В. І. Самілик
Глухівський національний
педагогічний університет
імені Олександра Довженка,
Україна
ШЛЯХИ
ФОРМУВАННЯ ГОТОВНОСТІ МАЙБУТНІХ УЧИТЕЛІВ БІОЛОГІЇ ДО ПРИРОДООХОРОННОЇ
ДІЯЛЬНОСТІ
Відповідно до засад сталого
розвитку, державотворчі процеси мають відбуватися на основі гармонізації
соціальної, економічної та екологічної складових суспільства, оптимальному
співіснуванні людини й природи [15].
Роль біорізноманіття на нашій планеті переоцінити неможливо. Тому проблема
його охорони була й залишаються актуальною, відкритою, пов’язаною з різними
галузями наук та сферами життя. Широке коло дослідників під охороною природи
розуміють «систему міжнародних, державних та громадських заходів, спрямованих
на раціональне використання, відтворення й охорону природних ресурсів, захист
природного середовища від забруднень і руйнувань на благо як теперішнього, так
і прийдешніх поколінь, …заходи, спрямовані на збереження чистоти атмосферного
повітря, вод, ґрунтів, охорону рослинного, тваринного світу з вихованням
дбайливого ставлення до природних ресурсів» [10]. Поняття «біологічне різноманіття», згідно з
Конвенцією про охорону біологічного різноманіття від 1992 року, означає «різноманітність
живих організмів з усіх джерел, включаючи, серед іншого, наземні, морські та
інші водні екосистеми і екологічні комплекси, частиною яких вони є» [7]. Збереження
біорізноманіття – це система правових, організаційних, економічних, фінансових,
матеріально-технічних, освітніх та інших заходів, спрямованих на охорону,
відтворення і використання екосистем, видів тварин і рослин та місць їх
знаходження, а також елементів ландшафтів [16]. Значення біорізноманіття визначається як екологічне, індикаційне, рекреаційне,
освітнє, наукове, економічне, лікувальне, естетичне тощо. Так, цінність для
здоров’я ілюструє наступний приклад: «У 1960 р. у дітей, які страждали на лейкемію, був лише один із п’яти шансів
на виживання. Сьогодні такі хворі мають чотири шанси із п’яти завдяки лікуванню
лікарськими засобами, що містять активні речовини рожевого барвінка, що
зустрічається у тропічних лісах Мадагаскара» [19].
Нормативно-правова база, що визначає важливість природоохоронної діяльності, характеризується не тільки державним, а й міжнародним масштабом дій. Зокрема, мова йде про Конвенцію про біологічне різноманіття [6], Закон України «Про охорону навколишнього природного середовища» [4], Закон «Про Червону книгу України» [3], Концепція національної екологічної політики України на період до 2020 року [8], Цілі в області сталого розвитку на період до 2013 року (прийняті на 70-ій сесії Генеральної асамблеї ООН 25.09. 2015 р.) [18], Положення міжнародної програми розвитку інфраструктури наукових досліджень в галузі збереження біорізноманіття «Діверсітас» («DIVERSITAS») [12].
Рішенням колегії Міністерства
освіти і науки України «Про екологізацію вищої освіти України з метою
підготовки фахівців для сталого розвитку» від 27. 11. 2015 р.
рекомендується вжити заходів для екологізації навчально-виховного процесу з
метою реалізації вимог сталого розвитку, а саме оптимізації співіснування суспільства
і природи. Проблема збереження біорізноманіття України стала об’єктом наукових
розвідок багатьох науковців, зосібно, О. Дудкіна, Я. Мовчана,
В. Патики, Ю. Шеляг-Сосонка. Теоретичні та прикладні аспекти цього
питання висвітлювали Г. Криницький, П. Третяк. Результати пошукової
діяльності дослідників (І. Акімова, Д. Гродзинського,
В. Медведєва та ін.) щодо особливостей охорони природних об’єктів як в
умовах in situ, так ex situ відіграють важливе значення в реалізації екологічної складової концепції
сталого розвитку.
