В. О. Саліонов, О. І.
Панасенко, Є. Г. Книш
Запорізький державний медичний університет
Синтез та рентгеноструктурне дослідження
2-(тіофен-2-іл)тіазоло[3,2-b][1,2,4]тріазол-6(5H)-ону
Вступ.
В літературних джерелах міститься багато інформації щодо біологічної
активності похідних 1,2,4-тріазол-3-тіоацетатних кислот. Сполуки даного класу
можуть застосовуватися як для синтезу солей та естерів, так і для синтезу
біциклічних похідних [1, 2, 3].
Тому, ми вважали за доцільне провести реакцію
циклізації 2-((5-(тіофен-2-іл)-2H-1,2,4-тріазол-3-іл)тіо)ацетатної кислоти та
встановити будову отриманої при цьому сполуки.
Матеріали
і методи дослідження. Дослідження фізико-хімічних властивостей проводили згідно
методів, які наведені у Державній Фармакопеї України. Розрахунки електронних
структур молекули проводили напівемпіричним методом AM1 (MOPAK 2000)
з повною оптимізацією геометричної будови молекули для одержання значень
енергій молекулярних орбіталей з використанням програми Hyper Chem® 6.0. Будова 2-(тіофен-2-іл)тіазоло[3,2-b][1,2,4]тріазол-6(5H)-ону при рентгеноструктурному дослідженні розшифрована прямим методом за комплексом
програм SHELXTL.
Положення атомів Гідрогену виявлені
з різницевого синтезу електронної щільності та уточнені по моделі «наїзника» с
Uізо.=nUекв. неводневого атому, пов’язаного
с даним водневим (n=1,5 для
метильних груп і n=1,2 для
інших атомів Гідрогену). Структура
уточнена по F2 повноматричним МНК в анізотропному наближенні для
неводневих атомів до wR2=0,050
по 1604 відображеннях (R1=0,0326), по 1587 відображеннях з F>4σ(F), S=0,777.
Синтез
2-(тіофен-2-іл)тіазоло[3,2-b][1,2,4]тріазол-6(5H)-ону (сполука 2).
А. Суміш 0,01
моль 2-((5-(тіофен-2-іл)-2H-1,2,4-тріазол-3-іл)тіо)ацетатної кислоти (сполука 1)
та 20 мл оцтового ангідриду нагрівають на водяному огрівнику при температурі 60
ºС протягом 8 годин. Розчин виливають у дистильовану воду, осад
відфільтровують. Отримують таким чином, індивідуальну кристалічну речовину (2),
світло-коричневого кольору, не розчинну у воді, мало розчинну в органічних
розчинниках. Для аналізу сполуку перекристалізовано з 1,4-діоксану.
Б. Суміш 0,01
моль 2-((5-(тіофен-2-іл)-2H-1,2,4-тріазол-3-іл)тіо)ацетатної кислоти (1) та 15
мл оксохлориду фосфору (98%) кип’ятять на водяному огрівнику обладнаному
зворотним холодильником протягом 4 год. Отриманий розчин виливають
на подрібнену кригу та нейтралізують NaHCO3 до pH=7. Отриманий осад відфільтровують та промивають водою. Отримують сполуку (2).
Сполуки, отримані за методом А та Б не дають
депресії температури плавлення.
Результати та їх
обговорення. З метою створення нових біологічно активних сполук нами
було досліджено реакції 2-((5-(тіофен-2-іл)-2H-1,2,4-тріазол-3-іл)тіо)ацетатної
кислоти (1) з оцтовим ангідридом та POCl3 (рис. 1).

Рис. 1. Взаємодія
2-((5-(тіофен-2-іл)-2H-1,2,4-тріазол-3-іл)тіо)ацетатної кислоти з оцтовим
ангідридом та POCl3
Так, нагріванням
2-((5-(тіофен-2-іл)-2H-1,2,4-тріазол-3-іл)тіо)ацетатної кислоти (1) з оцтовим
ангідридом на водяному огрівнику при температурі 60 ºС протягом 8 годин отримують
2-(тіофен-2-іл)тіазоло[3,2-b][1,2,4]тріазол-6(5H)-он (2). В іншому випадку,
нагрівання 2-((5-(тіофен-2-іл)-2H-1,2,4-тріазол-3-іл)тіо)ацетатної кислоти (1)
з оксохлоридом фосфору на водяному огрівнику протягом 4 годин також призводить
до утворення 2-(тіофен-2-іл)тіазоло[3,2-b][1,2,4]тріазол-6(5H)-ону (2).
Фізико-хімічні константи сполуки 2 наведені в таблиці 1.
