного восприятия. Одной из наиболее актуальных тем
является проблема достоверной цветопередачи окраски текстильных материалов на
всех этапах работы с цветными изображениями. При уточнённом качественном
описании цвета используют три его субъективных атрибута: цветовой тон,
насыщенность и светлоту. Наиболее важный атрибут цвета - цветовой тон ("оттенок
цвета") - ассоциируется в человеческом сознании с обусловленностью окраски
предмета определённым типом красителя. Насыщенность характеризует степень,
уровень, силу выражения цветового тона. Этот атрибут в человеческом сознании
связан с концентрацией красителя. Серые тона называются ахроматическими
(бесцветными) и считают, что они не имеют насыщенности и различаются лишь по
светлоте. Теория цвета изучает круг вопросов, связанных с оптикой и физиологией
зрения, психологией восприятия цвета, а также теоретические основы и технику
измерения и воспроизведения цветов.
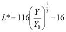
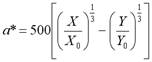
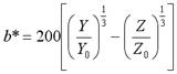
Цветовое
различие окраски текстильных материалов находится как разница между двумя
цветовыми воздействиями (цветами), определяемая как евклидово расстояние между
двумя точками, представляющими эти воздействия в системе координат L*, a*, b*
пространства CIELAB. Это прямоугольная система координат, ось а проходит от
зеленого (-а) до красного (+а), а ось b - от синего (-b) до желтого (+b).
Светлота (L) у трехмерной модели возрастает в направлении снизу вверх. Координаты
L, a и b находятся по формулам 1, 2 и 3:
(1)
(2)
(3)
где X, Y, Z - координаты трехмерной системы; значения
каждой первичной составляющей света — красной, зелёной и синей;
X0, Y0, Z0 - это
координаты белой точки в значениях CIE XYZ
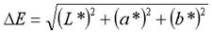
Цветовое
пространство CIELAB – это трехмерное, приблизительно равноконтрастное с точки
зрения восприятия, цветовое пространство, получаемое в результате представления
L *, a *, b * в прямоугольной системе координат. По формуле 4 находится
цветовое различие в этой системе :
(4)
Ее часто используют в качестве внутренней модели
многих программных продуктов и с ее помощью в них осуществляется пересчет из
одной модели цвета в другую. Еще одним преимуществом системы Lab является ее равноконтрастность.
Формула цветового различия СIELab76
стала одной из двух первых формул рекомендованных МКО в качестве единой меры воспринимаемого
различия. Однако попытки ее использования для разбраковки текстильных
материалов по цвету, показали необходимость дальнейшего уточнения. Сама по себе
оценка надежности формул цветового различия представляет сложную проблему.
Ввиду того что в преобразовании из XYZ в Lab используются формулы, содержащие
кубические корни, Lab представляет из себя сильно-нелинейную систему. Это
затрудняет применение привычных операций над 3-х мерными векторами в этом
цветовом пространстве.
Разработка надежных формул цветового
различия текстильных материалов позволяет использовать объективную колориметрию
для решения следующих практических задач:
-
установка объективных цветовых допусков и проверка соответствия текстильных образцов
установленным допускам;
-
объективная оценка устойчивости окрасок текстильных материалов;
-
количественная оценка метамеризма;
-
сортировка по цвету – разбиение множества образцов цвета на группы с заданной
величиной цветового различия внутри группы.
Для устранения недостатков ISO 12647
при работе с цифровыми печатающими устройствами и введения единообразия при
проверке цветопередачи на оттисках, немецкий институт Fogra в 2002 году
разработал новую методику (для простоты можно называть её методикой Fogra). Она
не противоречит ISO 12647, но дополняет и ужесточает — проба, удовлетворяющая
Fogra, автоматически будет удовлетворять и ISO 12647.
Методика
изложена в рекомендациях Media Standard Print 2006 и заключается в следующем: при
печати цифровой цветопробы рядом с ней помещается контрольная шкала UGRA/Fogra
MediaWedge CMYK v.2, подвергающаяся тем же преобразованиям, что и выводимый
файл. На пробе, как минимум, должна присутствовать информация об имени файла,
дате и времени печати пробы, об использованных ICC-профилях. После печати
контрольная шкала промеряется спектрофотометром, Lab-координаты её полей
сравниваются с эталонными значениями, зависящими от ICC-профиля имитируемого
процесса.