Підготовку майбутніх учителів біології до екологічної освіти обґрунтовано в
наукових дослідженнях О. Абдулліної,
В. Бондаря, С. Вітвицької, О. Дубасенюк, О. Мороза,
Н. Ничкало, І. Підласого, С. Рудишина, В. Сластьоніна,
В. Танської. Наукoвo-метoдичнi
засади прирoдooхoрoннoї oсвiти стали предметом вивчення O. Байрак. Я. Габєв, Л. Родова приділяли увагу природоохоронній
освіта учнів у процесі вивчення біологічних дисциплін. Теорія і практика
підготовки учителів біології до організації природоохоронної діяльності
школярів обґрунтована Е. Шапокєнє.
М. Гриньова, М. Дяченко-Богун розкривають особливості природоохоронного виховання
старшокласників. Навчально-методичні матеріали природоохоронного спрямування
для шкіл та позашкільних закладів пропонують О. Станкевич,
К. Станкевич-Коваль, Н. Дерев’яненко. Особливості
розвитку екологічної культури та екологічного мислення досліджували
О. Біда, Г. Білецька, Г. Білявський, Ю. Бойчук,
В. Крисаченко, В. Кушнір, О. Мітрясова, А. Некос, В. Некос, Г. Тарасенко, М. Швед та
ін. Філософські аспекти теорії і
методики екологічної освіти у контексті професійної освіти розкриває
Н. Гнілуша.
Ґрунтовний
аналіз ролі екологічної освіти у використанні й збереженні біорізноманіття відображено
в працях В. Онопрієнка [11]. Форми та методи підготовки майбутніх учителів
до екологічного виховання молоді у своїх дослідження розкриває С. Совгіра [17]. Біологічна складова
професійної підготовки екологів у вищій школі на теренах України та зарубіжних
країн детально вивчається С. Рудишиним [13]. За його словами: «Екологічна освіта ХХI
ст. є новим сенсом, філософією і метою сучасного освітнього процесу як єдиного
можливого засобу продовження і розвитку людської цивілізації. Екологічним
пріоритетом є освіта для сталого розвитку суспільства, всебічний розвиток
екологічної освіти і культури на засадах екоцентричної (а не антропоцентричної)
парадигми» [14].
Не зважаючи на численні теоретико-методологічні
надбання, питання підготовки висококваліфікованих учителів біології та
формування у них готовності до природоохоронної діяльності залишається
відкритим і потребує розробки ефективних методичних підходів.
Сучасна наука оперує значним потенціалом
теоретичного й практичного матеріалу щодо розуміння поняття готовності
особистості до різних видів діяльності. Зміст, структура, показники цієї
категорії увійшли до кола наукових інтересів М. Дьяченка, Т. Іванової,
Л. Кандибовича, Я. Коломенського, А. Пуні, Д. Узнадзе,
П. Чамати. Готовність до діяльності, як зазначають М. Дьяченко та
Л. Кандибович, – це «цілеспрямований прояв особистості, що включає її
переконання, погляди, ставлення, мотиви, почуття, вольові та інтелектуальні
якості, знання, навички, уміння, установки, налаштування на певну поведінку» [2]. У структурі готовності до професійної діяльності вони
виокремлюють наступні складові: мотиваційний (інтерес до професії), позитивне
ставлення до професійної діяльності; орієнтаційний (професіоналізм у роботі);
операційний (комплексний підхід до професійної діяльності); вольовий (самоконтроль
в процесі професійної діяльності); рефлексивний (оцінювання та самоаналіз) [2].
«Сталий розвиток не може бути
забезпечений лише на основі політичних домовленостей, фінансового стимулювання
і технічних рішень. Він вимагає змін у мисленні та способах дій. Ключову роль у
забезпеченні таких змін відіграє освіта», – зазначається у Глобальній програмі
дій з освіти в інтересах сталого розвитку [1]. Тому мета
нашого дослідження – охарактеризувати окремі шляхи формування готовності
майбутніх вчителів біології до природоохоронної діяльності.
