аспирант Н.А. Щукин
Харьковский национальный
университет радиоэлектроники, Украина
к.т.н. Е.В. Высоцкая
Харьковский национальный
университет радиоэлектроники, Украина
к.м.н. В.В. Седак
Городская клиническая
больница №2, Украина
МАТЕМАТИЧЕСКАЯ МОДЕЛЬ ДЛЯ ПРОГНОЗИРОВАНИЯ
ТЕЧЕНИЯ ОНКОЛОГИЧЕСКОГО ЗАБОЛЕВАНИЯ ПРЯМОЙ КИШКИ ПОСЛЕ РАДИКАЛЬНОЙ ОПЕРАЦИИ
Рак прямой кишки — одна из наиболее частых
злокачественных опухолей, которая занимает четвертое место в мире в структуре
онкологической заболеваемости. Сегодня в мире ежегодно регистрируется 510 000
новых случаев рака толстой кишки, из которых рак прямой кишки составляет не
меньше 30-40%. По современным представлениям, наиболее перспективными для
большинства локализаций злокачественных опухолей являются комбинированные и
комплексные методы лечения.
Наиболее распространённый комбинированный метод
лечения онкологического заболевания прямой кишки – назначение химиотерапии
после радикальной операции для предупреждения развития метастазов (адъювантная
химиотерапия) или при наличии метастазов. Актуальным вопросом является прогноз
течения онкологического заболевания прямой кишки после радикальной операции с
целью своевременного определения адекватного комплекса реабилитационных
восстановительных мероприятий и иммунокоррекции перед химиотерапией.
На сегодняшний день существует интегральный маркер
совокупности патологических процессов в организме в реальном времени – показатель процента
электроотрицательных ядер (ПЭОЯ) клеток букального эпителия, позволяющий
прогнозировать течение онкологического заболевания прямой кишки после
радикальной операции [1].
На
основании показателя ПЭОЯ можно не только контролировать, но и регулировать
гомеостатическую активность организма и его систем в процессе лечения
онкологических заболеваний [2]. Однако методы, использующие данный показатель
слабо формализованы и не изучены до конца.
Прогнозирование течения онкологических
заболеваний без привлечения современных информационных технологий является
трудоемкой задачей. А применение математического аппарата и информационных
технологий с использованием вычислительной техники позволит дополнительно
изучить и формализовать методы прогнозирования, основанные на показателе ПЭОЯ.
А так же позволит повысить качество диагностики и прогнозирования протекания онкологических
заболеваний [3].
Целью исследования является разработка
математической модели для прогнозирования течения онкологического заболевания
прямой кишки по показателям ПЭОЯ, которая направлена на повышения точности
прогноза и своевременного определения адекватного комплекса реабилитационных
восстановительных мероприятий и иммунокоррекции перед химиотерапией.
Нами были проанализированы данные 41-го пациента
в возрасте 55-65 лет с онкологическим заболеванием прямой кишки третей стадии до и после радикальной
операции. Исследования проходили в Харьковской городской клинической
больнице №2, под руководством заведующего проктологического отделения В.В.
Седака.
У пациентов каждый день в
9-00 неинвазивно брались пробы клеток буккального эпителия на протяжении 2-х
дней до операции и 12 дней после операции. В сумме пробы ПЭОЯ брались на
протяжении 14 дней, что является средним сроком пребывания пациентов в Харьковской городской
клинической больнице №2 с данным диагнозом в стационаре. По пришествию 21 дня после радикальной операции пациентам
необходимо было пройти химиотерапию, но поскольку в стационаре они находились
всего 12 дней, то необходимо было провести прогнозирование с использованием
математических моделей на 9 дней.


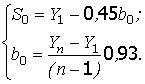
где
t – независимая переменная (время),
1,2,…n;
Yt – фактическое значение
показателя ПЭОЯ для момента времени t;
St - сглаженное значение
фактического значения показателя Yt;
bt - сглаженное значение
тренда для момента времени t;
εt – значение остатков
.
Полученная математическая
модель является адекватной, ее точность составила 93,5%, она позволила для
каждого пациента прошедшего радикальную операцию индивидуально определить
адекватный комплекс реабилитационных восстановительных мероприятий перед
химиотерапией, учитывая степень
морфо-функциональных изменений вызванных как собственно онкопатологией, так и
последствиями радикального лечения.
Прогноз
показал, что для 34-х пациентов, прошедших радикальную операцию, значения показателя
ПЭОЯ динамических кривых состояния организма за 21 день приблизились к норме
гомеостатической активности, что говорит о готовности пациента к химиотерапии.
Тогда как для 7-и пациентов значения показателя ПЭОЯ были далеки от нормы, что
говорило о нежелательном применении химиотерапии, а требовались дополнительные
лечебно-профилактические мероприятия для улучшения состояния организма
пациентов.
Таким образом, разработанная математическая
модель позволяет прогнозировать течение онкологического заболевания прямой
кишки по показателю ПЭОЯ и может
быть использована в качестве дополнения к существующим методикам
прогнозирования и направлена на оптимизацию их функционирования, а также
позволяет своевременно определять адекватный комплекс реабилитационных
восстановительных мероприятий после радикальной операции и провести
имунокоррекцию перед химиотерапией.
Литература:
1. Колупаева, Т.В. Новые диагностические подходы
к оценке уровня здоровья человека [Текст] / Т.В. Колупаева // Биоэлектрические
свойства клеточного ядра и состояние организма. – № 2 – 1989. – С 18-21.
2. Колупаева, Т.В. Изменения биоэлектрических
свойств клеточных ядер как показатель возраста и физиологического состояния
организма [Текст] / Т.В. Колупаева, В.Г. Шахбазов // Молекулярные и функцион.
механ. онтогенеза: Всесоюзн. симпоз. - 1987. – С. 93-94.
3. Чайковский, Г.Н. Основные направления
развития информационных технологий в онкологии [Текст] / Г.Н. Чайковский, Р.М.
Кадушников, Ю.Р. Яковлев, С.А. Ефремов, С.В. Сомина // Свердловский областной
медицинский научно-практический центр «Онкология». – 2008. – С.215-217.