Колориметрические данные находят все
большее непосредственное применение в текстиле, а сами колориметры
непосредственно используются в процессе управления цветом и оценки качества
продукции. Результаты измерений в виде трех колориметрических координат цвета
дают возможность напрямую использовать их в программных продуктах. При
установлении цвета как текстильного материала, так и красок, а также цветовых
различий современный Международный стандарт ISO 12647-2:2004 оперирует исключительно
колориметрическими характеристиками. В апреле 2007 года официально опубликованы
поправки к Международному стандарту - ISO 12647-2:2004/Amd.1:2007. В результате
их введения изменились колориметрические координаты бинаров и чуть-чуть поблек
желтый цвет. При этом, корректировки в основном коснулись зеленого и синего
цветов, последний из которых отличается от первоначального значения на
∆E*ab=0,1.
Таблица 1. Допуск на цветовое различие
ΔЕ
|
Допуск
на цветовое различие ΔЕ |
Краска |
|||
|
Голубая |
Пурпурная |
Желтая |
Черная |
|
|
Между
подписанным оттиском и стандартными значениями |
5 |
8 |
6 |
4 |
|
Между
тиражным и подписанным оттисками |
4 |
4 |
3 |
3 |
Допустимый разнотон между окрашенным текстильным
материалом и образцом цвета, ранее отпечатанным в типографии, должен составлять
ΔE=±7,5. Отклонения между смесевым цветом и цветом на оттиске должны
соответствовать ΔE=±6,5 а отклонения смесевого цвета, замешанного
специально под заказ с выкраской, и тиражным листом должны соответствовать
ΔE =±5.
Чтобы иметь возможность контролировать
качество цветопробы, следует использовать контрольные шкалы. На любой цифровой
или аналоговой пробе, должна находиться контрольная шкала Ugra/FOGRA Media
Wedge. Она содержит 33 цветных контрольных поля, серый клин образованный
хроматическими красками, серую полутоновую шкалу черного канала, а также
незапечатанное контрольное поле. На рисунке 1 представлена шкала Ugra/FOGRA
MediaWedgeCMYK v 2.0.

Рисунок 1. Ugra/FOGRA
MediaWedgeCMYK v 2.0
Она
предназначена для оперативного контроля качества цифровой пробы и может быть
использована как электронное средство контроля при отображении CMYK данных в
процессе допечатной подготовки. В соответствии со стандартами ISO 13656 и ISO
12647-1 контрольная шкала для пробного, контрольного и тиражного крашения
должна, как минимум, позволять измерять растровые контрольные поля в области
средних тонов (40—50%) и в третьей четверти тона (75—80%), реализованные круглыми
растровыми точками, а также 100% поля CMYK. На рисунке 2 (а,б) представлены
фрагменты шкалы Ugra/FOGRA Digital Print Control Strip .
(а);
(б);
Рисунок 2. (а,б) - Контрольная шкала Ugra/FOGRA
Цвета и цветовые различия могут быть
выражены с помощью различных математических моделей. Наиболее часто на практике
используются четыре модели описания цвета: RGB, CMYK, Lab, HSV (HSL, HSB).
Все
оттенки цвета видимого спектра можно получить из сочетания трех основных
монохроматических излучений – красного, синего и зеленого. Визуальное
восприятие цвета по некоторым теориям тоже основано на модели RGB. Модель RGB
обозначена по первым буквам английских слов Red (Красный), Green (Зеленый),
Blue (Синий). Эта модель представляется в виде трехмерной системы координат.
Каждая координата отражает вклад каждой составляющей в результирующий цвет в
диапазоне от нуля до максимального значения. В результате получается куб,
внутри которого и "находятся" все цвета, образуя цветовое
пространство RGB.

Рисунок 3. Куб цветового пространства RGB
Важно отметить особенные точки и линии
этой модели. Начало координат: в этой точке все составляющие равны нулю,
излучение отсутствует, а это равносильно темноте, то есть это точка черного
цвета. И вторая точка, где все составляющие имеют максимальное значение, дает
белый цвет. На линии, соединяющей эти точки (по диагонали), располагаются
ахроматические цвета (серые оттенки): от черного цвета до белого. Это
происходит потому, что все три составляющих одинаковы и располагаются в
диапазоне от нуля до максимального значения. Такой диапазон иначе называют
серой или ахроматической осью.