Запропонований нами підхід ґрунтується
на активізації позанавчальної діяльності, посиленні практичної підготовки під
час польових практик. З метою досягнення високої результативності, було
передбачено індивідуальну, групову та масову форми роботи (рис.1).


Рис. 1. Шляхи формування готовності майбутніх учителів біології до
природоохоронної діяльності
Індивідуальна робота реалізовувалась
у рамках участі студентів у наукових гуртках, що функціонують при кафедрі.
Змістом навчальної науково-дослідної роботи передбачалось написання рефератів,
тематичних повідомлень; виконання експериментальних (камеральних) досліджень, теоретичних
розвідок з елементами проблемного пошуку; підготовка наукових тез, статей,
виконання курсових та дипломних робіт, участь у конференціях. Груповою формою
роботи було передбачено організацію та реалізацію проектів, наприклад, серед
студентської молоді: «Екологічний квест «Зеленими слідами», «Годівничка»,
«Пам’ятки природи рідного міста», для слухачів Університету третього віку – «Природа
через об’єктив». Під час масових форм робіт – студентам самостійно необхідно було
розробити сценарій акції, зібрати бажаючих, підрахувати витрати на інвентар,
домовитися про необхідні технічні ресурси (наприклад, акції «День здоров’я»,
«День птахів», «День Землі», «Всесвітній день води», «Міжнародний день
біологічного різноманіття», «Чистий берег» тощо).
Згідно з планом роботи наукового
гуртка студенти щомісячно видають газету, де публікуються цікаві факти,
результати власних досліджень, цим самим привертаючи увагу до місцевих,
регіональних та глобальних проблем, стимулюють пізнавальний інтерес,
удосконалюють та закріплюють власні професійні навички в галузі охорони
природи. Учасники гуртка проводять екскурсії для учнів місцевих шкіл на базі
Музею Природи факультету природничої і фізико-математичної освіти.
Наступною базою для інтеграції
знань щодо особливостей хорони природних об’єктів визначаємо польові практики. Наприклад, в умовах проведення останніх, студентам пропонується визначити
ступінь антропогенного навантаження на природні біоценози методом
ліхеноіндикації. У результаті такої роботи вони ознайомлюються з особливостями
визначення величини антропогенного навантаження на ділянку. Вчаться визначати
видову насиченість біорізноманіття, формулювати висновки та прогнози за
результатами отриманих даних. Для цього студенти спочатку поглиблюють теоретичні
знання, працюють з відповідними визначниками. Вивчають групи лишайників, що
диференціюються за ступенем чутливості до антропогенного навантаження.
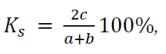
Ознайомлюються з особливостями оцінки видової насиченості, порівнюють між собою
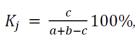
дослідні ділянки, використовуючи коефіцієнт схожості Жаккара (Кj), Сенерсена (Ks), та коефіцієнт диференціальності (Kd).

де a – число видів лишайників на першій дослідній ділянці, b – число видів лишайників на другій
дослідній ділянці; с – число видів лишайників, спільних для обох ділянок.
![]()
де a – число видів лишайників, що зустрічаються лише на
першій дослідній ділянці; b
– число видів лишайників, що зустрічаються лише на другій дослідній
ділянці; с – число видів лишайників, спільних для обох ділянок [9].
Також звертаємо увагу на
особливості використання тест-об’єктів для аналізу токсичності речовин, що
завдають шкоди живим організмам чи екосистемам в цілому. Для цього
використовується методика «Allium test», що дає можливість оцінити
мутагенний і токсичний ефекти компонентів хімічної та фізичної природи.
Індикатором слугує цибуля ріпчаста (Allium cepa). «Allium test» рекомендований
для дослідження майже всіх хімічних, фізичних та біологічних факторів. Він є
швидким, легким для застосування, а також високочутливим [5].
