Технические науки 8
Соборницкий
В.И., Павлюс С.Г., Березкин А.О.
Украинский
государственный химико-технологический университет
Учет необратимого
захвата водорода при наводороживании металлов
Явление проникновения
водорода в металл и связанное с ним снижение механических свойств металлических
конструкций, получило название водородной хрупкости. Из-за недооценки подобного
явления часто наблюдается снижение прочности ответственного оборудования в
производственной практике. В ряде случаев это приводит к катастрофическим
последствиям. По оценке экспертов ущерб от водородной коррозии дает почти
десятую часть от общих потерь металла за счет всех видов коррозии.
Наряду с процессом
обратимого захвата водорода дефектами структуры твердой фазы, имеет место также
его взаимодействие с «ловушками» другой природы.
Кинетическая схема для
такого случая будет включать два параллельных маршрута [1,2].

Где К3 – константа скорости необратимого захвата.
К1 и К2 – константы скоростей захвата
и освобождения водорода.
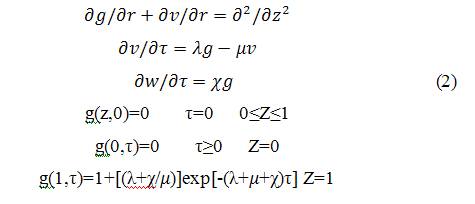
Диффузионная задача для (1) запишем в виде [3]

Граничное условие на
входной поверхности g(τ) получено из баланса
потоков водорода на границе раздела фаз и учитывает перераспределение
расчетного и захваченного дефектами
структуры водорода во времени. В [2] обозначено:

Ѳ и
- соответственно степень заполнения и количество необратимых
«ловушек»;L- толщина мембраны; DН- решеточный коэффициент диффузии водорода; g(z,τ)
– концентрация водорода в металле, как функция расстояния и времени; V – поток
водорода;
- концентрация водорода на входной стороне мембраны.
Nреш
и Nлов –представляют собой число мест в решетке и количество
«ловушек» в единице объема.
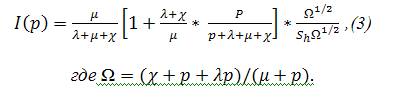
Путем
решения краевой задачи диффузии (2) было получено выражение для тока
проникновения водорода в операторной форме т.е изображение тока проникновения.
Обратное преобразование выражения (3) дает оригинал тока
проникновения I(τ),которое из-за громоздкости здесь не приводится.
Вычисления I(τ) для постоянных значений
параметров λ и , характеризующих обратимый захват водорода и при варьировании величины χ, определяющей скорость
необратимого взаимодействия, приведены на рис. 1.
|
|
Рис.1 Зависимость токов проникновения водорода от времени
в относительных единицах. Случай наложения обратимого захвата водорода
дефектами структуры твердой фазы =0,1; λ=0,1. Параметр χ указан на рисунке. |
Из приведенных графиков видно, что
величина константы скорости необратимого захвата существенным образом влияет на
стационарный ток проникновения водорода при
.
Кроме того изменяются величины тока максимума кинетической
кривой. Продифференцировав общее
уравнение для тока проникновения I(τ) и приравняв его к нулю, была
получена формула для определения времени достижения максимума тока, по которой
были определены численные значения
для различных
значений χ.
Они
представлены на рисунке (2) в виде зависимости
.
|
|
Рис.2 Зависимости времени достижения максимального
значения тока проникновения водорода τmax, его величины Imax и стационарного
тока I∞ от параметра
χ, характеризующего необратимый захват:
=0,1; λ=0,1. |
Полученные значения
использовались для
вычисления максимального тока проникновения Imax, а также установившегося значения тока проникновения I∞ при
.
Литература.
1.
Zakroczymsky T.//Corrosion.1982.V38.p.218-223.
2.
Крапивный Н.Г.//
Электрохимия.1982.т.17.с1174-1179.
3.
Chavane A.// Corrosion.1986.V42,N1.p/54-61.