Технические науки/1.Металлургия
К.т.н.
Литвинова Т.А., д.т.н. Егоров С.Н., к.т.н. Симилейский Б.М., к.т.н. Мецлер А.А.
Волгодонский инженерно-технический институт «Национальный
исследовательский ядерный университет «МИФИ», Россия
Волгодонский
институт сервиса (филиал) ДГТУ, Россия
Южно-Российский
государственный политехнический университет, Россия
Влияние марок железных порошков на уплотняемость порошковой
стали при электроконтактном уплотнении.
I. Введение
Одной из тенденций развития порошковой металлургии
является совершенствование
технологии изготовления материалов и изделий с заданными функциональными
свойствами. К перспективным технологическим процессам порошковой металлургии
относится электроконтактное уплотнение (ЭКУ), заключающее в уплотнении порошковой
шихты при прямом пропускании электрического тока [1,2]. В [3-6] доказана
возможность получения по этой технологии порошкового материала с остаточной
пористостью 1-6% из железного и бронзового порошков. Расширение номенклатуры получаемых ЭКУ материалов
связано с выявлением закономерностей уплотнения порошковых шихт материалов при
изготовлении функциональных материалов.
II. Постановка задачи
В работе [7] было исследовано влияние порошка железа марки ПЖР
3.200.28 ГОСТ 9849-86 на пористость материала,
изготовленного методом ЭКУ. Настоящая работа заключается в выявлении
закономерности уплотнения при формировании порошковых сталей методом электроконтактного уплотнения (ЭКУ)
из шихт на основе распыленных и восстановленных железных порошков.
III. Результаты
В
качестве исходных материалов использовали порошки железа марки ПЖР 3.200.28, ПЖВ
3.160.26 ГОСТ 9849-86, и графита карандашного марки ГК-1 ГОСТ 4404-78. В таблицах
1 и 2 представлены их характеристики.
Таблица 1 - Характеристики порошков железа
|
Марки порошка |
Железо |
Массовая доля, %, не более |
|||||
|
С |
Si |
Mn |
S |
P |
O |
||
|
ПЖР 3.200.28 |
основа |
0,05 |
0,08 |
0,20 |
0,02 |
0,02 |
0,5 |
|
ПЖВ 3.160.26 |
0,05 |
0,15 |
0,40 |
0,02 |
0,02 |
0,5 |
|
Таблица 2 - Характеристики порошка графита ГК-1
|
Зольность, % |
Содержание влаги, % |
Выход летучих веществ,
% |
Остаток на сите № 0063, % |
|
1,0 |
0,5 |
0,5 |
0,5 |
Порошок марки ПЖР
3.200.28 получен методом
распыления расплава, порошок марки ПЖВ 3.160.26 - методом восстановления
окалины.
Методика проведения и лабораторная установка ЭКУ описаны в [8,9].
Для понимания природы ЭКУ
целесообразно выявить механизмы явлений, которые имеют место при этом процессе,
и кинетику уплотнения в зависимости от технологических параметров, что позволит
определить степень их влияния на процесс формирования порошкового материала и,
в дальнейшем, получить материал с заданными структурой и свойствами. При варьировании длительностью пропускания электрического
тока через порошок при ЭКУ получена
зависимость, характеризуемая монотонным понижением пористости при увеличении продолжительности
электродеформационного воздействия (рис. 1).
П,
% р,
МПа J=36МА/м2
![]()
![]()
![]()
![]()
![]()
![]()

![]()
![]()
![]()
![]()
![]()
![]()
![]()
![]()
![]()
![]()
![]()
![]()
![]()
![]()
![]()
![]()

![]()
![]()

