Современные информационные технологии/ 1.Компьютерная
инженерия
Алькина
А.Д., Какимова К.Ш., Жантуганова Т.С.
Карагандинский
государственный технический университет, Казахстан
Оценка накапливаемых
возвратных потерь при помощи Optical Time Domain Reflectometer
Функционирование Optical
Time Domain Reflectometer
(OTDR – оптический рефлектометр) определяется совокупностью параметров, которые
отражают качество измерения, т. е. позволяют пользователю понять, насколько
инструмент соответствует его потребностям. Общие требования к OTDR достаточно
хорошо известны и включают следующие основные параметры: динамический диапазон,
диапазон измерения, мертвую зону ослабления, мертвую зону затухания и
разрешающую способность. Основным параметром, представляющим интерес для
пользователя, является контролируемая рефлектометром максимальная длина
волокна. Однако однозначного ответа на этот вопрос в большинстве случаев дать
невозможно, так как доступный динамический диапазон, определяющий дальность
контролируемого волокна, зависит от типа волокна при тестировании рефлектометра
и его параметров. Кроме этого, динамический диапазон может быть выражен
различными способами [1]: в км; в электрических и оптических дБ; в дБ по методу
SWDR (однонаправленный способ определения динамического диапазона); в дБ по
SWDR при отражении, равном 4%; в дБ при прохождении сигнала туда и обратно; в
дБ при прохождении сигнала туда и обратно и отражении равном 4%. Эти значения,
естественно, взаимосвязаны, но отличаются один от другого по значению и
вычисляются в контексте специфических приложений. Поэтому важно знать все
условия измерения динамического диапазона (числовую апертуру используемого
волокна, его геометрические параметры, коэффициент затухания, показатель
преломления чувствительность рефлектометра, и т. д). Некоторые OTDR могут подсчитывать
накапливаемые возвратные потери совместно с измерением обратного рассеяния. Для
того чтобы представить ясное и четкое изображение состояния
волоконно-оптической линии, информация об обратном рассеянии опускается, и на
экране отображаются только возвратные потери плюс коэффициент отражения. Общие
возвратные потери представляют собой максимальное значение на сгибе кривой,
изображенной на рисунке 1, где дан пример 5 км волокна, измеренного при λ
= 1310 нм. Этот
пример иллюстрирует, каким образом растут возвратные потери с увеличением
расстояния, и четко показывает расположение отражений, в частности фронтальное
отражение -45 дБ и два отражения с коэффициентом отражения -40 дБ и -36 дБ на
расстоянии 2.0 км и 3.3 км, соответственно. Таким образом, общие возвратные
потери (33 дБ) и качество компонентов оптической сети могут быть оценены одним
взглядом. Например, для надежной ОС-48 (2.5 Гб/с) передачи данных необходимо,
чтобы системные возвратные потери не превышали 24 децибел с индивидуальным
коэффициентом отражения, не превосходящим -24 дБ. Карта возвратных потерь
предоставляет точную информацию для проверки этих двух параметров путем проведения
быстрого теста на, соответствие техническим требованиям [2].

Рисунок 1 – Пример
накоплений возвратных потерь
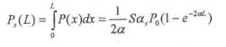
Общие возвратные потери ORL(L)
оптического
волокна длиной L могут быть определены
при общей мощности обратного рассеяния PS(L),

![]()
Детальное описание
измерения возвратных потерь и коэффициента отражения при помощи OTDR можно найти в работе [1,2]. Определим общие возвратные
потери для отрезков одномодового оптоволоконного кабеля длиной 1м, 1 км, 10 км
и 100 км с коэффициентом ослабления 0.19 дБ/км на длине волны 1 = 1550 нм.
Общие возвратные потери в зависимости от длины кабеля L (в км) можно определить выражением [2]:
![]()
Из полученных
результатов (рис. 2) следует, что с увеличением длины L значение
общих возвратных потерь приближается к пределу, который зависит, главным
образом, от коэффициента S.

Рисунок 2 – Расчетная зависимость ORL
от дистанции
Список литературы
1 Горлов Н.И., Семендилова Л.В. Исследование
собственных и дополнительных затуханий в оптических кабелях связи /
Методические указания к лабораторной работе: СибГУТИ, Новосибирск, – 2009.
2 А. В. Листвин, В. Н
Листвин.
Рефлектометрия оптических волокон —М.: ЛЕСАРарт, 2005. 208с