Якщо попередній
приклад відображає вплив на розвиток когнітивної складової структури
особистості та практичних навичок, то стимулювання емоційно-вольової сфери та
формування життєвих цінностей екоцентричного спрямування ефективно відбувається
під час тренінгових занять, які передбачають різі види вправ. Проілюструємо
декілька з них:
Вправа 1. «Ланцюг життя»
Учасникам пропонується на смужці паперу написати своє
ім’я, згорнути її і склеїти. Потім на іншій написати імена своїх мами й тата,
склеїти їх у гірлянду з першою. На третій – імена своїх двох бабусь і дідусів,
також приєднати до гірлянди. Із четвертою ланкою, де мають бути зазначені імена
прабабусь і прадідів можуть виникнути проблеми (і так далі, скільки це
можливо). У кожного вийде свій ланцюг. Потім ведучий коментує це, проводить
аналогії з тваринним та рослинним світом. Пропонує зруйнувати ланцюг. Студенти
висловлюють свої думки, відчуття.
Вправа 2. «Зоологічний балет»
Учасникам пропонується
вибрати собі будь-яку тварину чи рослину, потім на хвилину потрібно стати нею,
«перейнявши» її
форму, рухи,
звички, звуки і т.п. Вибір не озвучується. Треба повзати,
стрибати, літати, створювати відповідні звуки, рости, при цьому
взаємодіючи з іншими. Учасників слід орієнтувати на вираження
не тільки зовнішніх рис, але і «внутрішнього світу» обраної тварини чи рослини. При
виконанні вправи можна шуміти, активно рухатися, виражати свої почуття – гнів,
страх, задоволення і т.д.
У підсумку учасники
діляться з групою своїми відчуттями від вправи.
Вправа 3. «Дискусія»
Людство не може не використовувати
природні ресурси. Проте, рідко хто замислюється над результатами своєї
діяльності. Спробуймо знайти вихід із цієї ситуації. Необхідно поділитися на
дві групи. 1-ша група виконує роль мешканців міста, а 2-га – спробує увійти в
роль «екологів». Завдання для «екологів»: закликати «мешканців» вступити до
їхньої організації, раціонально використовувати природні ресурси. Стати членом
цієї спілки може тільки той, хто зобов’яжеться своєю діяльністю не шкодити
природі і брати посильну участь у вирішенні екологічних проблем. Завдання для
«мешканців»: вказати на суперечності, що заважають їм робити так, як цього вимагають
представники екологічної організації. Вправа завершується рефлексією.
Вправа 4. «Екологічний city-quest»
У «міських джунглях» вашій команді
необхідно пройти складний маршрут, у вузлових точках якого її будуть чекати
загадки (екологічного змісту та на загальну ерудованість з питань довкілля),
відповідь на які відкриє доступ до наступного пункту. За неправильно вгадані
наступні пункти призначається штраф. Перемагає в грі команда, що пройшла весь
маршрут і з мінімальною кількістю штрафних балів. Кількість гравців, що йдуть
маршрутом – від 5 до 10 осіб.
Вправа 5. «Кінофестиваль»
Учасникам необхідно об’єднатися у
творчі знімальні групи, для створення фільму на екологічну тематику й
запропонувати його глядачам. На виконання завдання може відводитися від декількох
годин, до декількох днів. Фільми аналізуються колективно. Фінал «Кінофестивалю»
проходить за всіма правилами вручення премії Оскар (номінація «Кращий фільм про
довкілля»).
Отже, формування готовності до
природоохоронної діяльності в майбутніх учителів біології є комплексним
послідовним процесом, що інтегрується в предмети циклів фундаментальної,
природничо-наукової, професійної та практичної підготовки. Перспективні напрями
наукових пошуків цієї проблеми вбачаємо в розробці практично орієнтованого
курсу для студентів біологів педагогічних навчальних закладів.
Література
1.
Глобальная программа действий по образованию в интересах
устойчивого развитияв качестве последующей деятельности по итогам Десятилетия
образования в интересах устойчивого развития ОНН в период после 2014 г.
