1Е.В. Демина, аспирант кафедры химии Курского государственного университета

2Н.Н. Басаргин, доктор химических наук, профессор, заслуженный деятель науки РФ

1Курский государственный университет, г. Курск, Россия

2Институт геологии рудных месторождений,

петрографии, минералогии и геохимии РАН (ИГЕМ РАН), г. Москва

Определение констант образования комплексов Sr (II) с полимерными хелатообразующими сорбентами на основе полистирола с о – гидрокси – азо – о, - гидрокси функциональной группой

 

      Стронций относится к группе токсичных элементов и способен оказывать негативное влияние на различные объекты окружающей среды.  Контроль за его содержанием в различных объектах, является важной аналитической задачей. Прямое определение стронция в природных и техногенных объектах в присутствии  мешающих элементов приводит к значительному снижению точности и чувствительности количественного определения современными инструментальными методами анализа. Для расширения возможностей физико-химических методов анализа в направлении индивидуального определения элементов в сложных по составу объектах, наиболее перспективным является использование полимерных комплексообразующих сорбентов. Применение сорбентов позволяет значительно снизить пределы обнаружения элементов и устранить влияние матричных компонентов.

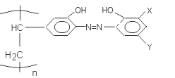
      Все исследуемые сорбенты, были синтезированы на основе сополимера стирола с дивинилбензолом макропористой структуры в Центральной химической лаборатории ИГЕМа [1]. Данные о структуре сорбентов указаны в таблице 1.

                                                                        

 

 

 

                                                                                                                 Таблица 1.

Исследуемые сорбенты

 где X,Y – различные заместители

№ п/п

Название сорбента

Заместители

-X

-Y

1

Полистирол -2-окси-азо-2/-окси, 3,5-динитробензол

-NO2

-NO2

2

Полистирол -2-окси-азо-2/-окси, 5-нитро, 3-сульфобензол

-SO3H

-NO2

3

Полистирол -2-окси-азо-2/-окси, 5-сульфобензол

-H

-SO3H

4

Полистирол -2-окси-азо-2/-окси,5-хлорбензол

-H

-Cl

5

Полистирол -2-окси-азо-2/-окси-бензол

-H

-H

6

Полистирол -2-окси-азо-2/-окси, 3,5-дисульфобензол

-SO3H

-SO3H

7

Полистирол -2-окси-азо-2/-окси, 5-нитробензол

-H

-NO2

 

       Сорбенты представляют собой гранулы размером 0.25-1 мм темно- коричневого цвета, нерастворимые в воде, кислотах, щелочах и органических растворителях.      Для исследования были использованы очищенные сорбенты в Н+ - форме.

        Хелатные сорбенты способны образовывать с ионами металлов прочные комплексные соединения. Константы устойчивости (lgb)  комплексов металлов с функционально – аналитическими группами (ФАГ) полимерного хелатного сорбента являются одной из важнейших характеристик процесса комплексообразования и определяют возможность групповой или индивидуальной сорбции. Применяются различные способы расчета этих констант, основанные на измерении изменений концентрации иона металла в растворе при контакте с комплексообразующими сорбентами [3]. Получаемые при расчете величины констант устойчивости являются приближенными, так как невозможно учесть все факторы, оказывающие влияние на процесс комплексообразования в гетерогенной среде. Определяемые экспериментально константы образования являются концентрационными. Однако эти величины характеризуют аналитические свойства сорбента.

         Величину lgb определяли потенциометрическим методом по константе равновесия [5]. Для этого 10 навесок сорбента по 0,100 г помещали в бюксы вместимостью 35 мл и приливали 20 мл раствора NaNO3 (1 моль/л), содержащего различные количества NaOH. При этом соотношение NaOH/сорбент меняли в интервале 0 моль NaOH/0,100 г сорбента до величины СЕС. Затем добавляли во все растворы соль Sr (II). После установления равновесия измеряли рН раствора. Концентрацию Sr (II) в растворе после сорбции определяли фотометрическим методом c реагентом нитхромазо [4] на спектрофотометре СФ-46.

Процесс образования комплекса ионов металла Ме с функциональными группами сорбента L в общем виде может быть представлен схемой:

Ме + nL = MeLn                              

Константа равновесия реакции соответствует константе образования комплекса и может быть записана следующим образом

                                                                                  (1),

или, в логарифмической форме lg b = lg[MеLn] - lg[Ме] - nlg[L]             (2).       

Нерастворимость сорбента и соответственно его хелата позволяет определить концентрацию комплекса [MеLn]  и концентрацию незакомплексованных ионов металла [Ме] в системе при равновесии.

Концентрация незакомплексованных функциональных групп [L], находящихся в координационно-активной форме, может быть определена из уравнения константы диссоциации:

                                                                (3),

где [LH] = [Lобщ] - [NaOH] - [H+];

                 [NaOH] - концентрация добавленного раствора щелочи, ммоль/мл;

                  [Н+] - равновесная концентрация ионов водорода в системе,  ммоль/мл.

Полученные данные для расчета констант образования комплексов стронция с ПХС приведены в таблице. 2.

Таблица 2.

Результаты определения констант образования комплексов стронция (II) с ПХС

Сорбент

[Ме].105,

моль/л

[МеLn].103,

моль/г

lg[L]

lg[LH]

lgb

1

1,67

0,63

6,27

-2,11

7.31

2

1,49

0,39

-5,92

-1,34

7.02

3

1,61

0,54

-6,65

-2,04

7.72

4

1.51

0.41

-5.87

-1.49

6.98

5

1.48

0.47

-5.76

-1.05

6.77

6

1.58

0.59

-6.71

-0,99

7.69

7

1.55

0.62

-6.28

-1,75

7.14

          

         Из полученных результатов видно, что устойчивость комплексов  подчиняется закономерностям, характерным для мономерных органических реагентов [2] с той разницей, что комплексообразование катионов стронция с функциональными группами, закрепленными на полимерной матрице, связано со значительно большими энергетическими затратами. Поэтому хелатные комплексы с полимерными сорбентами менее прочны [5].

 

Литература:                                                                              

1. Басаргин Н.Н., Розовский Ю.Г., Чернова Н.В. Синтез, исследование и применение хелатообразующих сорбентов для концентрирования и определения микроколичеств элементов в природных и сточных водах // Журн. аналит. химии. - 1992. - Т. 47. - № 5. - С. 787-793.

2. Басаргин Н.Н., Розовский Ю.Г., Жарова В.М. и др. Органиче­ские хелатные сорбенты в неорганическом анализе. - В кн.: Органические реагенты и хелатные сорбенты в ана­лизе минеральных объектов. - М.: Наука, 1980.- С.82-116.

3. Бек М., Надьпал И. Исследование комплексообразования новейшими методами. - М.: Мир, 1989. - 412 с.

4. Крешков А.П., Кузнецов В.В. //Журн. аналит. химии. – 1970. Т.45. С. 45.

5. Салдадзе К.М., Копылова-Валова В.Д. Комплексообразующие иониты. – М.: Химия, 1980. – С. 335