Таблиця 1
2-(тіофен-2-іл)тіазоло[3,2-b][1,2,4]тріазол-6(5H)-он
(2)

|
Сполука |
Т. пл., оС |
Бруто-формула |
Вихід, % |
m/z MH+ |
|
2 |
243-245 |
C8H5N3ОS2 |
84 |
224,0 |
Продовження табл. 1
|
Сполука |
Знайдено, % |
Обчислено, % |
||||||
|
C |
H |
N |
S |
C |
H |
N |
S |
|
|
2 |
43,14 |
2,25 |
18,78 |
28,70 |
43,03 |
2,26 |
18,82 |
28,72 |
Теоретично,
замикання циклу з утворенням 2-(тіофен-2-іл)тіазоло[3,2-b][1,2,4]тріазол-6(5H)-ону
(2) може проходити як за N2 так і за N4 атомом ядра
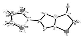
1,2,4-тріазолу. Для вирішення цього питання та остаточного підтвердження будови
після кристалізаціїї сполука 2 була досліджена за допомогою
рентгеноструктурного аналізу (рис. 2). Кінцеві координати атомів наведені в (табл. 2), довжини зв’язків (табл. 3), валентні кути
(табл. 4), відповідно.
Таблиця 2
Координати (х104) та еквівалентні
ізотропні теплові параметри (Å2x103) атомів в структурі
2-(тіофен-2-іл)тіазоло[3,2-b][1,2,4]тріазол-6(5H)-ону (2)
|
Атом |
x |
y |
z |
U(eq) |
|
1 |
2 |
3 |
4 |
5 |
|
S(1A) |
3906(1) |
3910(1) |
2125(1) |
53(1) |
|
C(1A) |
3691(2) |
2291(1) |
2296(1) |
60(1) |
|
C(2A) |
2865(3) |
1706(1) |
1340(1) |
63(1) |
|
C(3A) |
2381(2) |
2585(1) |
450(1) |
52(1) |
|
S(1B) |
2277(5) |
2318(2) |
234(2) |
53(1) |
|
C(1B) |
3111(8) |
1576(3) |
1476(2) |
60(1) |
|
C(2B) |
3771(10) |
2564(2) |
2170(3) |
63(1) |
|
C(3B) |
3731(10) |
3873(3) |
1839(2) |
52(1) |
|
S(2) |
2359(1) |
8540(1) |
-664(1) |
70(1) |
|
O(1) |
540(2) |
6265(1) |
-3151(1) |
83(1) |
|
N(1) |
2943(2) |
6183(1) |
473(1) |
47(1) |
|
N(2) |
1799(2) |
4902(1) |
-1023(1) |
46(1) |
|
N(3) |
1728(2) |
6178(1) |
-1296(1) |
43(1) |
|
C(4) |
2854(2) |
3816(1) |
752(1) |
44(1) |
|
C(5) |
2529(2) |
4950(1) |
57(1) |
41(1) |
|
C(6) |
1094(2) |
6829(1) |
-2385(1) |
44(1) |
|
C(7) |
1484(2) |
8231(2) |
-2118(1) |
57(1) |
|
C(8) |
2427(2) |
6898(1) |
-397(1) |
44(1) |
Таблиця 3
Довжини зв’язків
(Å) в структурі 2-(тіофен-2-іл)тіазоло[3,2-b][1,2,4]тріазол-6(5H)-ону (2)
|
Атоми, між якими утворений хімічний зв’язок |
Довжина зв’язку (Å) |
Атоми, між якими утворений хімічний зв’язок |
Довжина зв’язку (Å) |
|
1 |
2 |
1 |
2 |
|
S(1A)-C(1A) |
1.708(2) |
S(1A)-C(4) |
1.710(1) |
|
C(1A)-C(2A) |
1.351(2) |
C(2A)-C(3A) |
1.415(2) |
|
C(3A)-C(4) |
1.357(2) |
S(1B)-C(4) |
1.702(2) |
|
S(1B)-C(1B) |
1.710(3) |
C(1B)-C(2B) |
1.359(3) |
|
C(2B)-C(3B) |
1.420(3) |
C(3B)-C(4) |
1.361(3) |
|
S(2)-C(8) |
1.738(2) |
S(2)-C(7) |
1.802(2) |
|
O(1)-C(6) |
1.114(2) |
N(1)-C(8) |
1.294(2) |
|
N(1)-C(5) |
1.391(2) |
N(2)-C(5) |
1.328(2) |
|
N(2)-N(3) |
1.366(2) |
N(3)-C(8) |
1.347(2) |
|
N(3)-C(6) |
1.488(2) |
C(4)-C(5) |
1.447(2) |
|
C(6)-C(7) |
1.508(2) |
|
|
Таблиця 4
Валентні кути (град.) в структурі 2-(тіофен-2-іл)тіазоло[3,2-b][1,2,4]тріазол-6(5H)-ону
(2)
|
Атоми, які утворюють валентний кут |
Валентний кут (град.) |
Атоми, які утворюють валентний кут |
Валентний кут (град.) |
|
1 |
2 |
1 |
2 |
|
C(1A)-S(1A)-C(4) |
91.82(7) |
C(2A)-C(1A)-S(1A) |
111.8(1) |
|