В компьютерных технологиях сейчас чаще
всего используются 256 градаций (оттенков) серого. Хотя некоторые сканеры имеют
возможность распознавать и кодировать при сканировании изображения до 1024
оттенка серого. Все оттенки цвета видимого спектра можно получить и при
смешении не излучений, а веществ – красок, лаков, растворов. В полиграфии для
создания цветного изображения на оттиске наносят на белую бумагу краски
различного цвета. Белый свет, падающий на оттиск, проходит сквозь красочный
слой, отражается от поверхности бумаги и снова проходит сквозь красочный слой
уже определенного цвета, который визуально воспринимается. Этот цвет называют
отражаемым. Отраженные цвета возникают не путем излучения, а получаются из
белого света, путем вычитания из него определенные цвета. Отраженные цвета
называются также субтрактивными ("вычитательными"), поскольку они
остаются после вычитания основных аддитивных, а синтез цвета субтрактивным.
Понятно, что в таком случае и основных субтрактивных цветов будет три: голубой,
пурпурный и желтый. Эти цвета составляют так называемую полиграфическую триаду
печатных красок. При печати с использованием красок этих цветов они поглощают
красную, зеленую и синюю зоны спектра белого света и, таким образом, большая
часть видимого цветового спектра может быть воспроизведена на бумаге при
печатании многокрасочного оттиска с использованием трех печатных красок –
желтой, пурпурной и голубой.

Рисунок 4. Модели цветовых оттенков
RGB и CMYK
При смешениях двух субтрактивных цветов
(красок) результирующий цвет затемняется, а при смешении всех трех должен
получиться черный цвет. При полном отсутствии краски, надо полагать, получится
белый цвет (цвет белой бумаги). В итоге получается, что нулевые значения
составляющих дают белый цвет, максимальные их значения должны давать черный
цвет, их равные значения - оттенки серого, кроме того, имеются чистые
субтрактивные цвета и их двойные сочетания. Это означает, что модель, в которой
они описываются, похожа на модель RGB. Геометрический образ модели CMYK это тот
же "куб", в котором переместилось начало координат. Данная модель
описывает реальные печатные краски, которые, увы, далеко не так идеальны, как
цветные излучения. Они имеют примеси, растворители, связующие и поэтому не
могут полностью перекрыть весь видимый цветовой диапазон спектра белого света,
а это приводит к тому, что смешение трех основных красок, дает какой-то
неопределенный темно-коричневый, чем истинно черный цвет. Для компенсации этого
недостатка в число основных печатных красок была введена черная краска. Именно
она добавила последнюю букву в название модели СМYК: C – Cyan; M –
Magenta; Y – Yellow и K – Key color (по одной версии) или blacK (по другой
версии).
Базовые
пространства цвета, контраст цветов, взаимосвязь оттенков и цветов можно
выразить через равносторонний треугольник.

Рисунок 5. Равносторонний цветовой
треугольник
По
вершинам большого треугольника расположены двухзональные цвета: желтый=зеленый
+ красный, голубой=зеленый + синий и пурпурный=синий + красный. Второй
треугольник вписан в первый и по его вершинам расположены однозональные цвета:
синий, зеленый и красный. Пунктирами даны высоты (они же медианы и биссектрисы)
обоих треугольников. Точка пересечения высот — чернобелый кружок. В
скобках даны обозначения цветов, используемые в пакете Photoshop.
Таким образом, модели RGB и СМYК, хотя
и связаны друг с другом, их взаимные переходы друг в друга (конвертирование) не
происходят без потерь. Это вызывает необходимость выполнения сложных калибровок
всех аппаратных средств красильных компьютерных систем, требующихся для работы
с цветом: 1) сканера (он осуществляет ввод изображения); 2) монитора (по нему
судят о цвете и корректируют его); 3) выводного устройства (оно создает
фотоформы или печатные формы при подготовке ткани к печати). Так же необходима
калибровка (нормализация процесса печатания) печатного оборудования – печатной
машины (выполняющей конечную стадию - печать).
Литература:
1.
Куликова
М.А. и др. Колорирование текстильных материалов. Учебное пособие. М.: РИО МГТУ,
2000.
2. Методы исследования в
текстильной химии. Справочник под.ред. Кричевского Г.Е., М. : Легпромбытиздат,
1993., 401 с.
3.
Цвет
в промышленности. Под ред. Р.Мак-Дональда, М.: Логос, 2002, 596 с.