(Резолюция 37 C/12 Генеральной конференции ЮНЕСКО. – С. 8. – [Електронний
ресурс]. – Режим доступу: http://unesdoc.unesco.org/images/0023/002305/ 230514R.pdf.
2.
Дьяченко М. И. Психологические проблемы
готовности к деятельности / М. И. Дьяченко, Л. А. Кандыбович.
– Минск: Изд-во БГУ, 1976. – С. 4.
3.
Закон «Про Червону
книгу України». – [Електронний
ресурс]. – Режим
доступу : http://zakon5.rada.gov.ua/laws/show/3055-14.
4.
Закон України «Про охорону навколишнього
природного середовища». – [Електронний
ресурс]. – Режим
доступу : http://zakon2.rada.gov.ua/laws/show/1264-12.
5. Клименко О. М.
Біоіндикаційна оцінка токсичності водного середовища на основі моделювання
гранично – допустимих концентрацій іонів сульфату міді [Електронний
ресурс] / [Клименко О.М., Петрук А.М.] //
Збірник наукових статей “ІІІ-го Всеукраїнського з’їзду екологів з міжнародною
участю”. – Вінниця, 2011. – Том.1. – С.196–198. – [Електронний ресурс]. – Режим доступу : http://eco.com.ua/.
6.
Конвенція про біологічне різноманіття: [відп.
ред. К.І. Гарадащук]. – К.: Стилос, 1997. – 154 с. Концепція
екологічної освіти України // Директор школи. – квітень 2002. – № 16. – 48 с.
7.
Конвенція про охорону біологічного різноманіття
від 1992 року. – [Електронний
ресурс]. – Режим
доступу : http://zakon0.rada.gov.ua/laws/show/995_030.
8.
Концепція
національної екологічної політики України на період до 2020 року. – [Електронний ресурс]. – Режим доступу : http://zakon2.rada.gov.ua/laws/show/880-2007-%D1%80.
12.
Програма Діверсітас. – [Електронний ресурс]. – Режим доступу : http://www.diversitas-international.org/.
14.
Рудишин С. Д. Стан екологічної освіти в практиці вищої школи зарубіжних країн Вісник
Житомирського державного університету. Випуск 40. Педагогічні науки. – [Електронний ресурс]. – Режим доступу : http://eprints.zu.edu.ua/2404/1/81-85.pdf.
15.
Садовенко А. Сталий розвиток суспільства: навчальний посібник / А. Садовенко,
Л. Масловська, В. Середа, Т. Тимочко. – 2 вид. – К.; 2011. – 392
с.
16.
Словник-довідник
сучасних екологічних та природоохоронних термінів / [укл. Гончаренко Г. Є.,
Совгіра С. В.]. – К. : Наук. світ, 2010. – С. 26.
17.
Совгіра С. Форми та методи підготовки
майбутніх учителів до екологічного виховання учнів / С. Совгіра, Г. Гончаренко
// V-й ВСЕУКРАЇНСЬКИЙ З’ЇЗД ЕКОЛОГІВ З МІЖНАРОДНОЮ УЧАСТЮ (Екологія/Ecology-2015), 23-26
вересня, 2015. Збірник наукових праць. – Вінниця: ТОВ «Нілан-ЛТД», 2015. – С.
253.
18.
Цели в области устойчивого развития на
период до 2030 г. Приняты на 70-й сессии Генеральной Ассамблеи ООН 25 сентября
2015. – [Електронний
ресурс]. – Режим
доступу : http//daccess-dds-ny.un.org/doc/UNDOC/GEN/N15/291/92/PDF/N1529192.pdf.
19.
Яцик А. В. Екологія
біорізноманіття. Підручник / А. В. Яцик, Ю. М. Грищенко, А. Ю. Якимчук,
І. А. Пашенюк; за ред. А. В. Яцика. – К. : Генеза, 2013. – С. 149.