ст.викл. ЖУРАКОВСЬКИЙ Я. Ю., cтудент ШУХ Б. І.
Національний технічний університет
України «Київський політехнічний інститут», Україна
Математичне моделювання статики та динаміки холодильника
дистиляту
Холодильник дистиляту – кожухотрубний
теплообмінник в якому відбувається охолодження дистиляту, що надходить із
подільника флегми. Холодильник може
використовуватись в багатьох технологічних процесах, де присутня дистиляція
води, наприклад, в процесі очищення стічної води методом ректифікації.
Метою дослідження є розробка математичної моделі
динаміки та статики холодильника дистиляту на основі фізичних законів, за якими
відбувається процес теплообміну в апараті.
Розрахункову схему холодильника з позначенням основних
технологічних параметрів наведено на рисунку 1.1. На цій схемі позначені такі технологічні параметри:
FП – витрата дистиляту, який
надходить із подільника флегми до холодильника;
tп, tК, Cп, CК – температура та
теплоємність дистиляту (вихідної речовини) на
виході з теплообмінника;
FВ3, CВ – витрата та теплоємність води що
охолоджує дистилят;
tВ31 – температура води на вході в теплообмінник;
tВ32 – температура води на виході із теплообмінника.
При моделюванні статичного режиму холодильника
дистиляту робимо такі припущення:
1.
об’єкт розглядається як об’єкт із зосередженими параметрами;
2.
витрата дистиляту на вході в теплообмінник не змінюється з часом;
3.
теплоємність дистиляту і води зі зміною температури залишається сталою;

Рисунок 1.1 – Розрахункова схема холодильника
дистиляту
Оскільки необхідно регулювати температуру
дистиляту на виході з холодильника за допомогою охолоджуючої води, що подається
в його міжтрубний простір, розглядаємо такі входи та виходи:
·
вихід – температура дистиляту на виході (tК);
·
вхід – витрата води у теплообміннику (FВ3);
·
збурення – температура води для охолодження дистиляту (tВ31) та витрата дистиляту (FП).

Рисунок 1.2 –
Структурно-параметрична схема холодильника дистиляту
Тепловий баланс трубного простору [1]:
QП – QК – QТОБ3 = 0,
де QП = FП·Ck·tп – кількість тепла, яке приноситься дистилятом;
QК = FП·CК·tК – кількість тепла, яке
виносить дистилят;
QТОБ3 = K3·S3·( tК – tВ32) – кількість тепла теплообміну, яке відбирається водою в
міжтрубному просторі. Тут К3 – коефіцієнт теплопередачі, S3 – площа поверхні
теплообміну.
Тепловий баланс води в міжтрубному просторі:
QВ31 + QТОБ3 – QВ32 – QНС3= 0,
де QВ31=FВ3·tВ31·CВ – кількість тепла, принесеного потоком води у між трубний простір
холодильника;
QВ32=FВ3·tВ32·CВ – кількість тепла, винесеного
потоком води з міжтрубного простору холодильника;
QНС3=0,2·QТОБ3 – кількість тепла, яке
втрачається з міжтрубного простору холодильника в навколишнє середовище.
Зміна вихідної температури дистиляту описується рівнянням, що складає статичну модель
процесу:
|
|
(1) |
При моделюванні динамічного режиму використовуються
такі додаткові технологічні параметри, а саме:
·
об’єм дистиляту в трубному просторі
холодильника - VД,
·
об’єм води в міжтрубному просторі холодильника - VВ,
·
площа теплообміну в холодильнику – S.
Позначимо коефіцієнт теплопередачі від дистиляту в
холодильнику до охолоджуючої води як α.
Рівняння динаміки для трубного простору [2]:
FП· tп·Cп – FП·tК·CК – α·S·( tК – tВ32) = CК·VД·ρК·
,
де VД – об’єм дистиляту в
трубному просторі теплообмінника;
ρК – густина дистиляту.
Рівняння динаміки для міжтрубного простору:
FВ3·tВ31·CВ + 0,8·α·S·( tК – tВ32) – FВ3·tВ32·CВ = CВ·VВ·ρВ·
,
де VВ – об’єм води в
міжтрубному просторі теплообмінника;
ρВ – густина води.
Після лінеаризації, перетворення за
Лапласом та всіх необхідних спрощень отримаємо рівняння, яке приведене до
канонічної форми:
|
CК·VД·ρК·CВ·VВ·ρВ |
·p2·tК(p)+ |
|
(FП·CК + α·S)·(FВ3·CВ + 0,8·α·S) – 0,8·α2·S2 |
|
+ |
CК·VД·ρК·(
FВ3·CВ + 0,8·α·S)+ (FП·CК+α·S)·CВ·VВ·ρВ |
·p·tК(p)+tК(p)= |
|
(FП·CК + α·S)·(FВ3·CВ + 0,8·α·S) – 0,8·α2·S2 |
|
= |
α·S·( tВ31·CВ – tВ32·CВ) |
·FВ3(p). |
|
(FП·CК + α·S)·(FВ3·CВ + 0,8·α·S) -0,8·α2·S2 |
Введемо позначення:
|
A1 = |
CК·VД·ρК·CВ·VВ·ρВ |
, |
|
(FП·CК + α·S)·(FВ3·CВ + 0,8·α·S) – 0,8·α2·S2 |
|
A2 = |
CК·VД·ρК·(
FВ3·CВ + 0,8·α·S)+ (FП·CК + α·S)·CВ·VВ·ρВ |
, |
|
(FП·CК + α·S)·(FВ3·CВ + 0,8·α·S) – 0,8·α2·S2 |
|
K = |
α·S·( tВ31·CВ – tВ32·CВ) |
, |
|
(FП·CК + α·S)·(FВ3·CВ + 0,8·α·S) -0,8·α2·S2 |
Маємо рівняння:
A1·p2·tК(p) + A2·p·tК(p) + tК(p) = K·FВ3(p);
Передатна функція каналу FВ3 → tК:
WFВ3→tК(p) = tК(p)/ FВ3(p) = K /(A1·p2+A2·p+1). (2)
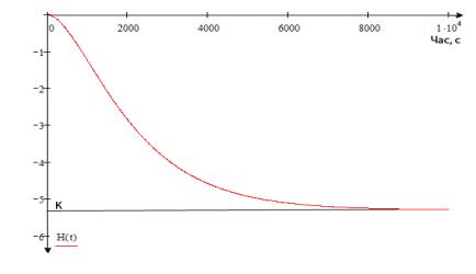
Перехідна характеристика для
каналу FВ3→tК, при
робочому режимі навантаження холодильника дистиляту, зображена на рисунку 1.3.

Рисунок 1.3 - Перехідна характеристика каналу
FВ3→ tК
Одержані в результаті моделювання рівняння (1, 2)
складають статичну та динамічну моделі холодильника дистилята. Як видно з (рис.
1.3) та (2) об’єкт у динамічному відношенні представляє собою аперіодичну ланку
другого порядку. Отримані моделі можна використати для розрахунку налаштування
системи автоматичного регулювання даним апаратом. Враховуючі усі прийняті
припущення областю застосування даної моделі є навчальний процес та попередні
розрахунки при проектуванні систем регулювання.
Література:
1. Остапенко Ю.О. Ідентифікація та моделювання технологічних об’єктів
керування / Ю.О. Остапенко – К: Задруга, 1999. – 420с.
2. Моделирование систем: метод.
указания / сост.: С.В. Фролов, А.А. Третьяков, С.Б. Путин, С.А. Скворцов. –
Тамбов : Изд-во Тамб. гос. техн. ун-та,
2007. – 32 с.