C(1A)-C(2A)-C(3A) |
112.3(1) |
C(4)-C(3A)-C(2A) |
112.8(1) |
|
C(4)-S(1B)-C(1B) |
93.6(2) |
C(2B)-C(1B)-S(1B) |
103.6(2) |
|
C(1B)-C(2B)-C(3B) |
124.1(3) |
C(4)-C(3B)-C(2B) |
102.6(3) |
|
C(8)-S(2)-C(7) |
90.23(7) |
C(8)-N(1)-C(5) |
102.8(1) |
|
C(5)-N(2)-N(3) |
101.4(1) |
C(8)-N(3)-N(2) |
110.4(1) |
|
C(8)-N(3)-C(6) |
118.9(1) |
N(2)-N(3)-C(6) |
130.7(1) |
|
C(3A)-C(4)-C(5) |
127.2(1) |
C(3B)-C(4)-C(5) |
122.2(2) |
|
C(3B)-C(4)-S(1B) |
116.0(2) |
C(5)-C(4)-S(1B) |
121.7(1) |
|
C(3A)-C(4)-S(1A) |
111.2(1) |
C(5)-C(4)-S(1A) |
121.57(9) |
|
N(2)-C(5)-N(1) |
114.5(1) |
N(2)-C(5)-C(4) |
123.0(1) |
|
N(1)-C(5)-C(4) |
122.5(1) |
O(1)-C(6)-N(3) |
121.0(1) |
|
O(1)-C(6)-C(7) |
135.4(2) |
N(3)-C(6)-C(7) |
103.6(1) |
|
C(6)-C(7)-S(2) |
113.6(1) |
N(1)-C(8)-N(3) |
111.0(1) |
|
N(1)-C(8)-S(2) |
135.5(1) |
N(3)-C(8)-S(2) |
113.5(1) |
Кристали
2-(тіофен-2-іл)тіазоло[3,2-b][1,2,4]тріазол-6(5H)-ону (2) моноклінні,
при 20°С a=7.345(1), b=10.396(1), c=12.341(1) Å, b = 102.26(1)°, V=920.8(2) Å3, Mr=225.27, Z=4, просторова група P21/с,
dвир=1.625 г/см3,
m(MoKa)=0.547 мм-1,
F(000)=460. Параметри елементарної комірки та інтенсивності 9104
віддзеркалень (2679 незалежних, Rint=0.043) виміряні на
дифрактометрі «Xcalibur-3» (MoKa випромінювання,
ССD-детектор, графітовий монохроматор, ω-сканування, 2qмакс= 60°).
Біціклічний
фрагмент 2-(тіофен-2-іл)тіазоло[3,2-b][1,2,4]тріазол-6(5H)-ону (2) плоский з точністю 0.02 Å. Тіофеновий цикл
розупорядкований за двома положеннями (А і В) із заселеністю 90:10 % внаслідок
обертання навколо зв’язку С(4)-С(5). У переважному конформері А тіофеновий цикл
розгорнутий відносно біциклічного фрагменту таким чином, що атоми Сульфуру
циклів знаходяться в псевдо-цис-конформації (псевдо-торсійний кут
S(1a)-C(4)...C(8)-S(2) - 10.9 (4)°).
Площини двох циклічних фрагментів в обох конформерах (рис. 3.2) практично
копланарні (торсійний кут S(1)-C(4)-C(5)-N(1) - 3.8(2)° у конформері А і 178.1(1)° у конформері
В) [4, 5].

Рис. 2.
Молекулярна будова 2-(тіофен-2-іл)тіазоло[3,2-b][1,2,4]тріазол-6(5H)-ону (2)
Висновки. Таким чином, нами синтезовано нову сполуку та за
допомогою рентгеноструктурного аналізу підтверджено, що сполука (2) має будову саме
2-(тіофен-2-іл)тіазоло[3,2-b][1,2,4]тріазол-6(5H)-ону.
Література:
1.
Кныш Е. Г.
Синтез, физико-химические и биологические свойства N- и S‑замещенных 1,2,4-триазола : дис.
… д-ра фармац. наук / Кныш Е. Г. – Х., 1987.– 350 с.
2.
Панасенко О. І.
Синтез, перетворення, фізико-хімічні та біологічні властивості аміно- і
тіопохідних 1,2,4-тріазолу : дис. … д-ра фармац. наук / Панасенко О. І. – К.,
2005. – 396 с.
3.
Парченко В. В.
Синтез, перетворення, фізико-хімічні та біологічні властивості в ряді
5-фурилзаміщених 1,2,4-тріазол-3-тіонів: Дис.
д-ра фармац. наук. – Запоріжжя, 2014. – 683 с.
4.
Зефиров Ю. В.
Сокращенные межмолекулярные контакты и специфические взаимодействия в молекулярных
кристаллах / Зефиров Ю. В. // Кристаллография. – 1997. – Т. 42, № 5. – С.
936–958.
5. Speakman J.C. //J.Chem.Soc.-1940.-
P.855-858;