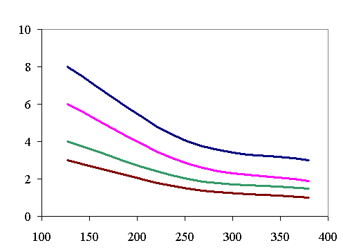
Рис. 1. Зависимость
пористости материала от давления
прессования при различных длительности пропускания электрического тока и
плоскостях тока
![]()
![]()
![]()
( -10с, -20с, - 40с, - 70с), (-:ПЖР 3.200.28, --: ПЖВ 3.160.28)
Анализ
зависимости, свидетельствует о
монотонном понижении пористости с увеличением давления прессования.
Однако при продолжительности пропускания электрического тока 10с выделяется
участок зависимости с повышенной интенсивностью уплотнения, что позволяет
рассматривать этот процесс как состоящий из двух стадий. Начальный период
формирования порошкового материала кривой (10с), характеризующийся относительно
высокой интенсивностью, отличается механизмом уплотнения. Первая стадия (p=127
- 253МПа) представляет собой уплотнение с преобладанием структурной
составляющей деформации пористого тела. Вторая стадия (p=253 - 380МПа) с
относительно низкой интенсивностью уплотнения обусловлена состоянием
межчастичных контактов. Образование локальных каналов протекания тока,
ограничивающих электрическое воздействие на материал, затрудняет его объемный нагрев и дальнейшее уплотнение.
Сравнивая
уплотняемость железографитовой композиции из различных марок железного порошка
ПЖР 3.200.28 и ПЖВ 3.160.26, видно, что при рассматриваемых значениях давления
прессования и длительности пропускания электрического тока наблюдается
интенсификация уплотнения железографитовой композиции на основе распыленного
железного порошка. Это связано с тем обстоятельством, что при уплотнении
железографитовой композиции на основе восстановленного порошка создаются
дискретные межчастичные перешейки, которые разрушаются и вновь образуются при
приложении давления. При использовании распыленного порошка образуются
межчастичные области, которые при приложении давления увеличивают контактную
площадь и способствуют повышению температуры.
IV. Выводы
Проведенные исследования позволили определить влияние марок
железных порошков на уплотняемость порошковой стали. Результаты показали, что
при использовании распыленного порошка уплотняемость шихты выше, чем при
использовании восстановленного железного порошка, это объясняется различной
дискретностью межчастичных контактных зон, обуславливающей различие в локальном
тепловыделении и развитии межчастичного сращивания.
Литература:
1.
Патент
2210460 (РФ) Способ изготовления изделий из шихты на основе металлического
порошка / С.Н. Егоров, Ю.Ю. Медведев, М.С. Егоров, И.Ф. Егорова. 2001.
2.
Литвинова,
Т.А. Формирование порошкового материала методом электроконтактного уплотнения //
Дисс. … канд. техн. наук: -
Новочеркасск. – 2010. – 170 с.
3. Егоров С. Н., Медведев Ю. Ю. Получение высокоплотного
порошкового материала методом электропластического уплотнения.: Сб. науч. тр./
«Современные технологии в материаловедении». – Магнитогорск: МГТУ, 2003. –
99-102 с.
4. Егоров С. Н., Медведев Ю. Ю. Влияние режимов
электропластического уплотнения на пористость порошкового материала.: Материалы
науч.-практ. конф. «Современные технологии в машиностроении - 2003» 26-27 апр.
2003г./ Пензенский гос. ун-т. – Пенза, 2003. – С. 12-14.
5. Егоров С.Н., Мецлер А.А. Исследование
технологических параметров процесса ЭПУ при получении высокоплотных порошковых
изделий [Текст] / С. Н. Егоров, А. А. Мецлер // Изв. вузов. Сев.-Кавк. регион.
Техн. науки. - 2005. - Спец. вып. - С.101-104.
6. Мецлер А.А. Формирование структуры порошковой бронзы
при электропластическом уплотнении [Текст] / А. А. Мецлер // Металлург. - 2007.
- № 5. - С. 66-67.
7. Литвинова Т.А., Егоров С.Н. Влияние технологических
режимов эле-ктроконтакного уплотнения на пористость порошковой стали //Изв.
вузов. Порошковая металлургия и функцион. покрытия. - 2010. - № 1. - С. 28-30.
8. Медведев, Ю.Ю. Формирование порошкового материала при
электропластическом уплотнении // Дисс. … канд. техн. наук: - Новочеркасск. – 2003. – 152 с.
9. Литвинова Т.А., Егоров С.Н. Формирование порошковой
стали в условиях электроконтактного уплотнения // Изв. вузов. Порошковая
металлургия и функцион. покрытия. -2009. - № 2 . - С. 20-22.